Pompy wyporowe

Transkrypt

Pompy wyporowe
2013-09-30
Pompy wyporowe
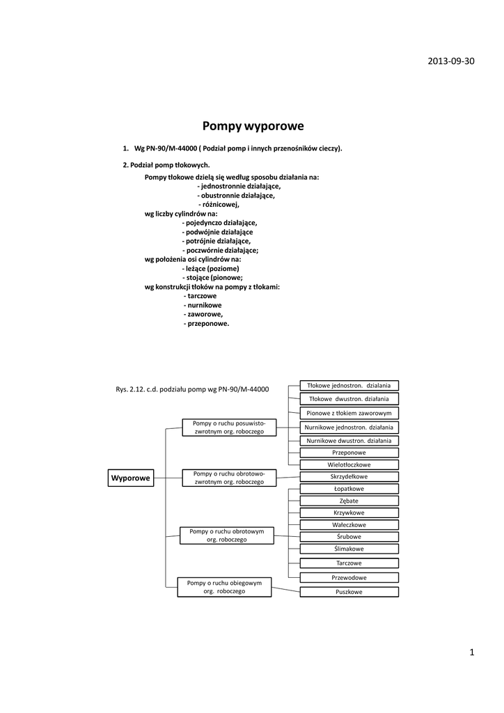
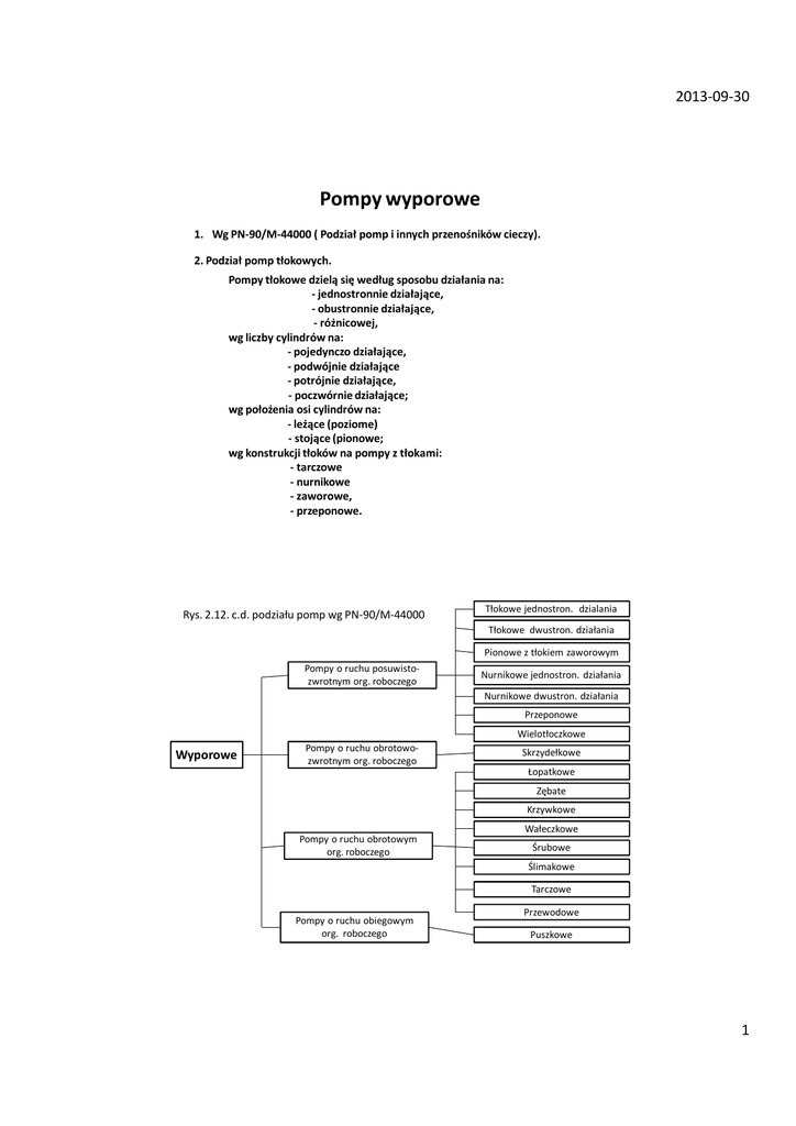
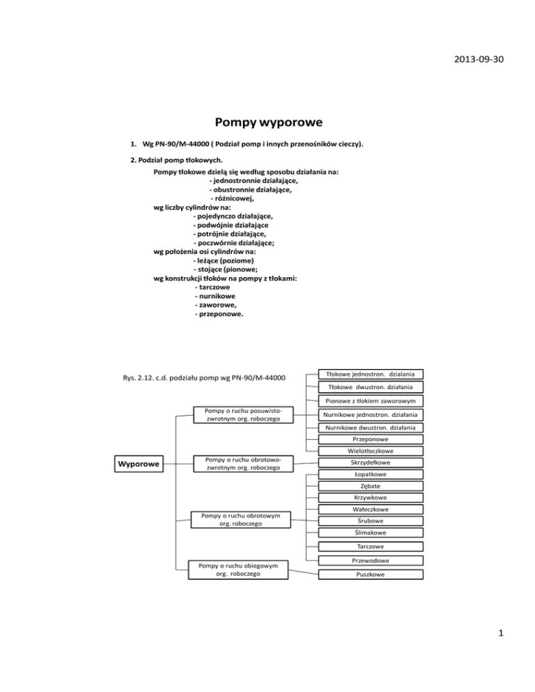
1. Wg PN-90/M-44000 ( Podział pomp i innych przenośników cieczy).
2. Podział pomp tłokowych.
Pompy tłokowe dzielą się według sposobu działania na:
- jednostronnie działające,
- obustronnie działające,
- różnicowej,
wg liczby cylindrów na:
- pojedynczo działające,
- podwójnie działające
- potrójnie działające,
- poczwórnie działające;
wg położenia osi cylindrów na:
- leżące (poziome)
- stojące (pionowe;
wg konstrukcji tłoków na pompy z tłokami:
- tarczowe
- nurnikowe
- zaworowe,
- przeponowe.
Rys. 2.12. c.d. podziału pomp wg PN-90/M-44000
Tłokowe jednostron. dzialania
Tłokowe dwustron. działania
Pionowe z tłokiem zaworowym
Pompy o ruchu posuwistozwrotnym org. roboczego
Nurnikowe jednostron. działania
Nurnikowe dwustron. działania
Przeponowe
Wielotłoczkowe
Wyporowe
Pompy o ruchu obrotowozwrotnym org. roboczego
Skrzydełkowe
Łopatkowe
Zębate
Krzywkowe
Pompy o ruchu obrotowym
org. roboczego
Wałeczkowe
Śrubowe
Ślimakowe
Tarczowe
Pompy o ruchu obiegowym
org. roboczego
Przewodowe
Puszkowe
1
2013-09-30
Pompa wyporowa - pompa, której działanie polega na przetłaczaniu dawki cieczy z
przestrzeni ssawnej do tłocznej przez ruch organu roboczego (tłoka, nurnika, przepony).
W pompie wyporowej praca organu roboczego zamieniana jest bezpośrednio na
