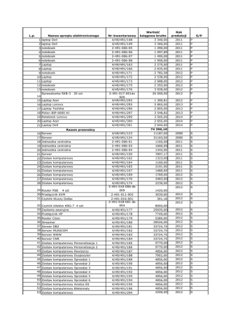
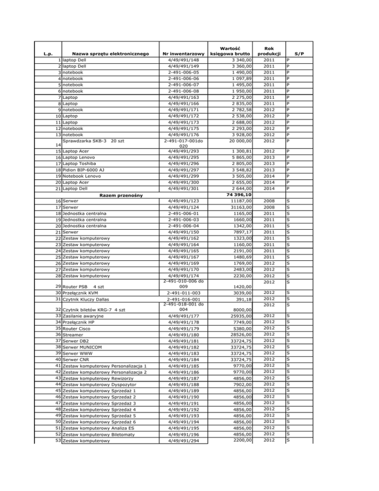
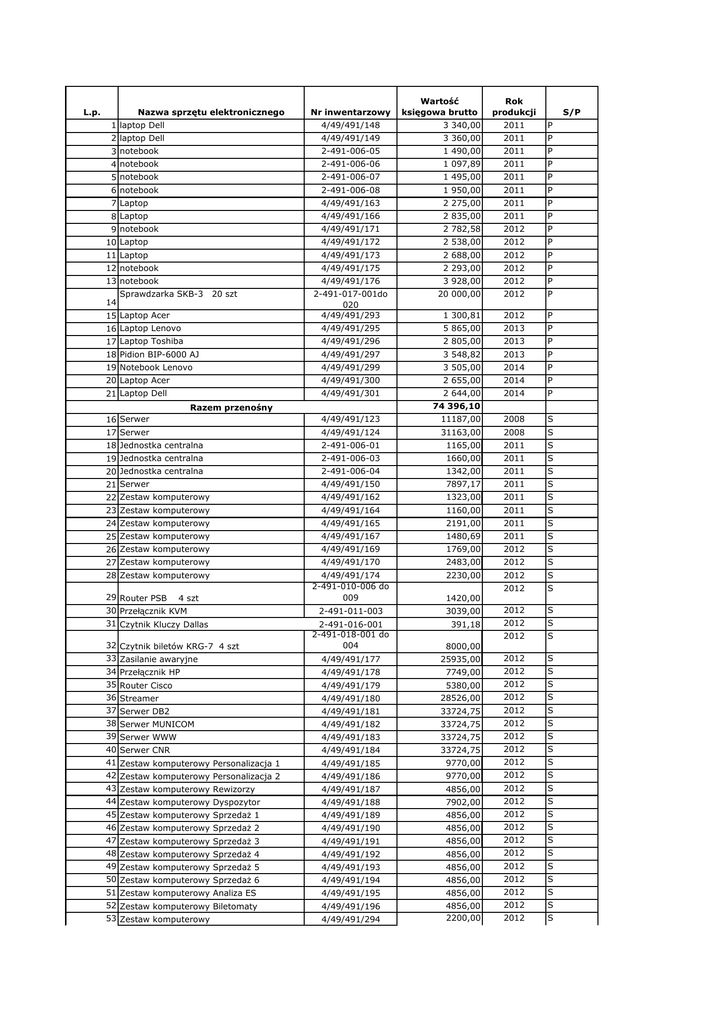
L.p. Nazwa sprzętu elektronicznego Nr inwentarzowy Wartość

Transkrypt

L.p. Nazwa sprzętu elektronicznego Nr inwentarzowy Wartość
L.p.
