Szkoła podstawowa 109, Wrocław ul. In ynierska 54

Transkrypt

Szkoła podstawowa 109, Wrocław ul. In ynierska 54
Projekt wykonawczy
instalacji elektrycznych - Szkoła podstawowa 109, Wrocław ul. Inżynierska 54
============================================================================
====
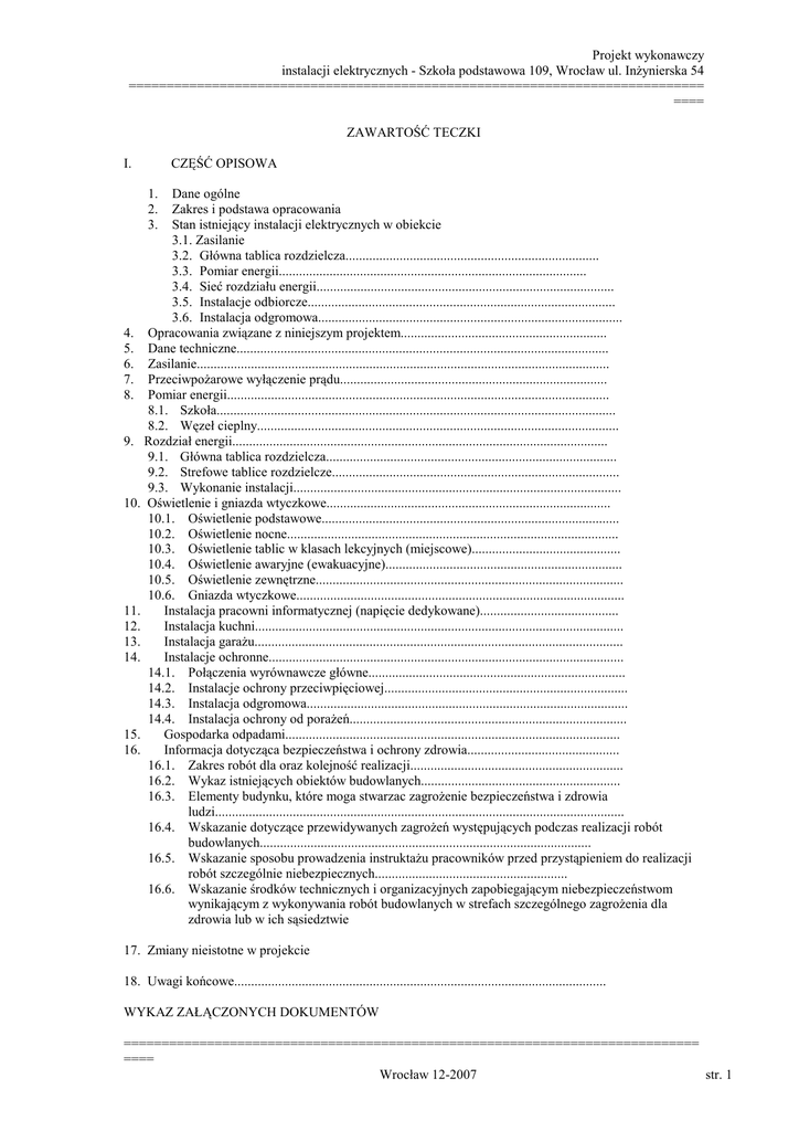
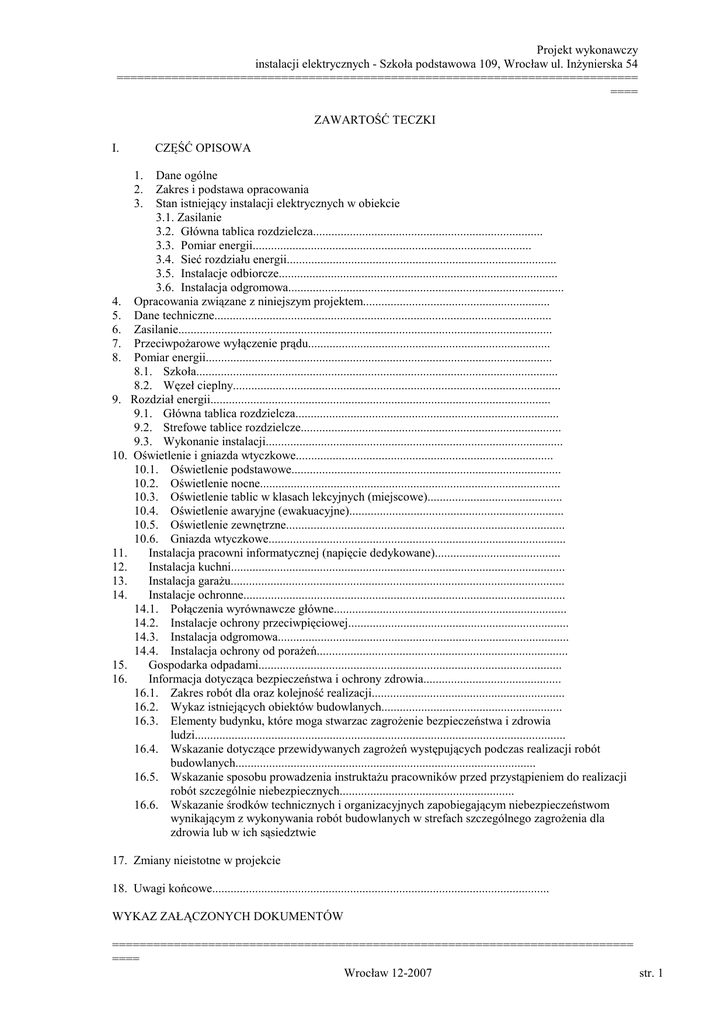
ZAWARTOŚĆ TECZKI
I.
