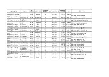
Sąd Okręgowy Adres kod pocztowy miejscowość telefon do centrali

Transkrypt

Sąd Okręgowy Adres kod pocztowy miejscowość telefon do centrali
Sąd Okręgowy
Adres
kod
pocztowy
miejscowość
nr telefoniczny
kierunkowy
telefon do centrali sądu
tel. sekretariatu
prezesa sądu
Fax.
Sąd Okręgowy w Białymstoku
ul.
M.C.Skłodowskiej 1
15-950
Białystok
85
745-92-00
745-92-17
742-46-40
ul. Cieszyńska 10
43-300
Bielsko-Biała
33
499-04-99
499-03-16
499 04 50
85-128
Bydgoszcz
52
32-53-100
325-31-04
321-31-01
42-200
Częstochowa
34
36-84-400
36-84-410
36-84-420
82-300
Elbląg
55
611-24-00
611-24-01
http://www.czestochowa.so.gov.pl/
611-22-15 http://www.elblag.so.gov.pl/
321-31-99
Sąd Okręgowy w BielskuBiałej
adres www
http://www.bialystok.so.gov.pl/
http://www.bielsko-biala.so.gov.pl/
Sąd Okręgowy w
Częstochowie
Sąd Okręgowy w Elblągu
ul. Wały
Jagiellońskie 2
ul. Dąbrowskiego
23/35
pl. Konstytucji 1
Sąd Okręgowy w Gdańsku
ul. Nowe Ogrody 30
80-803
Gdańsk
58
321-31-99
32-13-104
Sąd Okręgowy w Gliwicach
Sąd Okręgowy w Gorzowie
Wielkopolskim
Sąd Okręgowy w Jeleniej
Górze
Sąd Okręgowy w Kaliszu
ul. Kościuszki 15
44-100
32
33-80-200
33-80-101
http://www.gdansk.so.gov.pl/
33-80-102 http://www.gliwice.so.gov.pl/
ul. Mieszka I 33
66-400
Gliwice
Gorzów
Wielkopolski
95
725-67-00
72-02-807
720-28-07
58-500
Jelenia Góra
75
641-51-00
64-15-151
75-25-113
62-800
Kalisz
62
765-77-00
765-77-64
http://www.jelenia-gora.so.gov.pl/
757-49-36 http://www.kalisz.so.gov.pl/
Sąd Okręgowy w Katowicach
ul. Francuska 38
40-028
Katowice
32
60-70-168
60-70-200
60-70-199
Sąd Okręgowy w Kielcach
Sąd Okręgowy w Koninie
Sąd Okręgowy w Koszalinie
ul. Seminaryjska 12
a
ul. Energetyka 5
ul. Waryńskiego 7
Sąd Okręgowy w Krakowie
Sąd Okręgowy w Krośnie
Sąd Okręgowy w Legnicy
Sąd Okręgowy w Bydgoszczy
Sąd Okręgowy w Lublinie
Sąd Okręgowy w Łodzi
Sąd Okręgowy w Łomży
Sąd Okręgowy w Nowym
Sączu
Sąd Okręgowy w Olsztynie
al. Wojska Polskiego
56
al. Wolności 13
http://www.bip.bydgoszcz.so.gov.pl/
http://www.gorzow-wlkp.so.gov.pl/
http://www.katowice.so.gov.pl/
25-372
Kielce
41
340-23-00
62-510
75-541
Konin
Koszalin
63
94
242-30-22
342-87-50
ul. Przy Rondzie 7
31-547
Kraków
12
619-50-00
ul. Sienkiewicza 12
ul. Złotoryjska 40
ul. Krakowskie
Przedmieście 43
pl. Dąbrowskiego 5
ul. Dworna 16
38-400
