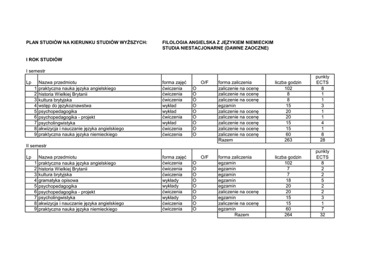
PLAN STUDIÓW NA KIERUNKU STUDIÓW WYŻSZYCH

Transkrypt

PLAN STUDIÓW NA KIERUNKU STUDIÓW WYŻSZYCH
PLAN STUDIÓW NA KIERUNKU STUDIÓW WYŻSZYCH:
FILOLOGIA ANGIELSKA Z JĘZYKIEM NIEMIECKIM
STUDIA NIESTACJONARNE (DAWNE ZAOCZNE)
I ROK STUDIÓW
I semestr
Lp
1
2
3
4
5
6
7
8
9
Nazwa przedmiotu
praktyczna nauka języka angielskiego
historia Wielkiej Brytanii
kultura brytyjska
wstęp do językoznawstwa
psychopedagogika
psychopedagogika - projekt
psycholingwistyka
akwizycja i nauczanie języka angielskiego
praktyczna nauka języka niemieckiego
forma zajęć
ćwiczenia
ćwiczenia
ćwiczenia
wykład
wykład
ćwiczenia
wykład
ćwiczenia
ćwiczenia
O/F
forma zaliczenia
zaliczenie na ocenę
zaliczenie na ocenę
zaliczenie na ocenę
egzamin
zaliczenie na ocenę
zaliczenie na ocenę
zaliczenie na ocenę
zaliczenie na ocenę
zaliczenie na ocenę
Razem
liczba godzin
102
8
8
15
20
20
15
15
60
263
punkty
ECTS
8
1
1
3
1
1
4
1
8
28
O/F
forma zaliczenia
egzamin
egzamin
egzamin
egzamin
egzamin
zaliczenie na ocenę
egzamin
zaliczenie na ocenę
egzamin
Razem
liczba godzin
102
7
7
18
20
20
15
15
60
264
punkty
ECTS
8
2
2
5
2
2
3
1
7
32
O
O
O
O
O
O
O
O
O
II semestr
Lp
1
2
3
4
5
6
7
8
9
Nazwa przedmiotu
praktyczna nauka języka angielskiego
historia Wielkiej Brytanii
kultura brytyjska
gramatyka opisowa
psychopedagogika
psychopedagogika - projekt
psycholingwistyka
akwizycja i nauczanie języka angielskiego
praktyczna nauka języka niemieckiego
forma zajęć
ćwiczenia
ćwiczenia
ćwiczenia
wykłady
wykłady
ćwiczenia
wykłady
ćwiczenia
ćwiczenia
O
O
O
O
O
O
O
O
O
II ROK STUDIÓW
III semestr
Lp
1
2
3
4
5
6
7
8
9
Nazwa przedmiotu
praktyczna nauka języka angielskiego
historia USA
kultura amerykańska
literatura brytyjska
akwizycja i nauczanie języka angielskiego
psycholingwistyka - projekt
praktyczna nauka języka niemieckiego
kultura i literatura niemieckiego obszaru jezykowego
akwizycja i nauczanie języka niemieckiego
forma zajęć
ćwiczenia
ćwiczenia
ćwiczenia
wykład
ćwiczenia
ćwiczenia
ćwiczenia
ćwiczenia
ćwiczenia
O/F
forma zaliczenia
zaliczenie na ocenę
zaliczenie na ocenę
zaliczenie na ocenę
zaliczenie na ocenę
zaliczenie na ocenę
zaliczenie na ocenę
zaliczenie na ocenę
zaliczenie na ocenę
zaliczenie na ocenę
Razem
liczba godzin
102
8
8
8
30
20
60
10
15
261
punkty
ECTS
8
1
1
1
3
3
8
1
1
27
O/F
forma zaliczenia
egzamin
egzamin
egzamin
egzamin
zaliczenie na ocenę
egzamin
egzamin
egzamin
zaliczenie na ocenę
zaliczenie na ocenę
Razem
liczba godzin
102
7
7
8
8
30
20
60
10
15
267
punkty
ECTS
8
2
2
2
1
5
3
7
1
2
33
O
O
O
O
O
O
O
O
O
IV semestr
Lp
1
2
3
4
5
6
7
8
9
10
Nazwa przedmiotu
praktyczna nauka języka angielskiego
historia USA
kultura amerykańska
literatura brytyjska
literatura amerykańska
akwizycja i nauczanie języka angielskiego
psycholingwistyka - projekt
praktyczna nauka języka niemieckiego
kultura i literatura niemieckiego obszaru jezykowego
akwizycja i nauczanie języka niemieckiego
forma zajęć
ćwiczenia
ćwiczenia
ćwiczenia
wykłady
wykłady
ćwiczenia
ćwiczenia
ćwiczenia
ćwiczenia
ćwiczenia
O
O
O
O
O
O
O
O
O
O
III ROK STUDIÓW
V semestr
Lp
1
2
3
4
5
6
7
8
9
10
Nazwa przedmiotu
praktyczna nauka języka angielskiego
Emisja głosu
Technologia informacyjna
literatura amerykańska
Historia i odmiany j. ang.
filozofia
praktyczna nauka języka niemieckiego
akwizycja i nauczanie języka angielskiego i niemieckiego:
sporządzenie i analiza dokumentacji praktyki
pedagogicznej
praktyki pedagogiczne z języka angielskiego
praktyki pedagogiczne z języka niemieckiego
forma zajęć
ćwiczenia
ćwiczenia
ćwiczenia
wykład
wykład
wykład
ćwiczenia
O
O
O
O
O
O
O
ćwiczenia
praktyka
praktyka
O
O
O
O/F
liczba godzin
111
16
16
8
18
8
60
punkty
ECTS
8
2
1
2
5
1
8
30
75
15
357
0
0
0
27
forma zaliczenia
egzamin
zaliczenie na ocenę
zaliczenie na ocenę
egzamin
egzamin
egzamin
liczba godzin
111
14
14
15
10
60
punkty
ECTS
8
2
1
3
2
7
zaliczenie
zaliczenie na ocenę
zaliczenie na ocenę
Razem
30
75
15
344
0
7
3
33
forma zaliczenia
zaliczenie na ocenę
zaliczenie na ocenę
zaliczenie na ocenę
egzamin
egzamin
zaliczenie na ocenę
zaliczenie na ocenę
zaliczenie
zaliczenie
zaliczenie
Razem
VI semestr
Lp
1
2
3
4
5
6
7
8
9
Nazwa przedmiotu
praktyczna nauka języka angielskiego
Emisja głosu
Technologia informacyjna
Gramatyka kontrastywna
filozofia
praktyczna nauka języka niemieckiego
akwizycja i nauczanie języka angielskiego i niemieckiego:
sporządzenie i analiza dokumentacji praktyki
pedagogicznej
praktyki pedagogiczne z języka angielskiego
praktyki pedagogiczne z języka niemieckiego
O - zajęcia obowiązkowe
forma zajęć
ćwiczenia
ćwiczenia
ćwiczenia
wykłady
wykłady
ćwiczenia
O
O
O
O
O
O
ćwiczenia
praktyka
praktyka
O
O
O
O/F
F - zajęcia fakultatywne
wykłady
I
II
III
246
143
44
59
246
ćwiczenia
I
II
III
384
484
462
2501
884
689
682