laboratorium informatyki - Informacje dla uzytkowników serwera

Transkrypt

laboratorium informatyki - Informacje dla uzytkowników serwera
SKA
EL
E
HN
B
POLIT
C
IKA
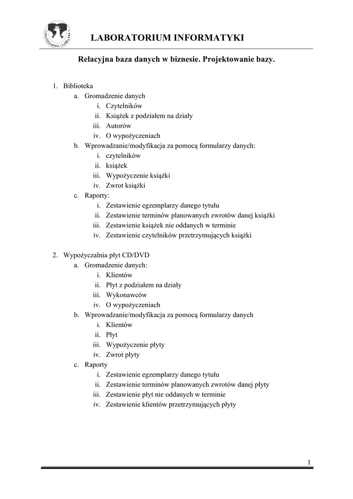
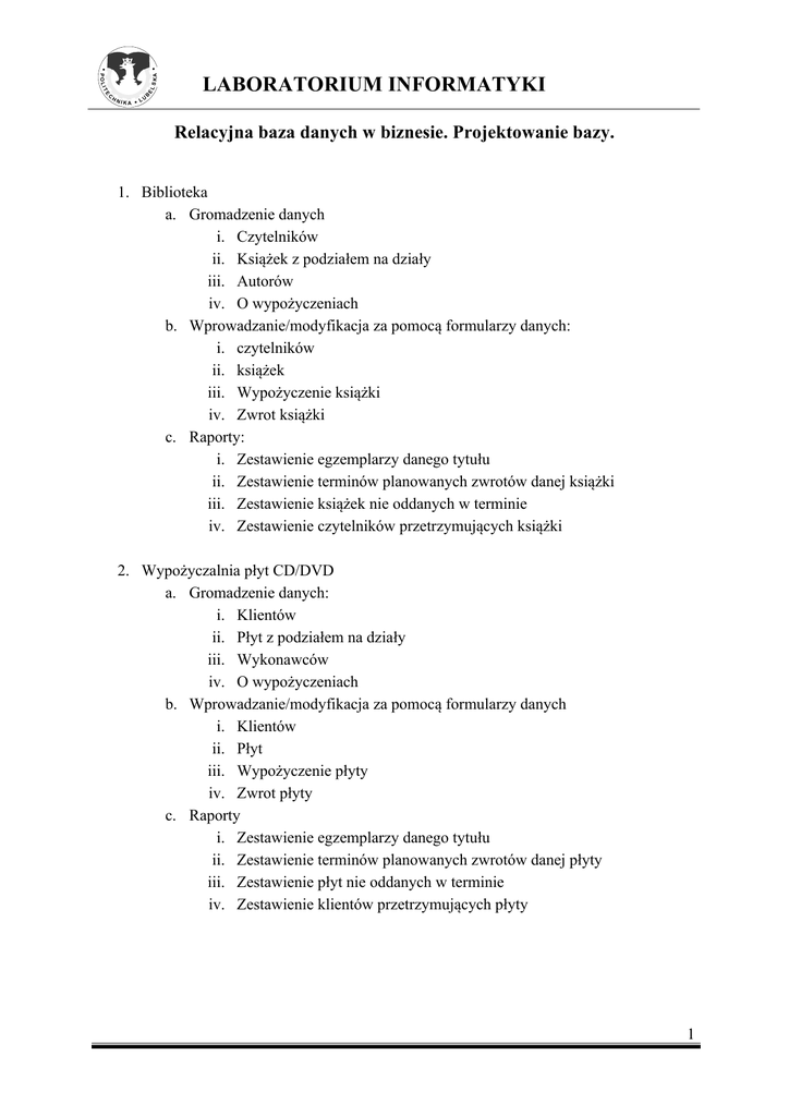
LABORATORIUM INFORMATYKI
LU
Relacyjna baza danych w biznesie. Projektowanie bazy.