59-220
Krosno
Legnica
13
76
437-36-00
722-59-00
344-59-45
34-02-312
242-38-16
342-87-50
619-58-00
619-58-22
437-36-02
722-59-11
20-076
Lublin
81
535-91-38
532-08-40
90-921
18-400
Łódź
Łomża
42
86
67-78-900
216-62-81
67-78-990
216-38-07
http://www.so.lublin.pl/
67-78-991 http://www.lodz.so.gov.pl/
216-67-53 http://www.lomza.so.gov.pl/
ul. Pijarska 3
33-300
Nowy Sącz
18
443-89-00
443-89-22
443-89-22
ul. Dąbrowszczaków
44 A
10-001
Olsztyn
89
521-60-00
521-61-64
521-61-63
34-44-923
http://www.kielce.so.gov.pl/
242-65-69 http://www.konin.so.gov.pl/bip/
342-88-97 http://www.koszalin.so.gov.pl/
619-57-77
http://www.krakow.so.gov.pl/
432-05-70 http://www.krosno.so.gov.pl/
722-59-12 http://www.legnica.so.gov.pl/
532-99-95
http://www.nowy-sacz.so.gov.pl/
http://www.olsztyn.so.gov.pl/
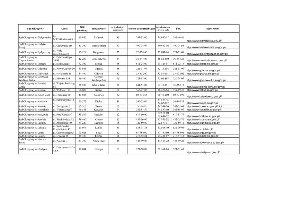
Sąd Okręgowy w Białymstoku
Adres
kod
pocztowy
miejscowość
nr
telefoniczny
kierunkowy
telefon do centrali sądu
tel. sekretariatu
prezesa sądu
Fax.
Sąd Okręgowy w Białymstoku
ul.
M.C.Skłodowskiej 1
15-950
Białystok
85
745-91-00
745-92-00
745-92-17
742-46-40
33
4990480
4990481
4990482
499-03-16
325-31-04
Sąd Okręgowy w BielskuBiałej
ul. Cieszyńska 10
ul. Wały
Sąd Okręgowy w Bydgoszczy
Jagiellońskie 2
ul. Dąbrowskiego
Sąd Okręgowy w Częstochowie
23/35
Sąd Okręgowy w Częstochowie ul. Śląska 8
43-300
Bielsko-Biała
85-128
Bydgoszcz
52
32-53-100
42-200
Częstochowa
34
32-45-015
34
374-07-35
37407-36
374-07-37
wew. 106
42-200
Częstochowa
adres www
http://www.bialystok.so.gov.pl/
499 04 50
http://www.bielsko-biala.so.gov.pl/
321-31-01
36-44-300
http://www.bip.bydgoszcz.so.gov.pl/
http://www.czestochowa.so.gov.pl/
http://www.czestochowa.so.gov.pl/
Sąd Okręgowy w Częstochowie ul. Rejtana 6
42-200
Częstochowa
34
37-79-901
Sąd Okręgowy w Elblągu
pl. Konstytucji 1
82-300
Elbląg
55
611-24-00
611-24-01
http://www.czestochowa.so.gov.pl/
611-22-15 http://www.elblag.so.gov.pl/
Sąd Okręgowy w Gdańsku
ul. Nowe Ogrody 30
80-803
Gdańsk
58
321-31-99
32-13-104
321-31-99
Sąd Okręgowy w Gliwicach
ul. Kościuszki 15
44-100
Gliwice
32
Sąd Okręgowy w Gorzowie
Wielkopolskim
ul. Mieszka I 33
66-400
Gorzów
Wielkopolski
95
Sąd Okręgowy w Jeleniej
Górze
Sąd Okręgowy w Kaliszu
al. Wojska Polskiego
56
al. Wolności 13
Sąd Okręgowy w Katowicach
ul. Francuska 38
Sąd Okręgowy w Kielcach
ul. Seminaryjska 12
