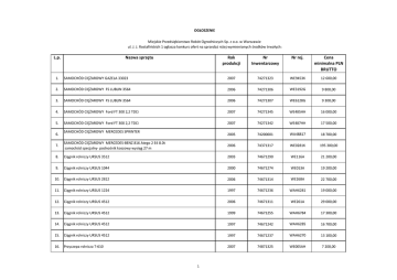
L.p. Nazwa sprzętu Rok produkcji Nr Inwentarzowy Nr rej. Cena

Transkrypt

L.p. Nazwa sprzętu Rok produkcji Nr Inwentarzowy Nr rej. Cena
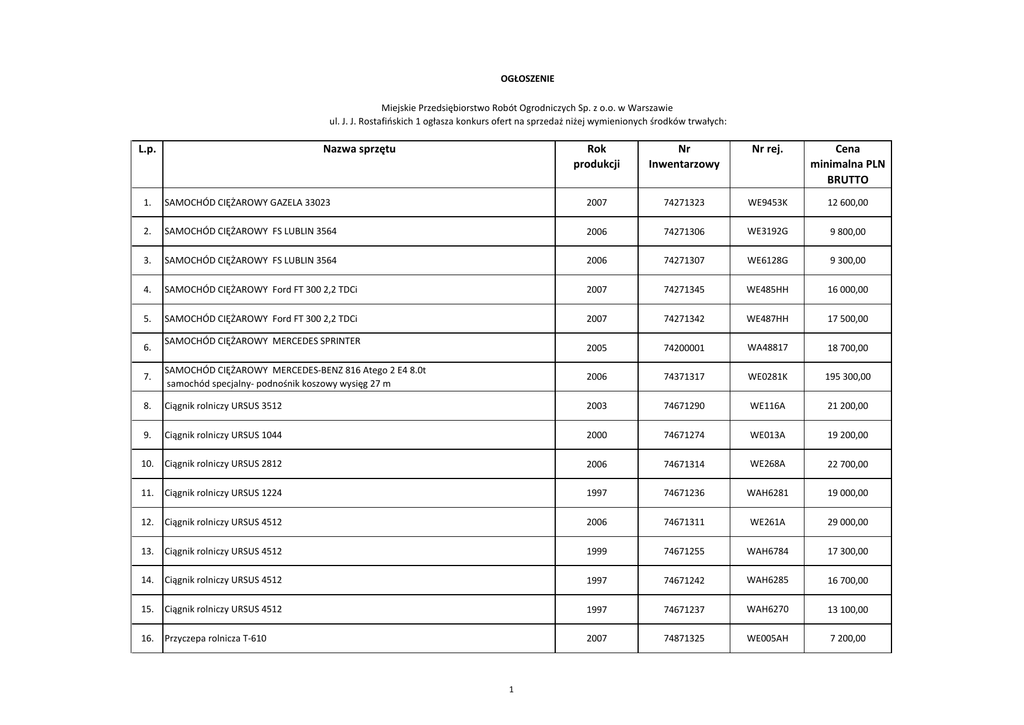
OGŁOSZENIE
Miejskie Przedsiębiorstwo Robót Ogrodniczych Sp. z o.o. w Warszawie
ul. J. J. Rostafińskich 1 ogłasza konkurs ofert na sprzedaż niżej wymienionych środków trwałych:
L.p.
Nazwa sprzętu
Rok
produkcji
Nr
Inwentarzowy
Nr rej.
Cena
minimalna PLN
BRUTTO
1.
SAMOCHÓD CIĘŻAROWY GAZELA 33023
2007
74271323
WE9453K
12 600,00
2.
SAMOCHÓD CIĘŻAROWY FS LUBLIN 3564
2006
74271306
WE3192G
9 800,00
3.
SAMOCHÓD CIĘŻAROWY FS LUBLIN 3564
2006
74271307
WE6128G
9 300,00
4.
SAMOCHÓD CIĘŻAROWY Ford FT 300 2,2 TDCi
2007
74271345
WE485HH
16 000,00
5.
SAMOCHÓD CIĘŻAROWY Ford FT 300 2,2 TDCi
2007
74271342
WE487HH
17 500,00
2005
74200001
WA48817
18 700,00
6.
SAMOCHÓD CIĘŻAROWY MERCEDES SPRINTER
7.
SAMOCHÓD CIĘŻAROWY MERCEDES-BENZ 816 Atego 2 E4 8.0t
samochód specjalny- podnośnik koszowy wysięg 27 m
2006
74371317
WE0281K
195 300,00
8.
Ciągnik rolniczy URSUS 3512
2003
74671290
WE116A
21 200,00
9.
Ciągnik rolniczy URSUS 1044
2000
74671274
WE013A
19 200,00
10.
Ciągnik rolniczy URSUS 2812
2006
74671314
WE268A
22 700,00
11.
Ciągnik rolniczy URSUS 1224
1997
74671236
WAH6281
19 000,00
12.
Ciągnik rolniczy URSUS 4512
2006
74671311
WE261A
29 000,00
13.
