Pamiętaj, by wszystkie rozwiązania zapisać na karcie odpowiedzi!

Transkrypt

Pamiętaj, by wszystkie rozwiązania zapisać na karcie odpowiedzi!
WOJEWÓDZKI KONKURS PRZEDMIOTOWY Z JĘZYKA NIEMIECKIEGO
dla uczniów gimnazjów w roku szkolnym 2013/2014
organizowany w województwie kujawsko-pomorskim
ETAP SZKOLNY – zadania
Pamiętaj, by wszystkie rozwiązania zapisać na karcie odpowiedzi!
I
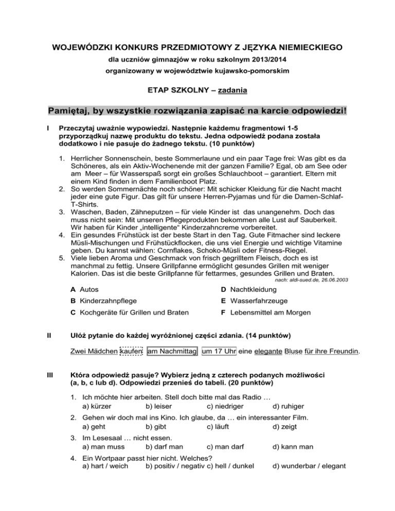
Przeczytaj uważnie wypowiedzi. Następnie każdemu fragmentowi 1-5
przyporządkuj nazwę produktu do tekstu. Jedna odpowiedź podana została
dodatkowo i nie pasuje do żadnego tekstu. (10 punktów)
1. Herrlicher Sonnenschein, beste Sommerlaune und ein paar Tage frei: Was gibt es da
Schöneres, als ein Aktiv-Wochenende mit der ganzen Familie? Egal, ob am See oder
am Meer – für Wasserspaß sorgt ein großes Schlauchboot – garantiert. Eltern mit
einem Kind finden in dem Familienboot Platz.
2. So werden Sommernächte noch schöner: Mit schicker Kleidung für die Nacht macht
jeder eine gute Figur. Das gilt für unsere Herren-Pyjamas und für die Damen-SchlafT-Shirts.
3. Waschen, Baden, Zähneputzen – für viele Kinder ist das unangenehm. Doch das
muss nicht sein: Mit unseren Pflegeprodukten bekommen alle Lust auf Sauberkeit.
Wir haben für Kinder „intelligente“ Kinderzahncreme vorbereitet.
4. Ein gesundes Frühstück ist der beste Start in den Tag. Gute Fitmacher sind leckere
Müsli-Mischungen und Frühstückflocken, die uns viel Energie und wichtige Vitamine
geben. Du kannst wählen: Cornflakes, Schoko-Müsli oder Fitness-Riegel.
5. Viele lieben Aroma und Geschmack von frisch gegrilltem Fleisch, doch es ist
manchmal zu fettig. Unsere Grillpfanne ermöglicht gesundes Grillen mit weniger
Kalorien. Das ist die beste Grillpfanne für fettarmes, gesundes Grillen und Braten.
nach: aldi-sued.de, 26.06.2003
II
A Autos
D Nachtkleidung
B Kinderzahnpflege
E Wasserfahrzeuge
C Kochgeräte für Grillen und Braten
F Lebensmittel am Morgen
Ułóż pytanie do każdej wyróżnionej części zdania. (14 punktów)
Zwei Mädchen kaufen am Nachmittag um 17 Uhr eine elegante Bluse für ihre Freundin.
III
Która odpowiedź pasuje? Wybierz jedną z czterech podanych możliwości
(a, b, c lub d). Odpowiedzi przenieś do tabeli. (20 punktów)
1. Ich möchte hier arbeiten. Stell doch bitte mal das Radio …
a) kürzer
b) leiser
c) niedriger
d) ruhiger
2. Gehen wir doch mal ins Kino. Ich glaube, da … ein interessanter Film.
a) geht
b) gibt
c) läuft
d) zeigt
3. Im Lesesaal … nicht essen.
a) man muss
b) darf man
c) man darf
4. Ein Wortpaar passt hier nicht. Welches?
a) hart / weich
b) positiv / negativ c) hell / dunkel
d) kann man
d) wunderbar / elegant
5. … du gern fern?
a) Siehst
b) Sehest
c) Sieh
d) Sieht
6. Es ist schade, dass …
a) er uns nicht besucht.
c) besucht er uns nicht.
b) uns er nicht besucht.
d) hat er uns nicht besucht.
