Rok 3 semestr zimowy

Transkrypt

Rok 3 semestr zimowy
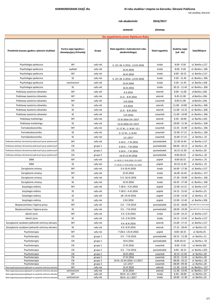
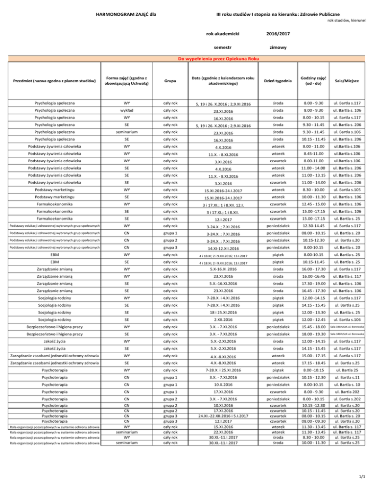
HARMONOGRAM ZAJĘĆ dla
III roku studiów I stopnia na kierunku: Zdrowie Publiczne
rok studiów, kierunek
rok akademicki
2016/2017
semestr
zimowy
Do wypełnienia przez Opiekuna Roku
Forma zajęć (zgodna z
obowiązującą Uchwałą)
Grupa
Data (zgodnie z kalendarzem roku
akademickiego)
Dzień tygodnia
Godziny zajęć
(od - do)
Psychologia społeczna
WY
cały rok
5, 19 i 26. X.2016 ; 2,9.XI.2016
środa
8.00 - 9.30
ul. Bartla s.117
Psychologia społeczna
wykład
cały rok
23.XI.2016
środa
8.00 - 9.30
ul. Bartla s. 106
Psychologia społeczna
WY
cały rok
16.XI.2016
środa
8.00 - 10.15
ul. Bartla s.117
Psychologia społeczna
SE
cały rok
5, 19 i 26. X.2016 ; 2,9.XI.2016
środa
9.30 - 11.45
ul. Bartla s. 206
Psychologia społeczna
seminarium
cały rok
23.XI.2016
środa
9.30 - 11.45
ul. Bartla s.106
Psychologia społeczna
SE
cały rok
16.XI.2016
środa
10.15 - 11.45
ul. Bartla s. 206
Podstawy żywienia człowieka
WY
cały rok
4.X.2016
wtorek
8.00 - 11.00
ul.Bartla s.106
Podstawy żywienia człowieka
WY
cały rok
11.X. - 8.XI.2016
wtorek
8.45-11.00
ul.Bartla s.106
Podstawy żywienia człowieka
WY
cały rok
3.XI.2016
czwartek
8.00-11.00
ul.Bartla s.106
Podstawy żywienia człowieka
SE
cały rok
4.X.2016
wtorek
11.00 - 14.00
ul. Bartla s. 206
Podstawy żywienia człowieka
SE
cały rok
11.X. - 8.XI.2016
wtorek
11.00 - 13.15
ul. Bartla s. 206
Podstawy żywienia człowieka
SE
cały rok
3.XI.2016
czwartek
11.00 - 14.00
ul. Bartla s. 206
Podstawy marketingu
WY
cały rok
15.XI.2016-24.I.2017
wtorek
8.30 - 10.00
ul. Bartla s.105
Podstawy marketingu
SE
cały rok
15.XI.2016-24.I.2017
wtorek
10.00 - 11.30
ul. Bartla s. 106
Farmakoekonomika
WY
cały rok
3 i 17.XI.; 1 i 8.XII. 12.I.
czwartek
12.45 - 15.00
ul. Bartla s. 106
Farmakoekonomika
SE
cały rok
3 i 17.XI.; 1 i 8.XII.