CZĘŚĆ OPISOWA
1.
2.
3.
Dane ogólne
Zakres i podstawa opracowania
Stan istniejący instalacji elektrycznych w obiekcie
3.1. Zasilanie
3.2. Główna tablica rozdzielcza...........................................................................
3.3. Pomiar energii...........................................................................................
3.4. Sieć rozdziału energii........................................................................................
3.5. Instalacje odbiorcze...........................................................................................
3.6. Instalacja odgromowa..........................................................................................
4. Opracowania związane z niniejszym projektem.............................................................
5. Dane techniczne..............................................................................................................
6. Zasilanie..........................................................................................................................
7. Przeciwpożarowe wyłączenie prądu...............................................................................
8. Pomiar energii.................................................................................................................
8.1. Szkoła......................................................................................................................
8.2. Węzeł cieplny...........................................................................................................
9. Rozdział energii...............................................................................................................
9.1. Główna tablica rozdzielcza......................................................................................
9.2. Strefowe tablice rozdzielcze.....................................................................................
9.3. Wykonanie instalacji.................................................................................................
10. Oświetlenie i gniazda wtyczkowe....................................................................................
10.1. Oświetlenie podstawowe........................................................................................
10.2. Oświetlenie nocne..................................................................................................
10.3. Oświetlenie tablic w klasach lekcyjnych (miejscowe)............................................
10.4. Oświetlenie awaryjne (ewakuacyjne)......................................................................
10.5. Oświetlenie zewnętrzne...........................................................................................
10.6. Gniazda wtyczkowe.................................................................................................
11.
Instalacja pracowni informatycznej (napięcie dedykowane).........................................
12.
Instalacja kuchni.............................................................................................................
13.
Instalacja garażu.............................................................................................................
14.
Instalacje ochronne.........................................................................................................
14.1. Połączenia wyrównawcze główne............................................................................
14.2. Instalacje ochrony przeciwpięciowej........................................................................
14.3. Instalacja odgromowa...............................................................................................
14.4. Instalacja ochrony od porażeń..................................................................................
15.
Gospodarka odpadami...................................................................................................
16.
Informacja dotycząca bezpieczeństwa i ochrony zdrowia.............................................
16.1. Zakres robót dla oraz kolejność realizacji...............................................................
16.2. Wykaz istniejących obiektów budowlanych...........................................................
16.3. Elementy budynku, które moga stwarzac zagrożenie bezpieczeństwa i zdrowia
ludzi.........................................................................................................................
16.4. Wskazanie dotyczące przewidywanych zagrożeń występujących podczas realizacji robót
budowlanych..................................................................................................
16.5. Wskazanie sposobu prowadzenia instruktażu pracowników przed przystąpieniem do realizacji
robót szczególnie niebezpiecznych.........................................................
16.6. Wskazanie środków technicznych i organizacyjnych zapobiegającym niebezpieczeństwom
wynikającym z wykonywania robót budowlanych w strefach szczególnego zagrożenia dla
zdrowia lub w ich sąsiedztwie
17. Zmiany nieistotne w projekcie
18. Uwagi końcowe..............................................................................................................
