załącznik nr 6 - eko

Transkrypt

załącznik nr 6 - eko
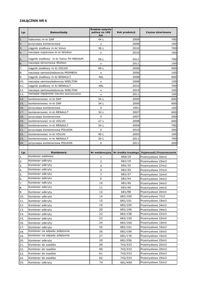
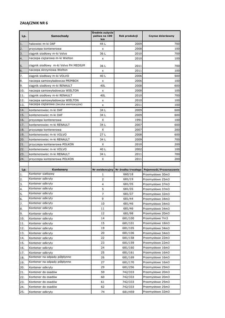
ZAŁĄCZNIK NR 6
Lp.
Samochody
1.
hakowiec m-ki DAF
2.
przyczepa kontenerowa
3.
ciągnik siodłowy m-ki Volvo
4.
naczepa cięŜarowa m-ki Wielton
Średnie zuŜycie
paliwa na 100
km
Rok produkcji
Czynsz dzierŜawny
44 L
2009
700
x
2008
100
36 L
2010
700
x
2010
100
5.
ciągnik siodłowy m-ki Volvo FH MEDIUM
36 L
2011
700
6.
naczepa skrzyniowa Wielton
x
2011
100
7.
ciągnik siodłowy m-ki VOLVO
40 L
2006
500
8.
naczepa samowyładowcza PRIMBOX
9.
ciągnik siodłowy m-ki RENAULT
10.
naczepa samowyładowcza WIELTON
11.
ciągnik siodłowy m-ki RENAULT
12.
13.
naczepa samowyładowcza WIELTON
naczepa cięŜarowa (beczka asenizacyjna)
14.
15.
16.
przyczepa kontenerowa
17.
kontenerowiec m-ki RENAULT
18.
przyczepa kontenerowa
19.
x
2006
100
40L
2008
600
x
2008
100
40L
2010
700
x
2010
100
x
2011
100
kontenerowiec m-ki DAF
34 L
2009
600
kontenerowiec m-ki DAF
34 L
2009
600
100
X
1991
34 L
2007
600
X
2007
200
kontenerowiec m-ki VOLVO
27 L
2008
600
20.
kontenerowiec m-ki RENAULT
34 L
2009
700
21.
przyczepa kontenerowa POLKON
X
2010
200
22.
kontenerowiec m-ki VOLVO
40 L
2002
100
23.
kontenerowiec m-ki RENAULT
34 L
2011
700
24.
przyczepa kontenerowa POLKON
X
2011
200
Lp.
Kontenery
Nr ewidencyjny Nr środka trwałego Pojemność/Przeznaczenie
1.
Kontener siatkowy
1
660/18
Przemysłowe 30m3
2.
Kontener odkryty
2
681/19
Przemysłowe 25m3
3.
Kontener odkryty
4
681/35
Przemysłowe 37m3
4.
Kontener odkryty
5
681/35
Przemysłowe 37m3
5.
Kontener odkryty
7
681/37
Przemysłowe 32m3
6.
Kontener odkryty
9
681/44
Przemysłowe 34m3
7.
Kontener odkryty
10
681/46
Przemysłowe 34m3
8.
Kontener odkryty
11
681/46
Przemysłowe 34m3
9.
Kontener odkryty
12
681/98
Przemysłowe 20m3
10.
Kontener odkryty
14
681/100
11.
Kontener odkryty
15
681/101
Przemysłowe 18m3
12.
Kontener odkryty
19
681/105
Przemysłowe 34m3
13.
Kontener odkryty
20
681/106
Przemysłowe 34m3
14.
Kontener odkryty
22
681/158
Przemysłowe 22m3
15.
Kontener odkryty
23
681/159
Przemysłowe 22m3
16.
Kontener odkryty
24
681/160
Przemysłowe 16m3
17.
Kontener odkryty
25
681/161
Przemysłowe 16m3
18.
Kontener na odpady półpłynne
26
681/169
Przemysłowe 16m3
19.
Kontener na odpady półpłynne
27
681/170
Przemysłowe 16m3
20.
