FZO.78.303.2016 osuszacz powietrza

Transkrypt

FZO.78.303.2016 osuszacz powietrza
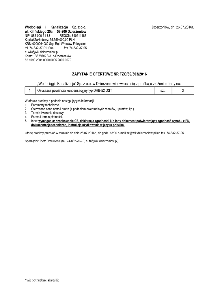
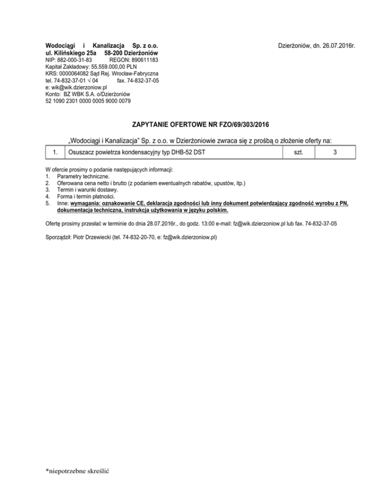
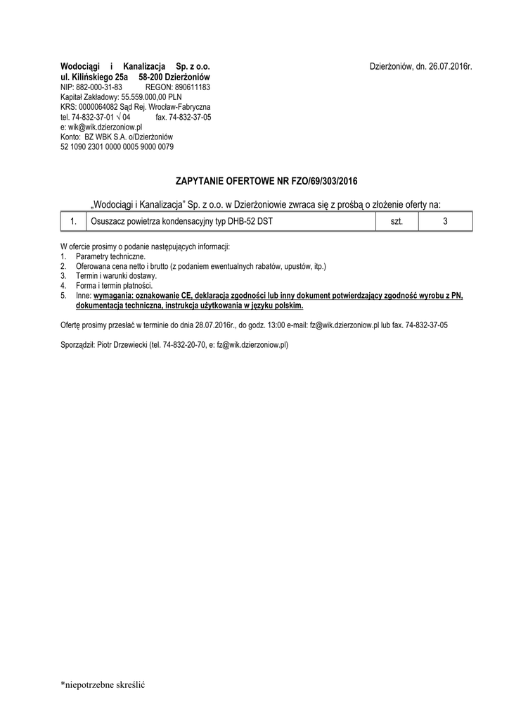
Wodociągi i Kanalizacja Sp. z o.o.
ul. Kilińskiego 25a 58-200 Dzierżoniów
Dzierżoniów, dn. 26.07.2016r.
NIP: 882-000-31-83
REGON: 890611183
Kapitał Zakładowy: 55.559.000,00 PLN
KRS: 0000064082 Sąd Rej. Wrocław-Fabryczna
tel. 74-832-37-01 ÷ 04
fax. 74-832-37-05
e: [email protected]
Konto: BZ WBK S.A. o/Dzierżoniów
52 1090 2301 0000 0005 9000 0079
ZAPYTANIE OFERTOWE NR FZO/69/303/2016
„Wodociągi i Kanalizacja” Sp. z o.o. w Dzierżoniowie zwraca się z prośbą o złożenie oferty na:
1.
Osuszacz powietrza kondensacyjny typ DHB-52 DST
szt.
3
W ofercie prosimy o podanie następujących informacji:
1. Parametry techniczne.
2. Oferowana cena netto i brutto (z podaniem ewentualnych rabatów, upustów, itp.)
3. Termin i warunki dostawy.
4. Forma i termin płatności.
5. Inne: wymagania: oznakowanie CE, deklaracja zgodności lub inny dokument potwierdzający zgodność wyrobu z PN,
dokumentacja techniczna, instrukcja użytkowania w języku polskim.
Ofertę prosimy przesłać w terminie do dnia 28.07.2016r., do godz. 13:00 e-mail: [email protected] lub fax. 74-832-37-05
Sporządził: Piotr Drzewiecki (tel. 74-832-20-70, e: [email protected])
*niepotrzebne skreślić