Zapytanie ofertowe_zalacznik nr 1

Transkrypt

Zapytanie ofertowe_zalacznik nr 1
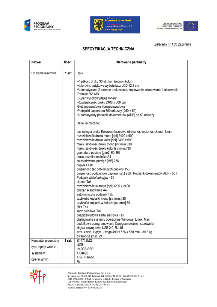
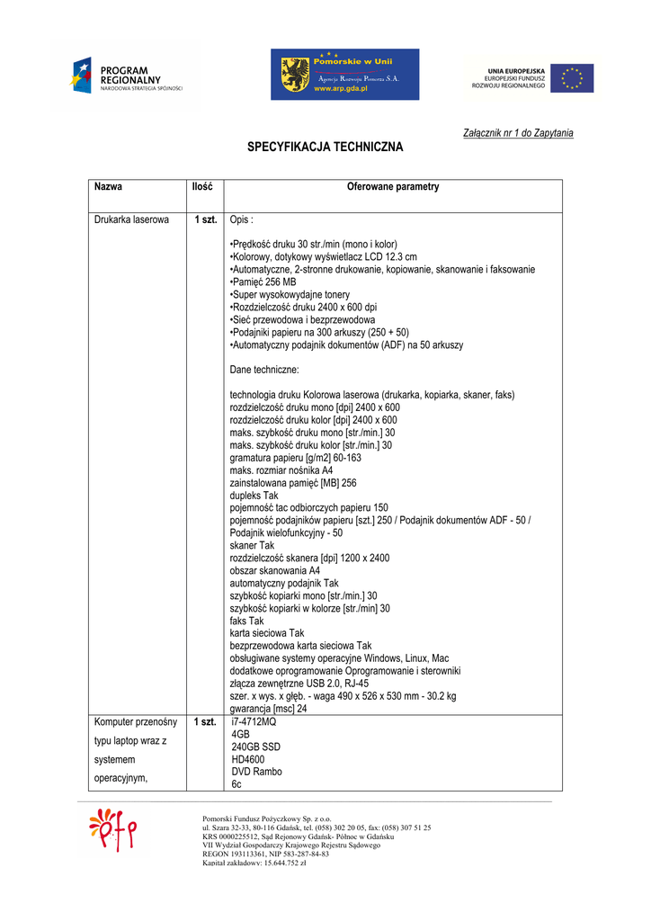
Załącznik nr 1 do Zapytania
SPECYFIKACJA TECHNICZNA
Nazwa
Ilość
Drukarka laserowa
1 szt.
Oferowane parametry
Opis :
•Prędkość druku 30 str./min (mono i kolor)
•Kolorowy, dotykowy wyświetlacz LCD 12.3 cm
•Automatyczne, 2-stronne drukowanie, kopiowanie, skanowanie i faksowanie
•Pamięć 256 MB
•Super wysokowydajne tonery
•Rozdzielczość druku 2400 x 600 dpi
•Sieć przewodowa i bezprzewodowa
•Podajniki papieru na 300 arkuszy (250 + 50)
•Automatyczny podajnik dokumentów (ADF) na 50 arkuszy
Dane techniczne:
Komputer przenośny
typu laptop wraz z
systemem
operacyjnym,
1 szt.
technologia druku Kolorowa laserowa (drukarka, kopiarka, skaner, faks)
rozdzielczość druku mono [dpi] 2400 x 600
rozdzielczość druku kolor [dpi] 2400 x 600
maks. szybkość druku mono [str./min.] 30
maks. szybkość druku kolor [str./min.] 30
gramatura papieru [g/m2] 60-163
maks. rozmiar nośnika A4
zainstalowana pamięć [MB] 256
dupleks Tak
pojemność tac odbiorczych papieru 150
pojemność podajników papieru [szt.] 250 / Podajnik dokumentów ADF - 50 /
Podajnik wielofunkcyjny - 50
skaner Tak
rozdzielczość skanera [dpi] 1200 x 2400
obszar skanowania A4
automatyczny podajnik Tak
szybkość kopiarki mono [str./min.] 30
szybkość kopiarki w kolorze [str./min] 30
faks Tak
karta sieciowa Tak
bezprzewodowa karta sieciowa Tak
obsługiwane systemy operacyjne Windows, Linux, Mac
dodatkowe oprogramowanie Oprogramowanie i sterowniki
złącza zewnętrzne USB 2.0, RJ-45
szer. x wys. x głęb. - waga 490 x 526 x 530 mm - 30.2 kg
gwarancja [msc] 24
i7-4712MQ
4GB
240GB SSD
HD4600
DVD Rambo
6c
____________________________________________________________________________________________________________________________
Pomorski Fundusz Pożyczkowy Sp. z o.o.
ul. Szara 32-33, 80-116 Gdańsk, tel. (058) 302 20 05, fax: (058) 307 51 25
KRS 0000225512, Sąd Rejonowy Gdańsk- Północ w Gdańsku
VII Wydział Gospodarczy Krajowego Rejestru Sądowego
REGON 193113361, NIP 583-287-84-83
Kapitał zakładowy: 15.644.752 zł
________________________________________________________________________
oprogramowaniem
14.0" HD+ AG,
Pakiet Office H&B 2013
biurowym i
antywirusowym
Torba na komputer
1 szt.
przenośny typu
laptop
Podstawka
chłodząca do
komputera
1 szt.
Rodzaj zapięcia: zamek, ilość komór: 3
Materiał zewnętrzny: nylon
Pasek na ramię
Przegroda z pianki
Paski wewnętrzne do przypinania notebooka
Dodatkowe kieszenie
Kolor: czarny lub granatowy lub szary
Zastosowanie – do komputera przenośnego typu laptop max. 15 cala
Maksymalny kąt nachylenia 30st
Regulacja kątu nachylenia
gwarancja [msc] 24
przenośnego typu
laptop
……........................................................................................................
/podpis pełnomocnego przedstawiciela Wykonawcy/
____________________________________________________________________________________________________________________________
Pomorski Fundusz Pożyczkowy Sp. z o.o.
ul. Szara 32-33, 80-116 Gdańsk, tel. (058) 302 20 05, fax: (058) 307 51 25
KRS 0000225512, Sąd Rejonowy Gdańsk- Północ w Gdańsku
VII Wydział Gospodarczy Krajowego Rejestru Sądowego
REGON 193113361, NIP 583-287-84-83
Kapitał zakładowy: 15.644.752 zł