7. Es tut weh.
a) es heilt
c) es weht
b) es schmerzt
d) es macht
8. Er ist heute schon um 6 Uhr gegangen, … er hat sich mit einer neuen Freundin
verabredet.
a) denn
b) deshalb
c) weil
d) aber
9. Wann fangen dieses Jahr die Winterferien an?
a) am dreißig
b) am dreißigsten c) im dreißigsten
d) der dreißigste
10. Darf ich mir noch ein Stück Torte …? Sie schmeckt super.
a) tun
b) geben
c) bekommen
d) nehmen
11. Ich soll sie anrufen, …
a) aber ihre Telefonnummer ich weiß nicht.
b) aber ich ihre Telefonnummer nicht weiß.
c) aber ich weiß ihre Telefonnummer nicht.
d) aber ich nicht weiß ihre Telefonnummer.
12. Passt mir der Mantel? Nein, er ist zu …
a) enger
b) ein enger
c) eng
d) enge
13. Wie … es Ihnen?
a) trinkt
b) ist
c) kommt
d) geht
14. Was ... das?
a) isst
c) kostet
d) hat
c) einer
d) eine
b) tut
15. Ist das … Tee oder Kaffee?
a) eins
b) -
IV
16. „Zum Nachtisch gibt es heute …!” - „Sehr gut!”
a) Würstchen
b) Brötchen
c) Schinken
d) Kuchen
17. „Wie … fahren wir?” - „Ungefähr zwei Stunden.”
a) früh
b) spät
c) lange
d) oft
18. „Haben Sie die … schon lange?”
a) Husten
b) Hals
d) Ohren
c) Schmerzen
19. „… bist du in Urlaub gefahren?” - „Nach Italien.”
a) Wozu
b) Wann
c) Wohin
d) Warum
20. Suchen Sie ... Bleistift?
a) ein
b) einen
d) eines
c) eine
Przyporządkuj każdemu pytaniu (1-3) prawidłową odpowiedź (A-D).
Jedna odpowiedź podana została dodatkowo i nie pasuje do żadnego pytania.
(3 punkty)
1. Wie weit muss ich fahren?
A Die ist zu weit
2. Wie findest du die Hose?
B Ja, sehr.
3. Gefällt dir die Ausstellung?
C Vier Stationen
D In der Galerie
V
Odgadnij, o jakie czasowniki chodzi, i wpisz je do krzyżówki. (14 punktów)
Krzyżówka znajduje sie na karcie odpowiedzi.
Waagerecht :
3. ein Pferd …
5. Basketball, Volleyball, Instrumente …
7. CDs …
8. Dialoge, Sätze … 9. Grammatik, Geschichte ....
11. Bilder mit dem Bleistift …
12. Experimente … 13. im Park …
Senkrecht :
1. Bilder mit dem Pinsel …
5. Deutsch, Englisch …
VI
2. einen Test, einen Brief …
4. in der Disco …
6. Lieder …
10. in Mathematik …
Na podstawie informacji opisz Michaela. Jest 12 informacji. (12 punktów)
15 Jahre alt
kariert
klein
bequem
schwarz
blau
VII
Uzupełnij czasowniki lesen/ essen/ halten/ treffen/ waschen w odpowiedniej
formie! (5 punktów)
a)
b)
c)
d)
Das Auto ist schmutzig. Mein Sohn … es.
Lisa … gern Pizza.
Der Bus … im Stadtzentrum.
Warum gehst du schon wieder zu Katrin? Ihr … euch doch jeden Tag
in der Schule.
e) Er … sehr gerne Computerzeitschriften.
VIII
Uzupelnij luki. (10 punktów)
1.
2.
3.
4.
5.
An welchem Fluss liegt die Hauptstadt:
a) Deutschlands …
b) Österreichs …
c) der Schweiz … .
Deutschland hat … Nachbarstaaten.