Ciągnik rolniczy URSUS 4512
1999
74671255
WAH6784
17 300,00
14.
Ciągnik rolniczy URSUS 4512
1997
74671242
WAH6285
16 700,00
15.
Ciągnik rolniczy URSUS 4512
1997
74671237
WAH6270
13 100,00
16.
Przyczepa rolnicza T-610
2007
74871325
WE005AH
7 200,00
1
17.
Przyczepa rolnicza T-610
2005
74871300
WE770AF
7 600,00
18.
Przyczepa rolnicza T-610
2005
74871297
WE603AF
6 800,00
19.
Przyczepa rolnicza T-610
2005
74871301
WE874AF
6 100,00
20.
Przyczepa rolnicza T-604
2006
74871304
WE933AF
6 600,00
21.
Przyczepa rolnicza T-604
2000
74871272
WE466AE
5 800,00
22.
Przyczepa rolnicza T-604
2000
74871271
WE337AK
6 000,00
23.
Przyczepa rolnicza T-604
2000
74871268
WE098AE
4 000,00
24.
Przyczepa rolnicza T-604
2000
74871269
WE124AE
4 200,00
25.
Przyczepa rolnicza T-604
1999
74871260
WXG568W
4 300,00
26.
Wóz asenizacyjny PA-35A
1994
74771206
WGB9433
2 500,00
27.
Wóz asenizacyjny PA-35A
1994
74771208
WE640AK
2 500,00
28.
Przyczepa asenizacyjna PA-35A
2001
74871278
WE294AK
3 500,00
29.
Przyczepa asenizacyjna PA-70A
2001
74871280
WE994AE
3 900,00
30.
Przyczepa asenizacyjna POMOT T507/1
2007
74771324
WE785AG
6 500,00
31.
Przczepa ciężarowa rolnicza posypywarka
2010
74771340
WE821AJ
17 000,00
32.
Przyczepa skrzyniowa NIEWIADÓW B1400 1,4 t
2002
74871283
WE237AC
1 200,00
33.
Przyczepa skrzyniowa NIEWIADÓW BD752413H
2005
74871298
WE721AF
1 000,00
34.
Przyczepa skrzyniowa NIEWIADÓW 1430HT
2003
74871285
WE629AC
1 500,00
35.
Przyczepa Teknamotor Skorpion 120 SD rębak do gałęzi
2005
54051306
WE295AK
12 700,00
36.
Przyczepa Teknamotor Skorpion 250 SDT rębak do gałęzi
2009
5401381
WE907AK
29 500,00
2
Środki trwałe można oglądać na terenie byłego Zakładu Zieleni w Warszawie przy ul. Lirowej 42 po uprzednim telefonicznym uzgodnieniu godziny oględzin. Ofertę zawierającą nazwę
środka trwałego i oferowaną cenę należy złożyć w zamkniętej kopercie z dopiskiem " Oferta na zakup (nazwa środka trwałego, nr rej. )”, odrębnie na każdy pojazd, sprzęt, w osobnej
kopercie, w sekretariacie MPRO Sp. z o. o. (Warszawa ul. J. J. Rostafińskich 1), w terminie do 02.02.2015 r. do godziny 12:00. Otwarcie ofert i wybór najkorzystniejszej oferty nastąpi w
dniu 02.02.2015 r. o godz. 13:00, przy czym wybór ten nie będzie ostateczny.
MPRO Sp. z o.o. zastrzega, że pracownicy oraz byli pracownicy Spółki objęci Porozumieniem z dnia 15 września 2014 r. mają pierwszeństwo zakupu w/w środków trwałych w
przypadku złożenia w terminie trzech dni od dnia wyboru najkorzystniejszych ofert w dnu 02.02.2015 r. ich ofert dodatkowych przewyższających o co najmniej 100,00 zł cenę
poszczególnej oferty wybranej poprzednio jako najkorzystniejsza. Możliwość złożenia ofert dodatkowych dotyczy dotychczasowych ofert najkorzystniejszych złożonych przez osoby
trzecie nie będące pracownikami lub byłymi pracownikami Spółki, objętymi Porozumieniem z dnia 15 września 2014 r.
Najkorzystniejszą ofertę wybraną w dniu 02.02.2014 r. będzie uważać się za przyjętą, jeżeli pracownicy lub byli pracownicy MPRO Sp. z o.o. objęci Porozumieniem z dnia 15 września
2014 r. nie złożą ofert dodatkowych na dany środek trwały, przewyższających cenę dotychczasowej najkorzystniejszej oferty w terminie trzech dni roboczych od dnia otwarcia ofert.
Miejskie Przedsiębiorstwo Robót Ogrodniczych Sp. z o.o. nie ponosi odpowiedzialności za braki i wady ukryte oraz zastrzega sobie prawo unieważnienia konkursu ofert w całości lub
w części bez podania przyczyn.
Kontakt MPRO Sp. z o.o. : Biuro Administracji: Krzysztof Żakowicz tel. 696 422 922; Henryka Gańko tel. (22) 565 21 56, 607 907 024 [email protected]
3