WYKAZ ZAŁĄCZONYCH DOKUMENTÓW
============================================================================
====
Wrocław 12-2007
str. 1
Projekt wykonawczy
instalacji elektrycznych - Szkoła podstawowa 109, Wrocław ul. Inżynierska 54
============================================================================
====
A. Techniczne warunki przyłączenia do sieci EnergiaPro
B. Notatka służbowa z dnia 11.10.2007 r.
C. Notatka słuzbowa z dnia 04.12.2007 r.
II. CZĘŚĆ RYSUNKOWA
1E
2E
3E
4E
5E
6E
7E
8E
9E
10E
11E
12E
13E
14E
15E
16E
17E
18E
19E
20E
21E
22E
23E
24E
Schemat zasilania i pomiaru energii
Schemat głównej tablicy rozdzielczej
Piwnica – plan instalacji
Parter – plan instalacji
1. piętro – plan instalacji
2. piętro – plan instalacji
Dach – plan instalacji odgromowej
Schemat tablicy T-1.1
Schemat tablicy T-1.2
Schemat tablicy T-1.3
Schemat tablicy T-1.4
Schemat tablicy T-1.5
Schemat tablicy T 0.1
Schemat tablicy T 0.2
Schemat tablicy T 0.3
Schemat tablicy T 1.1
Schemat tablicy T 1.2
Schemat tablicy T 2.1
Schemat tablicy T 2.2
Schemat tablicy TK
Schemat tablicy TK-1
Schemat tablicy T 0.4
Elewacja tablicy głównej - TG
Elewacje tablic strefowych
============================================================================
====
Wrocław 12-2007
str. 2
Projekt wykonawczy
instalacji elektrycznych - Szkoła podstawowa 109, Wrocław ul. Inżynierska 54
============================================================================
====
OPIS TECHNICZNY – Instalacje elektryczne
1. Dane ogólne
1.1 Inwestor : Gmina Wrocław – Zarząd Obsługi Jednostek Miejskich
Wrocław ul. Gabrieli Zapolskiej 2/4
1.2 Obiekt :
Szkoła Podstawowa nr 109, ul. Inżynierska 109, Wrocław
1.3 Powierzchnia budynku
1.4 Kubatura budynku
:
:
1356,1 m²
16584 m3
1.5 Konstrukcja budynku
Fundamenty - konstrukcja żelbetowa wylewana na mokro.
Ściany zewnętrzne i wewnętrzne – prefabrykowany system WBL typ szkolny
Stropy - żelbetowe prefabrykowane system WBL typ szkolny.
Schody - żelbetowe prefabrykowane system WBL typ szkolny.
Stropodach – wentylowany na prefabrykowanym stropie systemu WBL ścianki ażurowe z cegły
pokryte żelbetowymi płytkami korytkowymi.
Wszystkie wymienione wyżej elementy konstrukcyjne budynku są w dobrym stanie technicznym.
Projektowane prace remontowe nie zagrażają konstrukcji budynku
2. Podstawa i zakres opracowania
Przedmiotem opracowania jest projekt budowlano-wykonawczy wymiany instalacji
elektrycznych związanych z zasilaniem odbiorników energii elektrycznej w Szkole Podstawowej
nr 109 we Wrocławiu przy ul. Inżynierskiej 54
Projekt opracowano na podstawie :
- umowy zawartej z Zamawiającym
- inwentaryzacji budowlanej do celów projektowych
- uzgodnień roboczych z Zamawiającym i Użytkownikiem
- obowiązujących przepisów i zasad wiedzy technicznej
Etapowanie robót
Roboty elektryczne przewidziane w niniejszym projekcie wykonywane będą w czterech
następujących etapach:
•
•
•
•
etap I – tablice rozdzielcze, WLZ, GLZ
etap II – instalacje elektryczne i teletechniczne w budynku oraz oświetlenie zewnętrzne
etap III – instalacje sali gimnastycznej z łącznikiem
instalacja odgromowa
Wymienione etapy będą mogły być realizowane w dowolnej kolejności niezależnie od siebie.
Dla odbiorców sali gimnastycznej wraz z łącznikiem przewidziano oddzielne tablice strefowe
zasilające odbiory pomieszczeń 1/6, 1/7. 1/8, 1/9.
============================================================================
====
Wrocław 12-2007
str. 3
Projekt wykonawczy
instalacji elektrycznych - Szkoła podstawowa 109, Wrocław ul. Inżynierska 54
============================================================================
====
3. Stan istniejący instalacji elektrycznych w obiekcie
3.1. Zasilanie
•
•
•
złącze kablowe ZK-3a na ścianie zewnętrznej budynku,
GLZ – 4 x ALY70 (TN-C),
odbiory energii zasilane ze złącza: szkoła, węzeł cieplny, mieszkania służbowe.
3.2. Główna tablica rozdzielcza
•
•
lokalizacja – sekretariat,
typ – wnękowa, zespół tablic wg systemu ET 75.
