Instrukcja ILuma NT_PT

Transkrypt

Instrukcja ILuma NT_PT
Ostatnio zapisany przez Susek DomowyA OBSŁUGI
MONTAŻU
INSTRUKCJA
Oprawa awaryjna ILUMA
TYP – AWLN lub AWLP
PRZECZYTAJ
Przed rozpoczęciem montażu należy uważnie przeczytać instrukcję. Instrukcja zawiera ważne
informacje dotyczące montażu, eksploatacji i konserwacji oprawy oświetlenia awaryjnego.
WSKAZÓWKI OGÓLNE:
1. Oprawa powinna być zamontowana przez wykwalifikowanego instalatora.
2. Instalacja elektryczna musi być wykonana zgodnie z aktualnie obowiązującymi normami
3. Niewłaściwe podłączenie, samodzielne przeróbki lub wykorzystanie oprawy do celów innych niż
jest przeznaczona może spowodować utratę gwarancji.
4. Przed rozpoczęciem instalacji należy odłączyć napięcie zasilające.
5. Oprawa posiada I klasę ochronności, dlatego bezwzględnie musi być uziemiona.
PODŁĄCZENIE ZASILANIA
Napięcie zasilania jest określone na etykiecie umieszczonej na obudowie. Kostka połączeniowa posiada
oznaczenia przewodów zasilających i komunikacyjnych (jeżeli występują).
INSTRUKCJA
DANE TECHNICZNE:
Zasilanie
Autonomia
Źródło światła
wymienialny
Zaciski przyłączeniowe
: 230V AC lub 220V DC ,110VDC lub 24VDC
: 1 lub 3 godziny (str.2)
: panel LED-15,18,38,42,55,56,W
: n 3 lub 4x do 4mm²
Czas ładowania
Temperatura otoczenia (ta)
Akumulator
wymienialny
Klasa ochrony
Klasa szczelności
Zgodność z normą
:
:
:
:
:
:
24 godziny
0°C - 40°C
NiCd lub NiMh HT 3,6V - 1,5; 2,5; 4; 4,5Ah
I
IP 40
PN-EN 60598-2-22,
PN-EN 1838
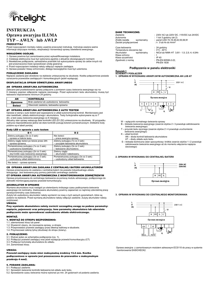
Podłączenia w panelu elektroniki
Rysunek 1
SCHEMATY PODŁĄCZEŃ
1. OPRAWA W WYKONANIU AWARYJNYM AUTONOMICZNA AN LUB AT
EKSPLOATACJA OPRAW OŚWIETLENIA AWARYJNEGO
AN OPRAWA AWARYJNA AUTONOMICZNA
Zalecane jest przetestowanie oprawy połączone z pomiarem czasu świecenia awaryjnego raz na
6 miesięcy poprzez odłączenie napięcia sieciowego. Przed wykonaniem testu akumulatory muszą być
ładowane nieprzerwanie minimum 24 godziny.
AN
Zgaszona
Świeci
KONTROLKA
Brak zasilania lub uszkodzona ładowarka
Obecność zasilania, ładowarka sprawna
AT OPRAWA AWARYJNA AUTONOMICZNA Z AUTO TESTEM
Oprawa w wersji z auto testem jest wyposażona w układ autonomicznej kontroli. Monitorowany jest
stan świetlówki, układu elektronicznego i akumulatora. Testy funkcjonalne wykonywane są co 7
dni, a test czasu świecenia awaryjnego co 6 miesięcy.
Aktualny stan oprawy wskazują dwie kontrolki LED (D1,D2) umieszczone na obudowie. W przypadku
wykrycia nieprawidłowości jedna lub dwie kontrolki pulsują kolorem pomarańczowym. Dokładne kody
podane są w tabeli poniżej.
Kody LED w oprawie z auto testem
D1
Zielony pulsujący (3x co 3 sek):
– oprawa w trakcie testu.
Zielony ciągły świeci po teście przez 24h
– oprawa sprawna.
Pomarańczowy pulsujący (1x co 3 sek):
– uszkodzona świetlówka.
Pomarańczowy pulsujący (2x co 3 sek):
– zbyt krótki czas świecenia awaryjnego.
Pomarańczowy pulsujący (3x co 3 sek):
– uszkodzony układ elektroniczny.
Nie świeci – oprawa sprawna
D2
Nie świeci:
– praca awaryjna oprawy.
Zielony pulsujący (1x co 3 sek):
– początek ładowania akumulatora.
Zielony pulsujący (3x co 3 sek):
– ładowanie akumulatora.
Zielony ciągły:
– akumulator naładowany.
Pomarańczowy pulsujący (3x co 3 sek):
– uszkodzony układ ładowania.
