Co kryje w sobie komputer? - Gimnazjum nr 9

Transkrypt

Co kryje w sobie komputer? - Gimnazjum nr 9
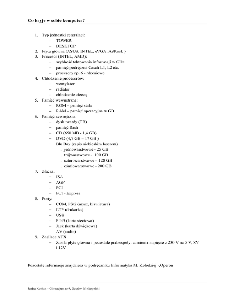
Co kryje w sobie komputer?
1. Typ jednostki centralnej:
TOWER
DESKTOP
2. Płyta główna (ASUS, INTEL, eVGA ,ASRock )
3. Procesor (INTEL, AMD):
szybkość taktowania informacji w GHz
pamięć podręczna Casch L1, L2 etc.
procesory np. 6 - rdzeniowe
4. Chłodzenie procesorów:
wentylator
radiator
chłodzenie cieczą
5. Pamięć wewnętrzna:
ROM – pamięć stała
RAM – pamięć operacyjna w GB
6. Pamięć zewnętrzna
dysk twardy (TB)
pamięć flash
CD (650 MB - 1,4 GB)
DVD (4,7 GB – 17 GB )
Blu Ray (zapis niebieskim laserem)
jednowarstwowe - 25 GB
trójwarstwowe - 100 GB
czterowarstwowe – 128 GB
ośmiowarstwowe - 200 GB
7. Złącza:
ISA
AGP
PCI
PCI - Express
8. Porty:
COM, PS/2 (mysz, klawiatura)
LTP (drukarka)
USB
RJ45 (karta sieciowa)
Jack (karta dźwiękowa)
AV (audio)
9. Zasilacz ATX
Zasila płytę główną i pozostałe podzespoły, zamienia napięcie z 230 V na 5 V, 8V
i 12V
Pozostałe informacje znajdziesz w podręczniku Informatyka M. Kołodziej -,Operon
Janina Kochan – Gimnazjum nr 9, Gorzów Wielkopolski