czwartek
15.00 -17.15
ul. Bartla s. 106
Przedmiot (nazwa zgodna z planem studiów)
Sala/Miejsce
Farmakoekonomika
SE
cały rok
12.I.2017
czwartek
15.00 -17.15
ul. Bartla s. 25
Podstawy edukacji zdrowotnej wybranych grup społecznych
WY
cały rok
3-24.X. ; 7.XI.2016
poniedziałek
12.30-14.45
ul. Bartla s.117
Podstawy edukacji zdrowotnej wybranych grup społecznych
CN
grupa 1
3-24.X. ; 7.XI.2016
poniedziałek
08.00 - 10.15
ul. Bartla s. 20
Podstawy edukacji zdrowotnej wybranych grup społecznych
CN
grupa 2
3-24.X. ; 7.XI.2016
poniedziałek
10.15-12.30
ul. Bartla s.20
Podstawy edukacji zdrowotnej wybranych grup społecznych
CN
grupa 3
14.XI-12.XII.2016
poniedziałek
8.00-10.15
ul. Bartla s. 20
EBM
WY
cały rok
4 i 18.XI; 2 i 9.XII.2016; 13.I.2017
piątek
8.00-10.15
ul. Bartla s. 25
EBM
SE
cały rok
4 i 18.XI; 2 i 9.XII.2016; 13.I.2017
piątek
10.15-11.45
ul. Bartla s. 25
Zarządzanie zmianą
WY
cały rok
5.X-16.XI.2016
środa
16.00 - 17.30
ul. Bartla s.117
Zarządzanie zmianą
WY
cały rok
23.XI.2016
środa
16.00 -16.45
ul. Bartla s. 117
Zarządzanie zmianą
SE
cały rok
5.X.-16.XI.2016
środa
17.30 - 19.00
ul. Bartla s. 106
Zarządzanie zmianą
SE
cały rok
23.XI.2016
środa
16.45 - 17.30
ul. Bartla s. 106
Socjologia rodziny
WY
cały rok
7-28.X. i 4.XI.2016
piątek
12.00 -14.15
ul. Bartla s.117
Socjologia rodziny
SE
cały rok
7-28.X. i 4.XI.2016
piątek
14.15 - 15.45
ul. Bartla s.25
Socjologia rodziny
SE
cały rok
18 i 25.XI.2016
piątek
12.00 - 13.30
ul. Bartla s. 25
Socjologia rodziny
SE
cały rok
2.XII.2016
piątek
12.00 - 12.45
ul. Bartla s.106
Bezpieczeństwo i higiena pracy
WY
cały rok
3.X. - 7.XI.2016
poniedziałek
15.45 - 18.00
Sala 348 USzK ul. Borowska
Bezpieczeństwo i higiena pracy
SE
cały rok
3.X. - 7.XI.2016
poniedziałek
18.00 - 19.30
Sala 348 USzK ul. Borowska
Jakość życia
WY
cały rok
5.X.-2.XI.2016
środa
12.00 - 14.15
ul. Bartla s.117
Jakość życia
SE
cały rok
5.X.-2.XI.2016
środa
14.15 - 15.45
ul. Bartla s.117
Zarządzanie zasobami jednostki ochrony zdrowia
WY
cały rok
4.X.-8.XI.2016
wtorek
15.00 - 17.15
ul. Bartla s.117
Zarządzanie zasobami jednostki ochrony zdrowia
SE
cały rok
4.X.-8.XI.2016
wtorek
17.15 - 18.45
ul. Bartla s.25
Psychoterapia
WY
cały rok
7-28.X. i 25.XI.2016
piątek
8.00 -10.15
ul. Bartla 25
Psychoterapia
CN
grupa 1
3.X. - 7.XI.2016
poniedziałek
10.15 - 12.30
ul. Bartla s.11
Psychoterapia
CN
grupa 1
10.X.2016
poniedziałek
8.00-10.15
ul. Bartla s. 10
Psychoterapia
CN
grupa 1
17.XI.2016
czwartek
8.00 - 9.30
ul. Bartla 202
Psychoterapia
CN
grupa 2
3.X. - 7.XI.2016
poniedziałek
8.00 - 10.15
ul. Bartla s.202
Psychoterapia
Psychoterapia
Psychoterapia
Psychoterapia
CN
CN
CN
CN
WY
seminarium
WY
seminarium
grupa 2
grupa 2
grupa 3
grupa 3
cały rok
cały rok
cały rok
cały rok
10.XI.2016
17.XI.2016
24.XI.-22.XII.2016 i 5.I.2017
12.I.2017
15.XI.2016
22.XI.2016
30.XI.-11.I.2017
30.XI.-11.I.2017
czwartek
czwartek
czwartek
czwartek
wtorek
wtorek
środa
środa
10.15 -12.30
10.15 - 11.45
08.00 - 10.15
08.00 - 09.30
11.30 - 13.45
11.30 - 13.45
8.30 - 10.00
10.00 - 11.30
ul. Bartla s.20
ul. Bartla s.20
ul. Bartla s. 20
ul. Bartla s.20
ul. Bartla s. 117
ul. Bartla s. 117
ul. Bartla s.25
ul. Bartla s.25
Rola organizacji pozarządowych w systemie ochrony zdrowia
Rola organizacji pozarządowych w systemie ochrony zdrowia
Rola organizacji pozarządowych w systemie ochrony zdrowia
Rola organizacji pozarządowych w systemie ochrony zdrowia
1/1