W – wyłącznik normalnego świecenia oprawy
B – blokada świecenia awaryjnego (zwarcie styków 2 i 3 powoduje zablokowanie
świecenia awaryjnego)
T – przycisk testu ręcznego (zwarcie styków 2 i 4 powoduje uruchomienie
świecenia awaryjnego)
K – układ kontroli:
AN – dioda kontroli ładowania akumulatora
AT – diody układu auto testu
S – blokada techniczna (stan spoczynkowy- krótkie zwarcie styków 1 i 2 powoduje
zablokowanie świecenia awaryjnego aż do momentu włączenia napięcia
sieciowego)
2. OPRAWA W WYKONANIU DO CENTRALNEJ BATERII
CB OPRAWA AWARYJNA ZASILANA Z CENTRALNEJ BATERII AKUMULATORÓW
Oprawa przeznaczona do zasilania z centralnej baterii nie posiada indywidualnego układu
testującego. Jest testowana przy pomocy jednostki centralnego zasilania
CT OPRAWA AWARYJNA AUTONOMICZNA Z MONITOROWANIEM ZEWNĘTRZNYM
Oprawa przystosowana do centralnego testowania za pomocą modułu adresowego, podłączonego do
jednostki monitorującej poprzez przewód komunikacyjny.
AKUMULATOR W OPRAWIE
Wymiana akumulatora musi nastąpić po stwierdzeniu krótszego czasu podtrzymania świecenia
awaryjnego niż nominalny. Zastosowane akumulatory powinny zapewniać co najmniej czteroletnią pracę
oprawy(nominalny czas świecenia).
Zużyty lub uszkodzony akumulator należy wymienić na nowy o tych samych parametrach, które są
podane na etykiecie. Przed wymianą akumulatora należy odłączyć zasilanie. Zużyty akumulator należy
zutylizować.
UWAGA:
Przy wymianie akumulatora należy zwrócić szczególną uwagę na podane parametry:
napięcie, pojemność oraz polaryzację. Inne parametry akumulatora lub odwrotnie
podłączenie może spowodować uszkodzenie układu elektronicznego.
3. OPRAWA W WYKONANIU DO CENTRALNEGO MONITOROWANIA
MONTAŻ.
1. MONTAŻ DO STROPU BEZPOŚREDNIO:
1.1. zdemontować klosz lub panel .
1.2. Wywiercić otwory, do mocowania oprawy, w stropie .
1.3. Przeprowadzić przewód zasilający przez dławicę kablową w obudowie.
1.4. Przymocować osłonę tylną (obudowę) do stropu (ściany).
2. PODŁĄCZENIE:
3.1. Wybrać jeden ze schematów podłączenia (rys. 1).
3.2. Podłączyć przewód zasilający oraz jeżeli występuje przewód komunikacyjny (CT)
3.3. Podłączyć końcówkę akumulatora do układu.
3.4. Zamontować klosz.
UWAGA:
Przewód zasilający może mieć maksymalną średnicę 13.4 mm. Kostka
podłączeniowa w oprawie jest przeznaczona do przewodów o maksymalnym
przekroju 4 mm2.
5. PODANIE ZASILANIA:
5.1. Podłączyć zasilanie.
5.1 Sprawdzić świecenie kontrolki ładowania lub układu auto testu.
5.2. Sprawdzenie czasu świecenia można wykonać po min. 24 godzinach od podania zasilania.
Oprawa awaryjna z zamontowanym modułem adresowym ECS110 do pracy w systemie
monitorowania EASICHECK2.
Ostatnio zapisany przez Susek DomowyA OBSŁUGI
INSTRUKC
OPRAWA OŚWIETLENIA
O
AWARYJNEGO
ILUMA – AWLN ; AWNP
Lp.
Typ oprawy1
1.
2.
3.
4.
5.
6.
7.
8.
9.
10.
11.
12.
13.
14.
15.
16.
17.
18.
19.
20.
21.
22.
23.
24.
25.
26.
27.
28.
29.
30.
31.
32.
33.
34.
35.
36.
37.
38.
39.
40.
41.
42.
43.
44.
