Ceny promocyjne w terminie 29.04.2016

Transkrypt

Ceny promocyjne w terminie 29.04.2016
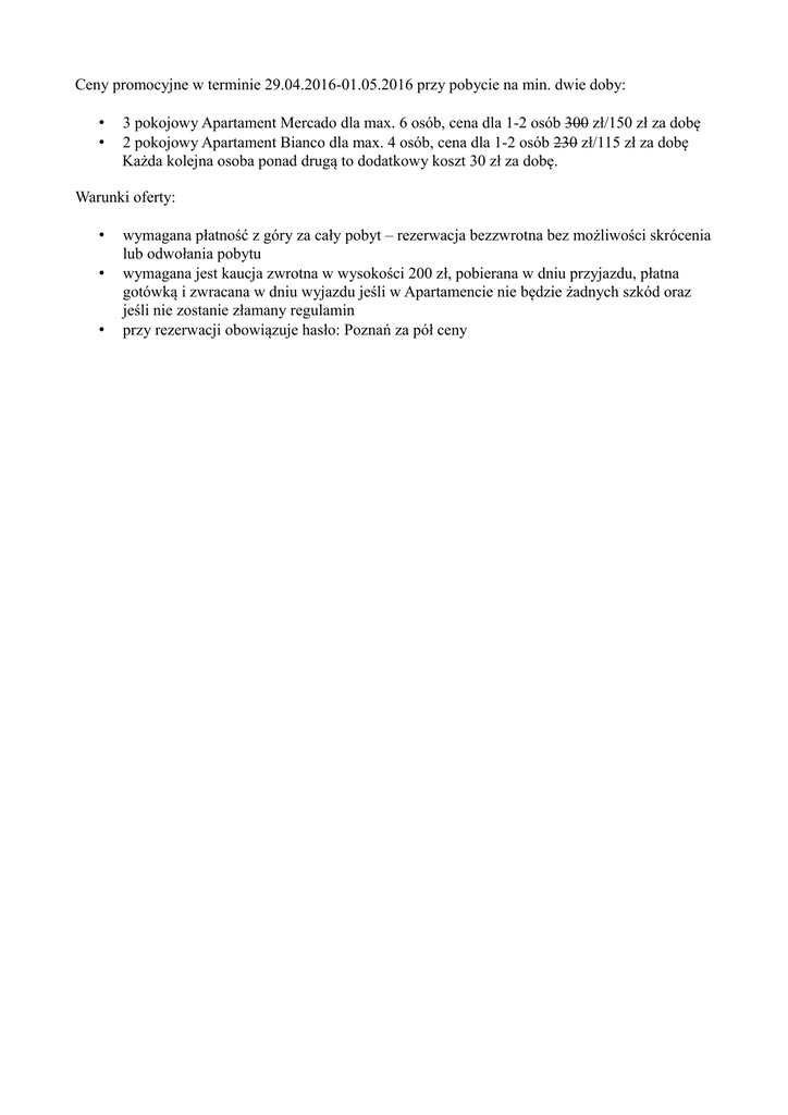
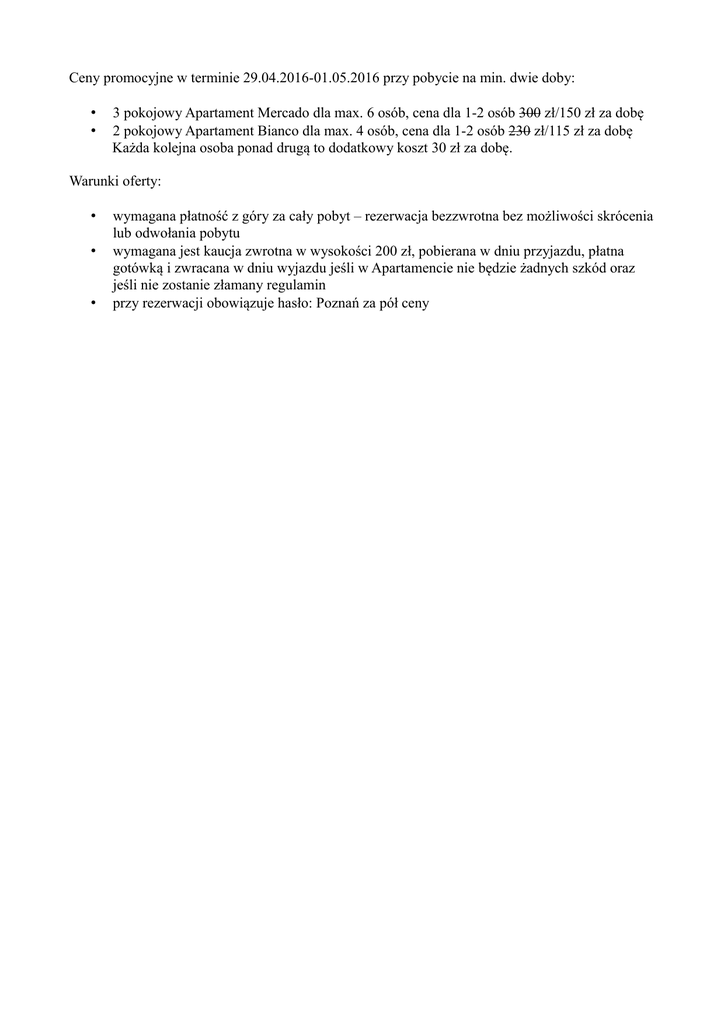
Ceny promocyjne w terminie 29.04.2016-01.05.2016 przy pobycie na min. dwie doby:
•
•
3 pokojowy Apartament Mercado dla max. 6 osób, cena dla 1-2 osób 300 zł/150 zł za dobę
2 pokojowy Apartament Bianco dla max. 4 osób, cena dla 1-2 osób 230 zł/115 zł za dobę
Każda kolejna osoba ponad drugą to dodatkowy koszt 30 zł za dobę.
Warunki oferty:
•
•
•
wymagana płatność z góry za cały pobyt – rezerwacja bezzwrotna bez możliwości skrócenia
lub odwołania pobytu
wymagana jest kaucja zwrotna w wysokości 200 zł, pobierana w dniu przyjazdu, płatna
gotówką i zwracana w dniu wyjazdu jeśli w Apartamencie nie będzie żadnych szkód oraz
jeśli nie zostanie złamany regulamin
przy rezerwacji obowiązuje hasło: Poznań za pół ceny