przedmiary robot

Transkrypt

przedmiary robot
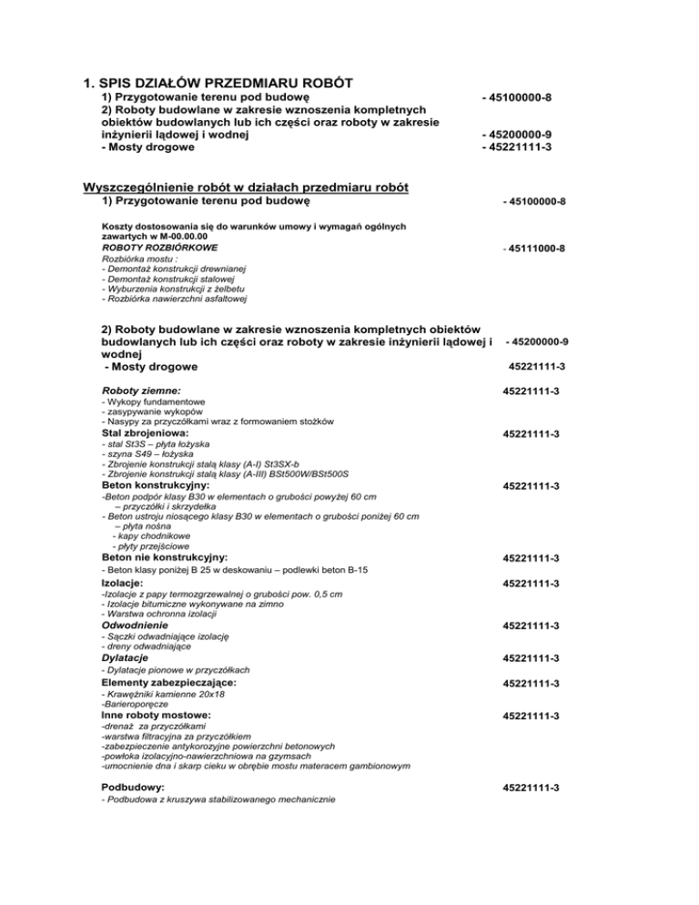
1. SPIS DZIAŁÓW PRZEDMIARU ROBÓT
1) Przygotowanie terenu pod budowę
2) Roboty budowlane w zakresie wznoszenia kompletnych
obiektów budowlanych lub ich części oraz roboty w zakresie
inŜynierii lądowej i wodnej
- Mosty drogowe
- 45100000-8
- 45200000-9
- 45221111-3
Wyszczególnienie robót w działach przedmiaru robót
1) Przygotowanie terenu pod budowę
Koszty dostosowania się do warunków umowy i wymagań ogólnych
zawartych w M-00.00.00
ROBOTY ROZBIÓRKOWE
Rozbiórka mostu :
- DemontaŜ konstrukcji drewnianej
- DemontaŜ konstrukcji stalowej
- Wyburzenia konstrukcji z Ŝelbetu
- Rozbiórka nawierzchni asfaltowej
2) Roboty budowlane w zakresie wznoszenia kompletnych obiektów
budowlanych lub ich części oraz roboty w zakresie inŜynierii lądowej i
wodnej
- Mosty drogowe
Roboty ziemne:
- 45100000-8
- 45111000-8
- 45200000-9
45221111-3
45221111-3
- Wykopy fundamentowe
- zasypywanie wykopów
- Nasypy za przyczółkami wraz z formowaniem stoŜków
Stal zbrojeniowa:
45221111-3
- stal St3S – płyta łoŜyska
- szyna S49 – łoŜyska
- Zbrojenie konstrukcji stalą klasy (A-I) St3SX-b
- Zbrojenie konstrukcji stalą klasy (A-III) BSt500W/BSt500S
Beton konstrukcyjny:
45221111-3
-Beton podpór klasy B30 w elementach o grubości powyŜej 60 cm
– przyczółki i skrzydełka
- Beton ustroju niosącego klasy B30 w elementach o grubości poniŜej 60 cm
– płyta nośna
- kapy chodnikowe
- płyty przejściowe
Beton nie konstrukcyjny:
45221111-3
- Beton klasy poniŜej B 25 w deskowaniu – podlewki beton B-15
Izolacje:
45221111-3
-Izolacje z papy termozgrzewalnej o grubości pow. 0,5 cm
- Izolacje bitumiczne wykonywane na zimno
- Warstwa ochronna izolacji
Odwodnienie
45221111-3
- Sączki odwadniające izolację
- dreny odwadniające
Dylatacje
45221111-3
- Dylatacje pionowe w przyczółkach
Elementy zabezpieczające:
45221111-3
- KrawęŜniki kamienne 20x18
-Barieroporęcze
Inne roboty mostowe:
45221111-3
-drenaŜ za przyczółkami
-warstwa filtracyjna za przyczółkiem
-zabezpieczenie antykorozyjne powierzchni betonowych
-powłoka izolacyjno-nawierzchniowa na gzymsach
-umocnienie dna i skarp cieku w obrębie mostu materacem gambionowym
Podbudowy:
- Podbudowa z kruszywa stabilizowanego mechanicznie
45221111-3
Nawierzchnia:
45221111-3
- warstwa z betony asfaltowego. Warstwa wiąŜąca gr. 5 cm
- warstwa z betony asfaltowego. Warstwa wiąŜąca gr. 8 cm
- warstwa z betony asfaltowego. Warstwa ścieralna gr. 4 cm
- wzmocnienie nawierzchni kompozytem siatki o sztywnych węzłach na podkładzie z włókniny
Roboty wykończeniowe:
45221111-3
- Umocnienie skarp i rowów poprzez obłoŜenie biomatą i obsianie trawą
Uwaga: Przedmiar robót i specyfikacje techniczne wykonania i odbioru robót budowlanych wg odrębnych opracowań.