1. Biblioteka
a. Gromadzenie danych
i. Czytelników
ii. Książek z podziałem na działy
iii. Autorów
iv. O wypożyczeniach
b. Wprowadzanie/modyfikacja za pomocą formularzy danych:
i. czytelników
ii. książek
iii. Wypożyczenie książki
iv. Zwrot książki
c. Raporty:
i. Zestawienie egzemplarzy danego tytułu
ii. Zestawienie terminów planowanych zwrotów danej książki
iii. Zestawienie książek nie oddanych w terminie
iv. Zestawienie czytelników przetrzymujących książki
2. Wypożyczalnia płyt CD/DVD
a. Gromadzenie danych:
i. Klientów
ii. Płyt z podziałem na działy
iii. Wykonawców
iv. O wypożyczeniach
b. Wprowadzanie/modyfikacja za pomocą formularzy danych
i. Klientów
ii. Płyt
iii. Wypożyczenie płyty
iv. Zwrot płyty
c. Raporty
i. Zestawienie egzemplarzy danego tytułu
ii. Zestawienie terminów planowanych zwrotów danej płyty
iii. Zestawienie płyt nie oddanych w terminie
iv. Zestawienie klientów przetrzymujących płyty
1
SKA
EL
E
HN
B
POLIT
C
IKA
LABORATORIUM INFORMATYKI
LU
3. Wypożyczalnia pojazdów
a. Gromadzenie danych:
i. Klientów
ii. Pojazdów z podziałem na rodzaje
iii. Wypożyczeniach
b. Wprowadzanie/modyfikacja za pomocą formularzy danych
i. klientów
ii. pojazdów
iii. Wypożyczenie pojazdu
iv. Zwrot pojazdu
c. Raporty
i. Zestawienie egzemplarzy danego rodzaju
ii. Zestawienie terminów planowanych zwrotów danego pojazdu
iii. Zestawienie pojazdów nie oddanych w terminie
iv. Zestawienie klientów przetrzymujących pojazdy
4. Wypożyczalnia elektronarzędzi
a. Gromadzenie danych
i. Klientów
ii. Narzędzi z podziałem na rodzaje
iii. Wypożyczeniach
b. Wprowadzanie/modyfikacja za pomocą formularzy danych
i. klientów
ii. narzędzi
iii. Wypożyczenie narzędzia
iv. Zwrot narzędzia
c. Raporty
i. Zestawienie egzemplarzy danego rodzaju
ii. Zestawienie terminów planowanych zwrotów danego narzędzia
iii. Zestawienie narzędzi nie oddanych w terminie
iv. Zestawienie klientów przetrzymujących narzędzia
2
SKA
EL
E
HN
B
POLIT
C
IKA
LABORATORIUM INFORMATYKI
LU
5. Wypożyczalnia sprzętu narciarskiego
a. Gromadzenie danych
i. Klientów
ii. Sprzętu z podziałem na rodzaje/kategorie/grupy
iii. Wypożyczeniach
b. Wprowadzanie/modyfikacja za pomocą formularzy danych
i. klientów
ii. narzędzi
iii. Wypożyczenie sprzętu
iv. Zwrot sprzętu
c. Raporty
i. Zestawienie egzemplarzy sprzętu danego rodzaju
ii. Zestawienie terminów planowanych zwrotów danego sprzętu
iii. Zestawienie sprzętu nie oddanego w terminie
iv. Zestawienie klientów przetrzymujących sprzęt
6. Wypożyczalnia rowerów
a. Gromadzenie danych
i. Klientów
ii. Rowerów z podziałem na rodzaje/kategorie/grupy
iii. Wypożyczeniach
b. Wprowadzanie/modyfikacja za pomocą formularzy danych
i. klientów
ii. rowerów
iii. Wypożyczenie roweru
iv. Zwrot roweru
c. Raporty
i. Zestawienie egzemplarzy danego rodzaju
ii. Zestawienie terminów planowanych zwrotów danego roweru
iii. Zestawienie rowerów nie oddanych w terminie
iv. Zestawienie klientów przetrzymujących rowery
3
SKA
EL
E
HN
B
POLIT
C
IKA
LABORATORIUM INFORMATYKI
LU
7. Sklep sportowy
a. Gromadzenie danych
i. Klientów
ii. Towarów z podziałem na rodzaje/kategorie/grupy
iii. Transakcjach sprzedaży
b. Wprowadzanie/modyfikacja za pomocą formularzy danych
i. klientów
ii. towarów
iii. Sprzedaż towaru
c. Raporty
i. Zestawienie stanów magazynowych
ii. Zestawienie transakcji za dany okres
iii. Zestawienie towarów najlepiej sprzedających się
iv. Zestawienie najlepszych klientów
8. Sklep ze sprzętem muzycznym i instrumentami
a. Gromadzenie danych
i. Klientów
ii. Towarów z podziałem na rodzaje/kategorie/grupy
iii. Transakcjach sprzedaży
b. Wprowadzanie/modyfikacja za pomocą formularzy danych
i. klientów
ii. towarów
iii. Sprzedaż towaru
c. Raporty
i. Zestawienie stanów magazynowych
ii. Zestawienie transakcji za dany okres
