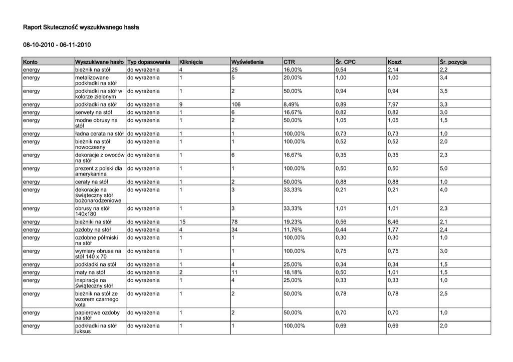
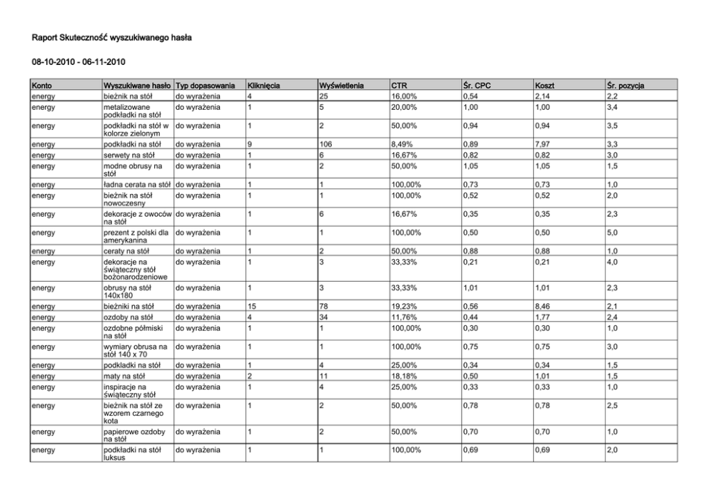
Raport Skuteczność wyszukiwanego hasła 08-10

Transkrypt

Raport Skuteczność wyszukiwanego hasła 08-10
Raport Skuteczność wyszukiwanego hasła
08-10-2010 - 06-11-2010
Konto
energy
energy
energy
energy
energy
energy
energy
energy
energy
energy
energy
energy
energy
energy
energy
energy
energy
energy
energy
energy
energy
energy
energy
Wyszukiwane hasło
bieżnik na stół
metalizowane
podkładki na stół
podkładki na stół w
kolorze zielonym
podkładki na stół
serwety na stół
modne obrusy na
stół
ładna cerata na stół
bieżnik na stół
nowoczesny
dekoracje z owoców
na stół
prezent z polski dla
amerykanina
ceraty na stół
dekoracje na
świąteczny stół
bożonarodzeniowe
obrusy na stół
140x180
bieżniki na stół
ozdoby na stół
ozdobne półmiski
na stół
wymiary obrusa na
stół 140 x 70
podkladki na stół
maty na stół
inspiracje na
świąteczny stół
bieżnik na stół ze
wzorem czarnego
kota
papierowe ozdoby
na stół
podkładki na stół
luksus
Typ dopasowania
do wyrażenia
do wyrażenia
Kliknięcia
4
1
Wyświetlenia
25
5
CTR
16,00%
20,00%
Śr. CPC
0,54
1,00
Koszt
2,14
1,00
Śr. pozycja
2,2
3,4
do wyrażenia
1
2
50,00%
0,94
0,94
3,5
do wyrażenia
do wyrażenia
do wyrażenia
9
1
1
106
6
2
8,49%
16,67%
50,00%
0,89
0,82
1,05
7,97
0,82
1,05
3,3
3,0
1,5
do wyrażenia
do wyrażenia
1
1
1
1
100,00%
100,00%
0,73
0,52
0,73
0,52
1,0
2,0
do wyrażenia
1
6
16,67%
0,35
0,35
2,3
do wyrażenia
1
1
100,00%
0,50
0,50
5,0
do wyrażenia
do wyrażenia
1
1
2
3
50,00%
33,33%
0,88
0,21
0,88
0,21
1,0
4,0
do wyrażenia
1
3
33,33%
1,01
1,01
2,3
do wyrażenia
do wyrażenia
do wyrażenia
15
4
1
78
34
1
19,23%
11,76%
100,00%
0,56
0,44
0,30
8,46
1,77
0,30
2,1
2,4
1,0
do wyrażenia
1
1
100,00%
0,75
0,75
3,0
do wyrażenia
do wyrażenia
do wyrażenia
1
2
1
4
11
4
25,00%
18,18%
25,00%
0,34
0,50
0,33
0,34
1,01
0,33
1,5
1,5
1,0
do wyrażenia