energię ciśnienia.
Pompa (wyporowa) o ruchu posuwisto-zwrotnym organu roboczego - pompa, w której
organ roboczy wykonując ruchy posuwisto-zwrotne powoduje na przemian powiększanie i
zmniejszanie przestrzeni roboczej pompy, a przez to zasysanie i wytłaczanie cieczy.
Pompa (wyporowa) tłokowa lub nurnikowa - pompa, w której organem roboczym jest tłok
cylindryczny lub nurnik poruszający się w dopasowanym cylindrze.
W każdej z wymienionych grup organ roboczy może mieć kształt tłoka tarczowego (rys, 10.1a)
lub tłoka nurnikowego (rys. 10.1b), zwanego nurnikiem (stąd nazwa: pompy nurnikowe).
Organami ruchomymi pionowych pomp tłokowych jednostronnego działania są
tłoki zaworowe (rys, 10.1) oraz tłoki rurowe (rys. 10.2).
Rys. 10.1. Pompy tłokowe jednostronnego działania:
a) stojąca z tłokiem tarczowym, b) leżąca z tłokiem nurnikowym;
1 - tłok (nurnik), 2 - komora zaworowa, 3 - zawór ssawny,
4 - rurociąg dopływowy (ssawny), 5 - zawór tłoczny, 6 - rurociąg tłoczny
2
2013-09-30
Rys. 10.2. Pompa tłokowa jednostronnego
działania z tłokiem zaworowym;
1 - tłok zaworowy, 2 - zawór tłoczny,
3 - zawór ssawny, 4 - rurociąg dopływowy,
5 - rurociąg tłoczny
Rys. 10.3. Pompa tłokowa jednostronnego
działania z tłokiem rurowym;
1 - tłok rurowy, 2 - zawór tłoczny,
3 - zawór tłoczny, 4 - tłoczysko
Zasada działania pomp tłokowych jednostronnego działania
W pompach jednostronnego działania podnoszenie cieczy odbywa się w dwu etapach.