Nazwa sprzętu elektronicznego
1 laptop Dell
Nr inwentarzowy
4/49/491/148
Wartość
księgowa brutto
3 340,00
Rok
produkcji
S/P
2011
P
P
2 laptop Dell
4/49/491/149
3 360,00
2011
3 notebook
2-491-006-05
1 490,00
2011
P
4 notebook
2-491-006-06
1 097,89
2011
P
5 notebook
2-491-006-07
1 495,00
2011
P
6 notebook
2-491-006-08
1 950,00
2011
P
7 Laptop
4/49/491/163
2 275,00
2011
P
8 Laptop
4/49/491/166
2 835,00
2011
P
9 notebook
P
4/49/491/171
2 782,58
2012
10 Laptop
4/49/491/172
2 538,00
2012
P
11 Laptop
4/49/491/173
2 688,00
2012
P
12 notebook
4/49/491/175
2 293,00
2012
P
13 notebook
4/49/491/176
3 928,00
2012
P
20 000,00
2012
P
1 300,81
2012
P
P
14
Sprawdzarka SKB-3
20 szt
15 Laptop Acer
2-491-017-001do
020
4/49/491/293
16 Laptop Lenovo
4/49/491/295
5 865,00
2013
17 Laptop Toshiba
4/49/491/296
2 805,00
2013
P
18 Pidion BIP-6000 AJ
4/49/491/297
3 548,82
2013
P
19 Notebook Lenovo
4/49/491/299
3 505,00
2014
P
20 Laptop Acer
4/49/491/300
2 655,00
2014
P
21 Laptop Dell
4/49/491/301
2 644,00
2014
P
S
74 396,10
Razem przenośny
16 Serwer
4/49/491/123
11187,00
2008
17 Serwer
4/49/491/124
31163,00
2008
S
18 Jednostka centralna
2-491-006-01
1165,00
2011
S
19 Jednostka centralna
2-491-006-03
1660,00
2011
S
20 Jednostka centralna
2-491-006-04
1342,00
2011
S
21 Serwer
4/49/491/150
7897,17
2011
S
22 Zestaw komputerowy
4/49/491/162
1323,00
2011
S
23 Zestaw komputerowy
4/49/491/164
1160,00
2011
S
24 Zestaw komputerowy
4/49/491/165
2191,00
2011
S
25 Zestaw komputerowy
4/49/491/167
1480,69
2011
S
26 Zestaw komputerowy
4/49/491/169
1769,00
2012
S
27 Zestaw komputerowy
4/49/491/170
2483,00
2012
S
28 Zestaw komputerowy
4/49/491/174
2-491-010-006 do
009
2230,00
1420,00
2-491-011-003
3039,00
2012
S
391,18
2012
S
2012
S
2012
S
29 Router PSB 4 szt
30 Przełącznik KVM
31 Czytnik Kluczy Dallas
32 Czytnik biletów KRG-7 4 szt
33 Zasilanie awaryjne
34 Przełącznik HP
35 Router Cisco
36 Streamer
37 Serwer DB2
38 Serwer MUNICOM
39 Serwer WWW
40 Serwer CNR
41 Zestaw komputerowy Personalizacja 1
42 Zestaw komputerowy Personalizacja 2
43 Zestaw komputerowy Rewizorzy
44 Zestaw komputerowy Dyspozytor
45 Zestaw komputerowy Sprzedaż 1
46 Zestaw komputerowy Sprzedaż 2
2-491-016-001
2-491-018-001 do
004
8000,00
2012
S
2012
S
4/49/491/177
25935,00
4/49/491/178
7749,00
2012
S
4/49/491/179
5380,00
2012
S
4/49/491/180
28526,00
2012
S
4/49/491/181
33724,75
2012
S
4/49/491/182
33724,75
2012
S
4/49/491/183
33724,75
2012
S
4/49/491/184
33724,75
2012
S
4/49/491/185
9770,00
2012
S
4/49/491/186
9770,00
2012
S
4/49/491/187
4856,00
2012
S
4/49/491/188
7902,00
2012
S
4/49/491/189
4856,00
2012
S
4/49/491/190
4856,00
2012
S
S
47 Zestaw komputerowy Sprzedaż 3
48 Zestaw komputerowy Sprzedaż 4
49 Zestaw komputerowy Sprzedaż 5
50 Zestaw komputerowy Sprzedaż 6
4/49/491/191
4856,00
2012
4/49/491/192
4856,00
2012
S
4/49/491/193
4856,00
2012
S
4/49/491/194
4856,00
2012
S
51 Zestaw komputerowy Analiza ES
52 Zestaw komputerowy Biletomaty
53 Zestaw komputerowy
4/49/491/195
4856,00
2012
S
4/49/491/196
4856,00
2200,00
2012
S
2012
S
4/49/491/294
Razem stacjonarny
Ogółem sprzęt elektroniczny
355736,04
430132,14