1
2
50,00%
0,78
0,78
2,5
do wyrażenia
1
2
50,00%
0,70
0,70
1,0
do wyrażenia
1
1
100,00%
0,69
0,69
2,0
Konto
energy
energy
energy
energy
energy
energy
energy
energy
energy
energy
energy
energy
energy
energy
energy
energy
energy
energy
energy
energy
energy
energy
energy
energy
energy
energy
Łącznie
Wyszukiwane hasło
menu na stół
weselny
lniany obrus
haftowany
tani lniany obrus
obrus na stół
wigilijny
okrągła podkładka
na stół
wzory serwetek na
stół
obrus lniany z
mereżką
nakładki na stół
nowoczesne ozdoby
na stół
dekoracje na stół
pomysły na stół
wigilijny
okrycia na stół
leroy maty na stół
podkładka z filcu na
stół
nakrycie na stół
szyba na stół
obrusy na stół
filc algo korek na
stół
pamiątki z polski
prezent z polski
lniany obrus
na stół
polski design
prezent ślubny
obrus len
obrus lniany
Typ dopasowania
do wyrażenia
Kliknięcia
1
Wyświetlenia
3
CTR
33,33%
Śr. CPC
0,85
Koszt
0,85
Śr. pozycja
2,0
do wyrażenia
2
3
66,67%
0,45
0,90
1,0
do wyrażenia
do wyrażenia
1
1
6
1
16,67%
100,00%
0,41
0,95
0,41
0,95
1,0
1,0
do wyrażenia
1
6
16,67%
0,91
0,91
2,8
do wyrażenia
1
1
100,00%
1,02
1,02
1,0
do wyrażenia
1
1
100,00%
0,41
0,41
2,0
do wyrażenia
do wyrażenia
1
1
9
4
11,11%
25,00%
0,25
0,57
0,25
0,57
1,0
1,8
do wyrażenia
do wyrażenia
1
1
49
5
2,04%
20,00%
0,77
0,95
0,77
0,95
2,2
1,2
do wyrażenia
do wyrażenia
do wyrażenia
1
1
1
1
1
3
100,00%
100,00%
33,33%
0,42
0,76
1,03
0,42
0,76
1,03
1,0
3,0
3,3
do wyrażenia
do wyrażenia
do wyrażenia
do wyrażenia
1
1
25
1
2
3
191
1
50,00%
33,33%
13,09%
100,00%
0,77
0,29
0,83
0,61
0,77
0,29
20,73
0,61
1,0
1,0
2,1
4,0
ścisłe
ścisłe
ścisłe
ścisłe
ścisłe
ścisłe
ścisłe
ścisłe
2
1
1
1
3
3
1
9
116
18
6
3
1
45
22
2
49
737
11,11%
16,67%
33,33%
100,00%
6,67%
13,64%
50,00%
18,37%
15,74%
0,36
0,53
0,39
0,65
0,41
1,71
0,34
0,46
0,68
0,72
0,53
0,39
0,65
1,22
5,12
0,34
4,14
78,96
2,1
3,5
1,7
1,0
1,0
2,9
3,0
2,3
2,3
-2-