Przy ruchu tłoka 1 w kierunku n zwiększa się objętość komory zaworowej 2, a występujący
przy tym spadek ciśnienia powoduje otwarcie zaworu ssawnego 3 i zassanie cieczy z obszaru
(zbiornika) dolnego przez rurę ssawną 4.
W czasie ruchu ssania do cylindra wpływa ciecz o objętości:
Ruch tłoka 1 w przeciwnym kierunku t powoduje zmniejszanie objętości komory 2,
wzrost ciśnienia, zamknięcie zaworu ssawnego 3 i otwarcie zaworu tłocznego 5, przez
który ciecz zostaje wyparta do rury tłocznej 6.
3
2013-09-30
Zasada działania pomp dwustronnego działania
Rys. 10.4. Pompa tłokowa dwustronnego działania (nurnikowa);
1 - nurnik, 2 - komory zaworowe, 3 - zawory ssawne,
4 - rurociąg dopływowy, 5 - zawory tłoczne, 6 - rurociąg tłoczny
Dla pompy dwustronnego działania w czasie jednego obrotu korby objętość zassana, a
następnie wytłaczana od strony tłoka bez tłoczyska wyniesie:
zaś od strony tłoka z tłoczyskiem:
gdzie: S = nd2t!4 - przekrój tłoczyska, dt - średnica tłoczyska.
Całkowita objętość zassanej i wytłoczonej cieczy w czasie jednego obrotu korby:
4
2013-09-30
Pompy różnicowe mają tłok lub nurnik 1 o dwu różnych średnicach d i dt
Rys. 10.5. Pompa tłokowa różnicowa (nurnikowa);
1 - nurnik, 2 - komora zaworowa, 3 -zawór ssawny, 4 - rurociąg dopływowy (ssawny),
5 - zawór tłoczny, 6 - rurociąg tłoczny, 7 - króciec tłoczny.
Podczas suwu w kierunku n do lewej komory 2 przez zawór ssawny 3 zostaje zassana
objętość cieczy równa
zaś z prawej strony zostaje wytłaczana do rury tłocznej 6 ciecz o objętości:
Podczas suwu w kierunku t lewa część nurnika wytłacza przez zawór tłoczny 5 do rury
tłocznej 6 objętość cieczy V, jednak część tej cieczy wypełnia przestrzeń z prawej strony
nurnika o objętości:
przez króciec 7 zostanie wytłoczona różnica obu objętości:
Łączna objętość cieczy zassanej i wytłoczonej w czasie jednego obrotu korby wynosi:
5
2013-09-30
Układ korbowy zamiany ruchu obrotowego na posuwisto-zwrotny
Rys. 10.6. Schemat układu pompy
jednostronnego działania z
napędem korbowym.
Układ korbowy zamiany ruchu obrotowego na posuwisto-zwrotny
Tłok uzyskuje ruch posuwisto-zwrotny najczęściej dzięki mechanizmowi korbowemu,
który wywiera zasadniczy wpływ na działanie pompy.
Mechanizm korbowy (rys. 10.6) składa się z korby 1, korbowodu 2 i wodzika 3. Korba może
być czołowa, może stanowić wykorbienie lub może mieć postać mimośrodu.
Kierunek obrotu korby w pompach leżących powinien być taki, żeby siła działająca na gładź
prowadnicy była skierowana ku dołowi.
Rys. 10.7. Schemat mechanizmu korbowego
1 — korba, 2 — korbowód, 3 — wodzik
Rys. 10.8. Schemat mechanizmu korbowego
o nieskończenie długim korbowodzie.
6
2013-09-30
Kinematyka układu korbowego
Na rysunku 10.9 przedstawiono układ korbowy o skończonej długości korbowodu
Wprowadzając oznaczenia:
s – skok tłoka,
r - ramię korby,
1 - długość łącznika (korbowodu),
λ - stosunek długości ramienia korby do długości łącznika,
ω - prędkość kątowa korby,
u - prędkość liniowa czopa korby, m/sek,
α - kąt obrotu korby,
β - kąt zawarty między osią łącznika a osią cylindra,
x - droga tłoka, m,
c - prędkość tłoka; m/sek,
a - przyspieszenie chwilowe tłoka, m/sek,
n - ilość obrotów na minutę.
Długość drogi tłoka odpowiadająca obrotowi korby o kąt α wynosi:
Znak (+) odnosi się do ruchu tłoka w przód (ku korbie) znak ( -) do ruchu w tył.
