zad - MiNI PW

Transkrypt

zad - MiNI PW
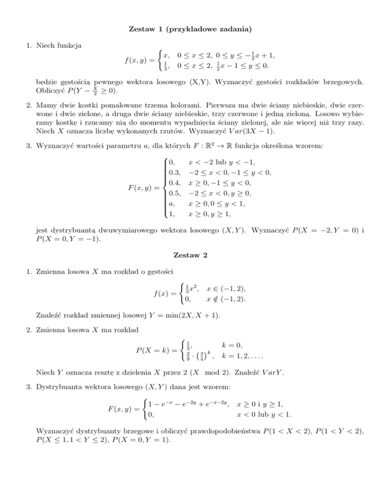
Zestaw 1 (przykladowe zadania)
1. Niech funkcja
(
x, 0 ≤ x ≤ 2, 0 ≤ y ≤ − 12 x + 1,
f (x, y) = 1
, 0 ≤ x ≤ 2, 12 x − 1 ≤ y ≤ 0.
3
bedzie
gestości
a, pewnego wektora losowego (X,Y). Wyznaczyć gestości
rozkladów brzegowych.
,
,
,
Obliczyć P (Y − X2 ≥ 0).
2. Mamy dwie kostki pomalowane trzema kolorami. Pierwsza ma dwie ściany niebieskie, dwie czerwone i dwie zielone, a druga dwie ściany niebieskie, trzy czerwone i jedna, zielona., Losowo wybieramy kostke, i rzucamy nia, do momentu wypadniecia
ściany zielonej, ale nie wiecej
niż trzy razy.
,
,
Niech X oznacza liczbe, wykonanych rzutów. Wyznaczyć V ar(3X − 1).
3. Wyznaczyć wartości parametru a, dla których F : R2 → R funkcja określona wzorem:

0,
x < −2 lub y < −1,





0.3, −2 ≤ x < 0, −1 ≤ y < 0,



0.4, x ≥ 0, −1 ≤ y < 0,
F (x, y) =

0.5, −2 ≤ x < 0, y ≥ 0,





a,
x ≥ 0, 0 ≤ y < 1,



1,
x ≥ 0, y ≥ 1,
jest dystrybuanta, dwuwymiarowego wektora losowego (X, Y ). Wyznaczyć P (X = −2, Y = 0) i
P (X = 0, Y = −1).
Zestaw 2
1. Zmienna losowa X ma rozklad o gestości
,
(
f (x) =
1 2
x,
3
0,
x ∈ (−1, 2),
x∈
/ (−1, 2).
Znaleźć rozklad zmiennej losowej Y = min(2X, X + 1).
2. Zmienna losowa X ma rozklad
(
P (X = k) =
1
,
3
2
·
9
3 k
4
k = 0,
, k = 1, 2, . . . .
Niech Y oznacza reszte, z dzielenia X przez 2 (X mod 2). Znaleźć V arY .
3. Dystrybuanta wektora losowego (X, Y ) dana jest wzorem:
(
1 − e−x − e−2y + e−x−2y , x ≥ 0 i y ≥ 1,
F (x, y) =
0,
x < 0 lub y < 1.
Wyznaczyć dystrybuanty brzegowe i obliczyć prawdopodobieństwa P (1 < X < 2), P (1 < Y < 2),
P (X ≤ 1, 1 < Y ≤ 2), P (X = 0, Y = 1).

Podobne dokumenty