2. TABELA PRZEDMIARU ROBÓT
Nr
Kod SST
Nr stwiorb
1
Nazwa i opis
j.m
.
ilość j.m.
4
5
6
3
Dział 1. Przygotowanie terenu pod budowę
ROBOTY ROZBIÓRKOWE
1
2
3
4
5
45234000-8
45234000-8
45234000-8
45234000-8
45234000-8
M-00.00.00
M-20.01.01
M-20.01.01
M-20.01.01
M-20.01.01
Koszty dostosowania się do warunków umowy i wymagań
ogólnych zawartych w specyfikacji
DemontaŜ konstrukcji drewnianej
DemontaŜ konstrukcji stalowej
Wyburzenia konstrukcji z Ŝelbetu
Rozbiórka nawierzchni asfaltowej
ryczałt
3
m
t
m3
m3
10,2
6,5
15,1
4,6
2) Roboty budowlane w zakresie wznoszenia kompletnych obiektów budowlanych lub ich części
oraz roboty w zakresie inŜynierii lądowej i wodnej - - Mosty drogowe
Roboty ziemne
6 45221111-3
7 45221111-3
8 45221111-3
M-11.01.01
M-11.01.04
M-11.01.07
Wykopy fundamentowe
Zasypywanie wykopów
Nasypy za przyczółkami wraz z formowaniem stoŜków
m2
m3
m3
196,0
15,36
140,0
M-12.01.01
M-12.01.01
M-12.01.01
M-12.01.02
Stal St3S – płyta łoŜyska
Szyna S49 – łoŜyska
Zbrojenie konstrukcji stalą klasy (A-I) St3SX-b
Zbrojenie konstrukcji stalą klasy (A-III) BSt500W/BSt500S
kg
kg
kg
kg
576,0
642,59
76,0
16576,0
m3
50,6
m3
m3
m3
41,5
6,8
14,16
Stal zbrojeniowa
9
10
11
12
45221111-3
45221111-3
45221111-3
45221111-3
Beton konstrukcyjny
13 45221111-3
M-13.01.04
14 45221111-3
15 45221111-3
16 45221111-3
M-13.01.05
M-13.01.05
M-13.03.03
Beton podpór klasy B30 w elementach o grubości powyŜej
60 cm
– przyczółki i skrzydełka
- Beton ustroju niosącego klasy B30 w elementach o
grubości poniŜej 60 cm
– płyta nośna
- kapy chodnikowe
- płyty przejściowe
Betron nie konstrukcyjny
17 45221111-3
M-13.02.01
Beton klasy poniŜej B 25 w deskowaniu – podlewki beton
B-15
m3
31,3
M-15.01.01
M-15.01.02
M-15.01.03
Izolacje z papy termozgrzewalnej o grubości pow. 0,5 cm
Izolacje bitumiczne wykonywane na zimno
Warstwa ochronna izolacji
m2
m2
m2
81,0
95,0
26,0
M-16.01.03
M-16.01.04
Sączki odwadniające izolację
Dreny odwadniające
szt
m
6
30,0
M-13.01.05
Dylatacje pionowe w przyczółkach
m
26,0
KrawęŜniki kamienne 20x18
Barieroporęcze
m
m
35,6
34,4
drenaŜ za przyczółkami
warstwa filtracyjna za przyczółkiem
zabezpieczenie antykorozyjne powierzchni betonowych
powłoka izolacyjno-nawierzchniowa na gzymsach
-umocnienie dna i skarp cieku w obrębie mostu
materacem gambionowym
m
m3
m2
m2
m2
24
4,29
148,0
32,0
125,0
Izolacje
18 45221111-3
19 45221111-3
20 45221111-3
Odwodnienie
21 45221111-3
22 45221111-3
Dylatacje
23 45221111-3
Elementy zabezpieczające
24 45221111-3
25 45221111-3
M-15.01.01
M-15.01.01
Inne roboty mostowe:
26
27
28
29
30
45221111-3
45221111-3
45221111-3
45221111-3
45221111-3
M-20.01.02
M-20.01.03
M-20.01.09
M-20.01.14
M-20.02.07
Podbudowy
31 45221111-3
D-04.03.06
Podbudowa z kruszywa stabilizowanego mechanicznie
m2
78,0
D-05.03.05
D-05.03.05
D-05.03.05
D-05.04.00
warstwa z betony asfaltowego. Warstwa wiąŜąca gr. 5 cm
warstwa z betony asfaltowego. Warstwa wiąŜąca gr. 8 cm
warstwa z betony asfaltowego. Warstwa ścieralna gr.4 cm
wzmocnienie nawierzchni kompozytem siatki o sztywnych
węzłach na podkładzie z włókniny
m2
m2
m2
m2
60,0
78,0
138,0
24,0
Umocnienie skarp i rowów poprzez obłoŜenie biomatą i
obsianie trawą
m2
120,0
Nawierzchnia
32
33
34
35
45221111-3
45221111-3
45221111-3
45221111-3
Roboty wykończeniowe
36 45221111-3
D-06.01.01
inŜ. Sławomir Miernik