AWLP-K60/AN/1(3)
K60/AN/1(3)
AWLP-K60/AT/1(3)
K60/AT/1(3)
AWLP-K60/CT/1(3)
K60/CT/1(3)
AWLP-K60/CB
K60/CB
AWLP-K40/AN
K40/AN/1(3)
AWLP-K40/AT/1(3)
K40/AT/1(3)
AWLP-K40/CT/1(3)
K40/CT/1(3)
AWLP-K40/CB
K40/CB
AWLP-P60/AN
P60/AN/1(3)
AWLP-P60/AT/1(3)
P60/AT/1(3)
AWLP-P60/CT/1(3)
P60/CT/1(3)
AWLP-P60/CB
P60/CB
AWLP-P40/AN/1(3)
AN/1(3)
AWLP-P40/AT/1(3)
P40/AT/1(3)
AWLP-P40/CT/1(3)
P40/CT/1(3)
AWLP-P40/CB
P40/CB
AWLP-K20/AN/1(3)
AN/1(3)
AWLP-K20/AT/1(3)
/AT/1(3)
AWLP-K20/CT/1(3)
/CT/1(3)
AWLP-K20
K20/CB
AWLN-K60/AN/1(3)
/AN/1(3)
AWLN-K60/AT/1(3)
/AT/1(3)
AWLN-K60/CT/1(3)
/CT/1(3)
AWLN-K60
K60/CB
AWLN-K40/AN/1(3)
40/AN/1(3)
AWLN-K40/AT/1(3)
40/AT/1(3)
AWLN-K40/CT/1(3)
40/CT/1(3)
AWLN-K40/CB
40/CB
AWLN-P60/AN/1(3)
/AN/1(3)
AWLN-P60/AT/1(3)
/AT/1(3)
AWLN-P60/CT/1(3)
/CT/1(3)
AWLN-P60
60/CB
AWLN-P40/AN/1(3)
P40/AN/1(3)
AWLN-P40/AT/1(3)
P40/AT/1(3)
AWLN-P40/CT/1(3)
P40/CT/1(3)
AWLN-P40/CB
P40/CB
AWLN-K20/AN/1(3)
K20/AN/1(3)
AWLN-K20/AT/1(3)
K20/AT/1(3)
AWLN-K20/CT/1(3)
K20/CT/1(3)
AWLN-K20/CB
K20/CB
AWLP-R20/AN/1(3)
/AN/1(3)
AWLP-R20/AT/1(3)
/AT/1(3)
AWLP-R20/CT/1(3)
/CT/1(3)
AWLP-R20
20/CB
Moc
[W]
56
38
56
38
18
56
38
56
38
18
18
Strumień
świetlny(neutralny)
sieć/awaria [lm] 2
3650/ 346
-„-„3650/3650
2450/410
-„-„2450/2450
4300/410
-„-„4300/4300
2900/419
-„-„2900/2900
1090/249
-„-„1090/1090
3650/387
-„-„3650/3650
2450/346
-„-„2450/2450
4300/410
-„-„4300/4300
2900/419
-„-„2900/2900
1090/249
-„-„1090/1090
870/255
-„-„870/870
Czas
świec.
[h]
1(3)
1(3)
1(3)
1(3)
1(3)
1(3)
1(3)
1(3)
1(3)
1(3)
1(3)
1(3)
1(3)
1(3)
1(3)
1(3)
1(3)
1(3)
1(3)
1(3)
1(3)
1(3)
1(3)
1(3)
1(3)
1(3)
1(3)
1(3)
1(3)
1(3)
1(3)
1(3)
1(3)
-
Wymiary
długość/szeroko
ść/szerokość/wys.[mm]
595/595/9,6(10,5)
1195/295/9,6(10,5)
301/301/9,6
602/602/60
1202/302/60
308
308/308/60
186(152)/47
¹ - oznaczenia:
- 4 litera – rodzaj mocowania:
- P - oprawa podtynkowa
- N - oprawa natynkowa
- 5 litera – kształt powierzchni świecącej:
- K - kwadrat; P - prostokąt; R – okrąg; S-soczewka;
soczewka;
- AN oprawa autonomiczna (test ręczny);
czny); AT oprawa autonomiczna z autotestem; CT oprawa autonomiczna
do centralnego testu; CB oprawa do centralnej baterii .
² - strumień świetlny dla temperatury barwowej neutralnej „N” – 4100K.
Możliwe
liwe wykonanie opraw o innej temperaturze barwowej:
- „D” – 5600K
- „W” – 3200K
³ - waga opraw z modułem awaryjnym i zasilaczem - w nawiasie moduł awaryjny 3h.
WYKONANIE:
Oprawa awaryjna składa się z modułu awaryjnego, zasilacza LED, opcjonalnie modułu adresowego, umieszczonych w oddzielnej obudowie , tworzywo sztuczne lub
malowany metal) oraz źródła światła
wiatła w postaci diód LED małej mocy. Powierzchnia świecąca z białego matowego tworzywa sztucznego,
nego, o różnych rozmiarach i
kształtach, którego rama (pierścień)) wykonana jest z aluminium lub przezroczysta soczewka.
Wymiary obudowy:
wy:
257x12
Intelight Sp. z o.o.
Ul. Rydygiera 8
01-793 Warszawa
www.intelight.pl
Waga 3
[kg]
4,06(4,16)
4,09(4,19)
4,14(4,24)
3,83
4,06(4,16)
4,09(4,19)
4,14(4,24)
3,83
4,06(4,16)
4,09(4,19)
4,14(4,24)
3,83
4,06(4,16)
4,09(4,19)
4,14(4,24)
3,83
1,95(2,05)
1,98(2,08)
2,03(2,13)
1,72
5,45(5,55)
5,48(5,58)
5,55(5,65)
5,17
5,45(5,55)
5,48(5,58)
5,55(5,65)
5,17
5,65(5,75)
5,68(5,78)
5,75(5,85)
5,35
5,65(5,75)
5,68(5,78)
5,75(5,85)
5,35
2,83(2,93)
2,88(2,98)
2,95(3,05)
2,54
3,30(3,80)
3,33(3,83)
3,38(3,88)
3,00