Ponieważ
to
a droga tłoka
po rozwinięciu w szereg wyrażenia podpierwiastkowego i wstawieniu do równania, otrzymamy
Dla powszechnie przyjętej wartości λ = 1/5, czwarty wyraz i dalsze jako bardzo małe
można pominąć
dla
ułamek
Wtedy wzór na drogę tłoka przybiera postać:
7
2013-09-30
Największy błąd wynikający z zatrzymania tylko trzech pierwszych wyrazów szeregu
otrzymuje się przy kącie α = 90°.
W tablicy podano błędy obliczeń w zależności od smukłości korbowodu tj. λ.
Błędy przy obliczaniu drogi tłoka:
Prędkość tłoka
Prędkość tłoka otrzyma się różniczkując drogę tłoka względem czasu.
lub po przekształceniu:
Z uproszczonego równania (dla powszechnie stosowanych długości korbowodów) otrzymać
można przybliżony wzór na prędkość chwilową tłoka:
8
2013-09-30
Stosując przy obliczaniu chwilowej prędkości tłoka uproszczony wzór popełnia się błąd,
który ma największą wartość przy kącie α = 60° i α = 120°.
Błędy te podane są nw. tablicy.
Błędy przy obliczaniu chwilowej prędkości tłoka
Rys. 10.9. Prędkość tłoka w funkcji obrotu korby c=f(α).
Prędkość osiąga największa wartość gdy oś łącznika jest styczna do obwodu koła,
wówczas prędkość ta wynosi:
9
2013-09-30
Przyspieszenie tłoka
Przyspieszenie tłoka otrzyma się przez różniczkowanie prędkości tłoka względem czasu.
Przybliżony wzór na chwilowe przyspieszenie tłoka (dla powszechnie stosowanych
długości korbowodów):
Rys. 10.10. Przyśpieszenie tłoka w funkcji obrotu korby a=f(α).
10
2013-09-30
Zależność prędkości i przyspieszenia tłoka dla korbowodów nieskończenie długich λ = 0
Rys.10.11. Wykres prędkości tłoka c zależności od kąta korby α.
Rys. 10.12. Wykres przyspieszenia tłoka a w zależności od kąta korby α.
Obrazem geometrycznym funkcji c = f(α) dla jest zniekształcona sinusoida, zaś
obrazem funkcji c = f(x) jest zniekształcona elipsa.
Obrazem geometrycznym funkcji c = f(α) dla λ = h jest sinusoida, zaś
obrazem funkcji c = f(x) jest elipsa, bowiem:
i ostatecznie
11
2013-09-30
Rys. 10.13. Wykres prędkości tłoka w
zależności od jego drogi, c = f (x).
Rys. 10.14. Wykres przyśpieszenia tłoka
w zależności od jego drogi, a = f(x).
Rys. 10.15.Konstrukcja krzywej przedstawiającej zależność prędkości c od kata α.
12
2013-09-30
Rys. 10.16. Konstrukcja krzywej przyspieszenia tłoka a w zależności od jego drogi x.
Rys. 10.17. Wykres chwilowej prędkości
tłoka c w zależności
od jego drogi x , gdy λ = 0.
Rys. 10.18. Wykres chwilowego przyspieszenia
tłoka a w zależności od drogi x,
gdy λ = 0.
13
2013-09-30
Wydajność pompy tłokowej
Teoretyczna wydajność pomp tłokowych
Pompy jednostronnie działające. Przy skoku ssania tłok pompy jednostronnie działającej o
polu A (m2), poruszający się ze zmienną prędkością c (m/s), zasysa w czasie dt ciecz o
objętości dQth (m3):
dQ th  A  c  dt
a podczas całego skoku o długości s = 2r (m), który trwa t (s)
t
Qth   A  c  dt
0
Jeżeli długość łącznika l = h , c = V sin α, to
t
Qth   AV  sin  dt
0
Ponieważ

d
dt 

, a czas t odpowiada obrotowi korby o kąt π , zatem
Qth   A  r    sin  
0
d
  A  r  cos  0  2  A  r  A  s

Taka sama objętość zostanie wytłoczona podczas skoku tłoczenia.
W ciągu minuty liczba obrotów wału korbowego wynosi n, zatem teoretyczną wydajność
pompy jednostronnie działajacej oraz pompy różnicowej oblicza się ze wzoru:
gdzie: z - liczba cylindrów, n - prędkość obrotowa korby lub
liczba cykli roboczych w obr/min, A - przekrój tłoka w m2,
s - skok tłoka w m.
Pompa dwustronnego działania w czasie jednego cyklu roboczego wypiera objętości cieczy
określone wzorami:
Łącznie w czasie
jednego cyklu:
14
2013-09-30
Rys. 10.19. Wydajność chwilowa pompy jednostronnego działania w funkcji kąta
obrotu korby Qth=f(α).