a
722-42-80
722-42-82
722-42-84
722-42-81
722-42-83
722-42-85
58-500
Jelenia Góra
75
641-51-00
62-800
Kalisz
62
765-77-00
40-028
Katowice
32
60 70 168
25-372
Kielce
37-79-901
720-28-07
http://www.gorzow-wlkp.so.gov.pl/
752-51-13
765-77-64
41
340-23-00
242-38-16
Sąd Okręgowy w Koninie
ul. Energetyka 5
62-510
Konin
63
Sąd Okręgowy w Koszalinie
ul. Waryńskiego 7
75-541
Koszalin
94
342-87-50
Sąd Okręgowy w Krakowie
ul. Przy Rondzie 7
31-547
Kraków
12
619-50-00
Sąd Okręgowy w Krośnie
Sąd Okręgowy w Legnicy
ul. Sienkiewicza 12
ul. Złotoryjska 40
38-400
59-220
Krosno
Legnica
13
76
437-36-00
722-59-00
http://www.jelenia-gora.so.gov.pl/
757-49-36 http://www.kalisz.so.gov.pl/
60 70 211
344-59-45
34-02-312
242 30 22
242 30 14
242 30 71
242 30 95
242 30 66
http://www.gdansk.so.gov.pl/
http://www.gliwice.so.gov.pl/
342-87-50
619-58-00
619-58-22
437-36-02
722-59-11
34-44-923
242-65-69
http://www.katowice.so.gov.pl/
http://www.kielce.so.gov.pl/
http://www.konin.so.gov.pl/bip/
342-88-97 http://www.koszalin.so.gov.pl/
619-57-77
http://www.krakow.so.gov.pl/
432-05-70 http://www.krosno.so.gov.pl/
722-59-12 http://www.legnica.so.gov.pl/
Sąd Okręgowy w Łodzi
ul. Krakowskie
Przedmieście 43
pl. Dąbrowskiego 5
Sąd Okręgowy w Łomży
ul. Dworna 16
18-400
Łomża
86
Sąd Okręgowy w Nowym
Sączu
ul. Pijarska 3
33-300
Nowy Sącz
18
443-89-00
Sąd Okręgowy w Olsztynie
ul. Dąbrowszczaków
44 A
10-001
Olsztyn
89
521-60-00
Sąd Okręgowy w Lublinie
20-076
Lublin
81
535-91-38
532-08-40
90-921
Łódź
42
67-78-900
216-62-81
67-53
67-78-990
http://www.so.lublin.pl/
67-78-991 http://www.lodz.so.gov.pl/
216-38-07
216-67-53
216-
532-99-95
http://www.lomza.so.gov.pl/
http://www.nowy-sacz.so.gov.pl/
521-61-64
521-61-63
http://www.olsztyn.so.gov.pl/
Sąd Okręgowy w Opolu
pl. Daszyńskiego 1
45-064
Opole
77
Sąd Okręgowy w Ostrołęce
Sąd Okręgowy w Piotrkowie
Trybunalskim
Sąd Okręgowy w Płocku
ul. Gomulickiego 5
07-400
29
ul. Słowackiego 5
97-300
44
649-41-01
649-41-02
pl. Narutowicza 4
09-404
Ostrołęka
Piotrków
Trybunalski
Płock
54-18-100
54-18101
7650100
765 01 39
24
269-72-00
269-72-59
Sąd Okręgowy w Poznaniu
al. Marcinkowskiego
32
61-745
Poznań
61
85-66-000
85-66-001
85-66-002
Sąd Okręgowy w Przemyślu
37-700
Przemyśl
16
678-83-31
676-13-51
26-600
Radom
48
368-02-00
Sąd Okręgowy w Rzeszowie
ul. Konarskiego 6
ul. M. J.