iii. Zestawienie towarów najlepiej sprzedających się
iv. Zestawienie najlepszych klientów
4
SKA
EL
E
HN
B
POLIT
C
IKA
LABORATORIUM INFORMATYKI
LU
9. Sklep komputerowy
a. Gromadzenie danych
i. Klientów
ii. Towarów z podziałem na rodzaje/kategorie/grupy
iii. Transakcjach sprzedaży
b. Wprowadzanie/modyfikacja za pomocą formularzy danych
i. klientów
ii. towarów
iii. Sprzedaż towaru
c. Raporty
i. Zestawienie stanów magazynowych
ii. Zestawienie transakcji za dany okres
iii. Zestawienie towarów najlepiej sprzedających się
iv. Zestawienie najlepszych klientów
10. Sklep z kosmetykami
a. Gromadzenie danych
i. Klientów
ii. Towarów z podziałem na rodzaje/kategorie/grupy
iii. Transakcjach sprzedaży
b. Wprowadzanie/modyfikacja za pomocą formularzy danych
i. klientów
ii. towarów
iii. Sprzedaż towaru
c. Raporty
i. Zestawienie stanów magazynowych
ii. Zestawienie transakcji za dany okres
iii. Zestawienie towarów najlepiej sprzedających się
iv. Zestawienie najlepszych klientów
5
SKA
EL
E
HN
B
POLIT
C
IKA
LABORATORIUM INFORMATYKI
LU
11. Sklep z odzieżą
a. Gromadzenie danych
i. Klientów
ii. Towarów z podziałem na rodzaje/kategorie/grupy
iii. Transakcjach sprzedaży
b. Wprowadzanie/modyfikacja za pomocą formularzy danych
i. klientów
ii. towarów
iii. Sprzedaż towaru
c. Raporty
i. Zestawienie stanów magazynowych
ii. Zestawienie transakcji za dany okres
iii. Zestawienie towarów najlepiej sprzedających się
iv. Zestawienie najlepszych klientów
12. Księgarnia
a. Gromadzenie danych
i. Klientów
ii. Towarów z podziałem na rodzaje/kategorie/grupy
iii. Transakcjach sprzedaży
b. Wprowadzanie/modyfikacja za pomocą formularzy danych
i. klientów
ii. towarów
iii. Sprzedaż towaru
c. Raporty
i. Zestawienie stanów magazynowych
ii. Zestawienie transakcji za dany okres
iii. Zestawienie towarów najlepiej sprzedających się
iv. Zestawienie najlepszych klientów
6
SKA
EL
E
HN
B
POLIT
C
IKA
LABORATORIUM INFORMATYKI
LU
13. Pensjonat – recepcja
a. Gromadzenie danych
i. Klientów
ii. Pokoi podziałem na rodzaje
iii. Rezerwacji oraz zajętości
b. Wprowadzanie/modyfikacja za pomocą formularzy danych
i. klientów
ii. Pokoi
iii. Rezerwacja pokoju
iv. Zajęcie/zwolnienie pokoju
c. Raporty
i. Zestawienie stanu pokoi (wolne/zajęte/zarezerwowane)
ii. Zestawienie stopnia wykorzystania pokoi
iii. Zestawienie wolnych pokoi w zadanym terminie
14. Kino – rezerwacje
a. Gromadzenie danych
i. Klientów
ii. Miejsc na poszczególne seansy
iii. Rezerwacji oraz wykorzystania miejsc
b. Wprowadzanie/modyfikacja za pomocą formularzy danych
i. klientów
ii. Miejsc
iii. Rezerwacja miejsca na seans
c. Raporty
i. Zestawienie stanu miejsc na dany seans
ii. Zestawienie stopnia wykorzystania miejsc
iii. Zestawienie wolnych miejsc
7
SKA
EL
E
HN
B
POLIT
C
IKA
LABORATORIUM INFORMATYKI
LU
15. Specjalistyczna przychodnia lekarska – rezerwacje
a. Gromadzenie danych
i. Pacjentów
ii. Terminarza lekarzy poszczególnych specjalności
iii. Rezerwacji oraz wykorzystania terminów wizyt
b. Wprowadzanie/modyfikacja za pomocą formularzy danych
i. klientów
ii. Terminów wizyt/rezerwacji
iii. Rezerwacja terminu wizyty
c. Raporty
i. Zestawienie wizyt za okres
ii. Zestawienie stopnia wykorzystania czasu lekarzy
iii. Zestawienie wolnych terminów do określonego lekarza
16. Centrum sportowe – rezerwacje
a. Gromadzenie danych
i. Klientów
ii. Terminów na poszczególne miejsca
iii. Rezerwacji oraz wykorzystania terminów i miejsc
b. Wprowadzanie/modyfikacja za pomocą formularzy danych
i. klientów
ii. Miejsc i termonów
iii. Rezerwacja terminów i miejsc
c. Raporty
i. Zestawienie stanu miejsc na dany termin
ii. Zestawienie stopnia wykorzystania miejsc
iii. Zestawienie wolnych miejsc
8
SKA
EL
E
HN
B
POLIT
C
IKA
LABORATORIUM INFORMATYKI
LU
17. Firma transportowa - rezerwacje
9