Kontener odkryty
29
681/256
Przemysłowe 25m3
21.
Kontener do osadów
59
742/333
Przemysłowe 20m3
22.
Kontener do osadów
60
742/333
Przemysłowe 20m3
23.
Kontener do osadów
61
742/333
Przemysłowe 25m3
24.
Kontener do osadów
62
742/333
Przemysłowe 25m3
25.
Kontener odkryty
74
681/459
Przemysłowe 32m3
Przemysłowe 7m3
Przemysłowe 32m3
26.
Kontener odkryty
75
681/458
27.
Kontener odkryty
86
681/558
Przemysłowe 31m3
28.
Kontener odkryty
85
681/557
Przemysłowe 31m3
29.
Kontener odkryty
90
681/587
Przemysłowe 32m3
30.
Kontener odkryty
91
681/583
Przemysłowe 32m3
31.
Kontener odkryty
92
681/584
Przemysłowe 32m3
32.
Kontener odkryty
93
681/585
Przemysłowe 32m3
33.
Kontener odkryty
94
681/586
Przemysłowe 32m3
34.
Kontener odkryty
95
681/582
Przemysłowe 32m3
35.
Kontener odkryty
96
681/590
Przemysłowe 34m3
36.
Kontener odkryty
97
681/593
Przemysłowe 32m3
37.
Kontener odkryty
98
681/591
Przemysłowe 34m3
38.
Kontener odkryty
99
681/594
Przemysłowe 32m3
39.
Kontener odkryty
100
681/595
Przemysłowe 34m3
40.
Kontener odkryty
104
681/608
Przemysłowe 34m3
41.
Kontener odkryty
105
681/609
Przemysłowe 34m3
42.
Kontener odkryty
106
681/610
Przemysłowe 34m3
43.
Kontener odkryty
107
681/611
Przemysłowe 34m3
44.
Kontener odkryty
111
681/663
Przemysłowe 32m3
45.
Kontener odkryty
112
681/664
Przemysłowe 32m3
46.
Kontener odkryty
113
681/665
Przemysłowe 32m3
47.
Kontener odkryty
114
681/666
Przemysłowe 32m3
48.
Kontener odkryty
115
681/667
Przemysłowe 32m3
49.
Kontener odkryty
116
681/668
Przemysłowe 32m3
50.
Kontener odkryty
117
681/683
Przemysłowe 34m3
51.
Kontener odkryty
118
681/684
Przemysłowe 34m3
52.
Kontener odkryty
119
681/685
Przemysłowe 34m3
53.
Kontener odkryty
120
681/686
Przemysłowe 34m3
54.
Kontener odkryty
6
681/37
Inne 32m3
55.
Kontener odkryty
8
681/44
Inne 34m3
56.
Kontener odkryty
87
681/572
Inne 34m3
57.
Kontener odkryty
88
681/573
Inne 34m3
58.
Kontener odkryty
89
681/574
Inne 34m3
Usługa w zakresie
Ogółem km do przejechania
średnio na miesiąc
km-ogółem
przyjęcie ładunku odpadów - przewóz w miejsce zagospodarowania zdanie ładunku odpadów
odpady zgromadzone na terenach zakładów zagospodarowania Zamawiającego
do przewiezienia:
>do zakładów zagospodarowania Zamawiającego
100 000
>do zakładów zewnętrznych wskazanych przez Zamawiającego
odpady zmieszane, odpady wytworzone, odpady gromadzone selektywnie
Zakładany czas załadunku; 60 minut
Zakładany czas rozładunku; 60 minut
W przypadku gdy załadunek i rozładunek transportowanego ładunku odpadów bez winy
Wykonawcy przekraczać będzie w/w czasy, Wykonawcy przysługuje wynagrodzenie za przestój w
wysokości 40 zł netto za każdą rozpoczętą godzinę przestoju.
Czas załadunku i wyładunku do potwierdzenia na dokumencie wewnętrznym przez osobę
wydającą/przyjmującą ładunek odpadu