Piłsudskiego 10
pl. Śreniawitów 3
35-959
Rzeszów
17
875-62-31
http://www.radom.so.gov.pl/
862-72-65 http://www.rzeszow.so.gov.pl/
Sąd Okręgowy w Siedlcach
ul. Sądowa 2
08-100
Siedlce
25
640-78-45
640-78-12
Sąd Okręgowy w Sieradzu
al. Zwycięstwa 1
98-200
Sieradz
43
Sąd Okręgowy w Słupsku
ul. Zamenhofa 7
76-200
Słupsk
59
Sąd Okręgowy w Słupsku
Sąd Okręgowy w Słupsku
ul. Stary Rynek 2
ul. Kilińskiego 43
76-200
76-200
Słupsk
Słupsk
59
59
875-62-00
640-78-01
640-7800
826-66-00
842 20 41
842
20 42
842 20 43
842 20 44
842 60 21
841 50 40
Sąd Okręgowy w Suwałkach
ul. Waryńskiego 45
16-400
Suwałki
87
56-31-300
563-13-01
Sąd Okręgowy w Szczecinie
Sąd Okręgowy w Świdnicy
ul. Kaszubska 42
pl. Grunwaldzki 14
70-952
58-100
Szczecin
Świdnica
91
74
448-00-02
851-83-00
851-82-48
Sąd Okręgowy w Tarnobrzegu ul. Sienkiewicza 27
39-400
Tarnobrzeg
15
Sąd Okręgowy w Radomiu
Sąd Okręgowy w Tarnowie
Sąd Okręgowy w Toruniu
ul. J. Dąbrowskiego
27
ul. Piekary 51
33-100
Tarnów
14
87-100
Toruń
56
823-48-80
823-49-35
823-49-37
823-48-81
823-49-36
822-45-12
688-74-00
688-75-00
61 05 600
54-18-110
http://www.opole.so.gov.pl/
http://www.ostroleka.so.gov.pl/
765-01-32
647-89-19
http://www.piotrkow-tryb.so.gov.pl/
262-25-26 http://www.soplock.bip.org.pl/
676 13 53
http://www.poznan.so.gov.pl/
http://przemysl.so.gov.pl/
368-03-03
826-66-06
http://so.siedlce.pl/
826-66-67 http://www.sieradz.so.gov.pl/
842 83 25
842 83 01
842 36 95
841 50 42
http://www.slupsk.so.gov.pl/
http://www.slupsk.so.gov.pl/
http://www.slupsk.so.gov.pl/
56-31-303
http://www.suwalki.so.gov.pl/
448-99-15 http://www.szczecin.so.gov.pl/
851-82-70 http://www.swidnica.so.gov.pl/
823-48-80
823-48-81
w. 328
823-05-51
621-16-38
688-74-17
610-56-04
65 55 706
http://www.tarnobrzeg.so.gov.pl/
http://www.tarnow.so.gov.pl/
http://www.so.torun.pl/
Sąd Okręgowy w Toruniu
ul. Piekary 49
ul. Mickiewicza
10/16
87-100
Toruń
56
61 05 626
61 05 672
87-100
Toruń
56
61 05 611
61 05 691
Sąd Okręgowy w Warszawie
ul. Solidarności 127
00-898
Warszawa
22
620-03-71
Sąd Okręgowy w Zamościu
Sąd Okręgowy w Zielonej
Górze
Sąd Okręgowy Warszawa Praga w Warszawie
ul. Akademicka 1
22-400
Zamość
84
638-48-13
pl. Słowiański 1
65-958
Zielona Góra
68
al. Solidarności 127
00-898
Warszawa
22
Sąd Okręgowy w Toruniu
ul. Wojska Polskiego
Sąd Okręgowy we Włocławku
22
Sąd Okręgowy we Wrocławiu
ul. Sądowa 1
87-800
50-950
Włocławek
Wrocław
54
71
440-80-56
440-40-10
32 20 218
322-01-40
322-01-93
620 03 71
440-80-25
440-31-16
42 22 500
600
37-04-200
200
42 22
79-94-
http://www.so.torun.pl/
http://www.warszawa.so.gov.pl/
639-33-59 http://www.zamosc.so.gov.pl/
41 16 205
37-04-201
http://www.so.torun.pl/
344-49-59
http://www.zielona-gora.so.gov.pl/
http://www.warszawapraga.so.gov.pl/
http://www.wloclawek.so.gov.pl/
http://www.wroclaw.so.gov.pl/