Rys. 10.20. Wydajność chwilowa pompy dwustronnego działania w funkcji kąta
obrotu korby Qth=f(α).
W celu zmniejszenia nierównomierności w podawaniu cieczy i uzyskania bardziej
równomiernego rozkładu momentów łączy się dwie, trzy i więcej pomp jednostronnie
działających, umieszczając je obok siebie i stosując odpowiednio wykorbiony wał.
Rys. 10.21. Chwilowa i teoretyczna
wydajność dla pompy dwucylindrowej
bliźniaczej dwustronnego działania
z korbami przestawionymi o 90°.
Rys. 10.22. Chwilowa i teoretycznej
wydajność dla pompy trzy cylindrowej
jednostronnego działania z korbami
przestawionymi o 120°.
Miarą nierównomierności mogą być każdorazowe stosunki Qth /Qmax lub Qth/Qmin, które
można łatwo obliczyć dla poszczególnego typu pompy.
15
2013-09-30
Wydajność wewnętrzna pompy tłokowej
Wydajnością wewnętrzną (indykowaną) pompy tłokowej Qi nazywamy natężenie przepływu
proporcjonalne do wykresu indykatorowego (rys. 10.23, rys. 10.24).
Rys. 10.23. Wykres indykatorowy
przybliżony pompy tłokowej.
Rys. 10.24. Wykres indykatorowy rzeczywisty
pompy tłokowej (Weber).
Wydajność wewnętrzna Qi jest mniejsza od teoretycznej wydajności pompy Qth,
gdyż:
- niewłaściwa (zła konstrukcyjnie) budowa pompy powoduje gromadzenie
się powietrza w kadłubie, które nie pozwala na pełne wykorzystanie
objętości skokowej,
- ściśliwość cieczy oraz sprężystość ścianek kadłuba pompy powoduje
również zmniejszenie wydajności,
- zawory samoczynne otwierają i zamykają się z pewnym opóźnieniem,
- pompowana ciecz może zawierać gazy (więc będzie ściśliwa),
- może występować nieszczelność tłoków.
Oznaczając sumę tych strat przez Q's otrzymamy:
stosunek:
nazywamy
współczynnikiem napełnienia
Straty wydajności Qs ’ nie wpływają zasadniczo na zwiększenie mocy napędu pompy, więc
współczynnik λn nie powinien być brany pod uwagę przy określaniu całkowitej sprawności
pompy tłokowej.
16
2013-09-30
Wydajność rzeczywista pompy tłokowej
Wydajność rzeczywista pompy Qr jest równa objętości cieczy wytłaczanej przez pompę w
jednostce czasu do rury tłocznej.
Wydajność ta jest mniejsza od wydajności wewnętrznej Qi , gdyż:
- nieszczelność dławnic powoduje wyciekanie cieczy na zewnątrz,
- nieszczelność zaworów ssawnych powoduje podczas suwu tłoczenia
przenikanie cieczy z powrotem do rury ssawnej, zaś nieszczelność zaworów
tłocznych przenikanie cieczy z rury tłocznej do kadłuba pompy w czasie
suwu ssania,
- nieszczelność wokół tłoka powoduje przedostawanie się cieczy na stronę o
niższym ciśnieniu.
Oznaczając te straty przez Qs otrzymamy:
Q r  Qi  Q s
Straty wydajności Qs powodują również stratę mocy napędzającej pompę.
Stosunek rzeczywistej wydajności Qr do wydajności wewnętrznej Qi nazywamy współczynnikiem
sprawności objętościowej lub krótko sprawnością objętościową (wolumetryczną) pompy
V 
Qr
Qi
W literaturze technicznej spotyka się często określenie sprawności objętościowej, która
uwzględnia wszystkie straty objętościowe.
V 
Qr
Qth
Stosowanie sprawności objętościowej określonej w/w wzorem ułatwia obliczanie pomp
tłokowych, zaś błąd przy tym popełniany jest niewielki.
Współczynnik sprawności objętościowej ηv jest określany doświadczalnie.
Zależy on od konstrukcji oraz od stanu pompy.
Wartości współczynnika ηv wynoszą dla wody i dla poszczególnych rodzajów pomp:
- bezkorbowych pomp parowych
0,96 - 0,99,
- wielkich pomp wodociągowych i odwadniających
przy średnicy tłoka d > 150 mm
0,94 - 0,99,
- średnich pomp (d = 50 - 150 mm)
0,90 - 0,97,
- małych pomp (d < 50 mm)
0,85 - 0,90.
17