In Deutschland gibt es … Bundesländer, in Österreich … und in der Schweiz gibt
es … Kantone.
Das größte deutsche Bundesland heißt ..., das kleinste dagegen … .
Die größte deutsche Insel heißt … .
IX
Do każdego obrazka napisz po jednym zdaniu w czasie przeszłym Perfekt.
Napisz je również w czasie Präteritum. (12 punktów)
15.00 Uhr
17.00 Uhr
15.45 Uhr
18.30 Uhr
16.10 Uhr
20.00 Uhr
www.schubert-verlag.de
MAKSYMALNA LICZBA PUNKTÓW DO ZDOBYCIA - 100
Pamiętaj, by wszystkie rozwiązania zapisać na karcie odpowiedzi!
WOJEWÓDZKI KONKURS PRZEDMIOTOWY Z JĘZYKA NIEMIECKIEGO
dla uczniów gimnazjów w roku szkolnym 2013/2014
organizowany w województwie kujawsko-pomorskim
ETAP SZKOLNY – karta odpowiedzi
kod ucznia: ...................................
I
Przeczytaj uważnie wypowiedzi. Następnie każdemu fragmentowi 1-5
przyporządkuj nazwę produktu do tekstu. Jedna odpowiedź podana została
dodatkowo i nie pasuje do żadnego tekstu. (10 punktów)
1. .........
II
uzyskana liczba punktów: ................. /100
2. .........
3. .........
4. ........
Ułóż pytanie do każdej wyróżnionej części zdania. (14 punktów)
Zwei Mädchen kaufen am Nachmittag um 17 Uhr eine elegante Bluse für ihre Freundin.
III
IV
1.
…………………………………………………………………………………………...
2.
…………………………………………………………………………………………..
3.
……………………………………………………..……………………………………
4.
………………………………………………………………………………..…………
5.
…………………………………………………………………………………..………
6.
…………………………………………………………………………………………..
7.
…………………………………………………………………………………..………
Która odpowiedź pasuje? Wybierz jedną z czterech podanych możliwości
(a, b, c lub d). Odpowiedzi przenieś do tabeli. (20 punktów)
1
6
11
16
2
7
12
17
3
8
13
18
4
9
14
19
5
10
15
20
Przyporządkuj każdemu pytaniu (1-3) prawidłową odpowiedź (A-D).
Jedna odpowiedź podana została dodatkowo i nie pasuje do żadnego pytania.
1. .........
2. .........
3. .........
V
Odgadnij, o jakie czasowniki chodzi, i wpisz je do krzyżówki. (14 punktów)
1
2
3
4
5
6
7
8
9
10
11
12
13
VI
Na podstawie informacji opisz Michaela. Jest 12 informacji. (12 punktów)
……………………………………………………………………………………………………
..………………………………………………………………………………………………….
……………………………………………………………………………………………………
……………………………………………………………………………………………………
……………………………………………………………………………………………………
……………………………………………………………………………………………………
……………………………………………………………………………………………………
……………………………………………………………………………………………………
........................................................................................................................................
........................................................................................................................................
........................................................................................................................................
VII
VIII
Uzupełnij czasowniki lesen/ essen/ halten/ treffen/ waschen w odpowiedniej
formie! (5 punktów)
a)
...............................................
d) ...............................................
b)
...............................................
e) ...............................................
c)
...............................................
Uzupelnij luki. (10 punktów)
1.
IX
a)
………………………………………..
b)
………………………………………..
c)
........................................................
2.
…………………………………………
3.
…………………,
4.
…………………………………………,
5.
…………………………………………
…………………,
…………………,
………………………………………..
Do każdego obrazka napisz po jednym zdaniu w czasie przeszłym Perfekt.
Napisz je również w czasie Präteritum. (12 punktów)
……………………………………………………………………………………………………
..………………………………………………………………………………………………….
……………………………………………………………………………………………………
……………………………………………………………………………………………………
……………………………………………………………………………………………………
……………………………………………………………………………………………………
……………………………………………………………………………………………………
……………………………………………………………………………………………………
........................................................................................................................................
........................................................................................................................................
........................................................................................................................................
........................................................................................................................................
........................................................................................................................................