3.3. Pomiar
•
•
•
•
•
lokalizacja licznika – w tablicy głównej,
rodzaj pomiaru – półpośredni,
zabezpieczenia przedlicznikowe – 63A, w TG,
moc przyłączeniowa – 38 kW,
umowa sprzedaży –
3.4. Sieć rozdziału energii
•
•
tablice strefowe – podtynkowe, zabezpieczenie topikowe E27,
linie zasilające – w układzie sieciowym TN-C.
Część tablic strefowych w szkole została zmodernizowana w związku z sukcesywnie
przeprowadzanym remontem sanitariatów.
Dotyczy to tablic piętrowych w lewej części budynku (wszystkie kondygnacje) i tablicy
kuchni. Do tablic tych wykorzystano nowe zasilanie w układzie TN-S. Wszystkie tablice
piętrowe zasilane są jedną linią wyprowadzoną z dotychczasowej tablicy głównej.
Tablica kuchni zasilana jest linią wydzieloną 16 mm2, Cu.
Pracownia informatyczna oraz sala multimedialna zostały wyposażone w sieć komputerową
wraz z instalacją zasilającą poszczególne stanowiska komputerowe oraz tablice strefowe.
3.5. Instalacje odbiorcze
•
•
•
•
oświetlenie:
- klasy szkolne, korytarze – oprawy żarowe, zwieszakowe z rastrem „szkolnym”,
- sale gimnastyczne – oprawy żarowe, na stropie, niezapewnione normatywne
natężenie oświetlenia,
- kuchnia – oprawy jarzeniowe stropowe, zbyt małe natężenie oświetlenia,
- sala komputerowa (2. piętro) – oprawy jarzeniowe, sufitowe z odbłyśnikiem
białym, brak rastra ograniczającego luminancję dla tego typu pomieszczeń;
gniazda wtyczkowe – podtynkowe, w znacznym stopniu zużyte, nie wszystkie z kolcami
ochronnymi, nie zawsze o odpowiednim stopniu ochrony w odniesieniu do rodzaju
pomieszczenia,
oprzewodowanie – pod tynkiem, częściowo Al., częściowo Cu, linie dwuprzewodowe,
system ochrony od porażeń – zerowanie (układ sieciowy TN-C).
============================================================================
====
Wrocław 12-2007
str. 4
Projekt wykonawczy
instalacji elektrycznych - Szkoła podstawowa 109, Wrocław ul. Inżynierska 54
============================================================================
====
W sanitariatach uczniów oraz personelu, objętych remontem wg oddzielnego opracowania,
instalacje zostały już wykonane (w układzie sieciowym TN-S). Aktualnie zasilane są one z
istniejących tablic piętrowych.
Ochronę przeciwporażeniową stanowi samoczynne wyłączenie zasilania, w obwodach gniazd
wtyczkowych zastosowano wyłączniki różnicowo-prądowe.
3.6. Instalacja odgromowa
• siatka zwodów na dachu – zwody poziome wykonane drutem stalowym o średnicy 6 mm,
• przewody odprowadzające – DFe/Zn 6
• przewody uziemiające, - Dfe/Zn 6
• uziom – otokowy
Instalacja odgromowa jest sprawna , co potwierdzone jest posiadanym przez Użytkownika
aktualnym protokółem badania urządzenia piorunochronnego.
W ramach wymiany instalacji elektrycznych, wykonywanych w oparciu o niniejsze
opracowanie, należy zdemontować istniejący układ rozdzielczy budynku (linie zasilające,
tablice rozdzielcze) oraz osprzęt instalacyjny wraz z oprawami oświetleniowymi
wewnętrznymi i zewnętrznymi.
Linie zasilające tablicę kuchni oraz tablicę T 2.2 należy pozostawić. We wskazanym na planie
miejscu zamontować puszki natynkowe kwadratowe IP44 z zaciskami 25 mm2 do połączenia
istniejących kabli YKYżo5x16 ułożonych od obecnej głównej tablicy rozdzielczej z odcinkami
kabli jw. wyprowadzonymi z projektowanej tablicy głównej.
Instalacja węzła cieplnego, administrowanego przez Przedsiębiorstwo „Fortum”, pozostaje
bez zmian.
W projekcie przewidziano tablicę licznikową dla węzła cieplnego (pomiar rozliczeniowy).
4. Opracowania związane z niniejszym projektem
W obiekcie już zostały wykonane (bądź będą w najbliższej przyszłości) instalacje w
sanitariatach.
Roboty te ujęto w dokumentacji:
„Remont i przebudowa węzłów sanitarnych oraz pomieszczweń sanitarno-szatniowych w
Szkole Podstawowej nr 109 – Projekt Wykonawczy, etap I.”
• jw – etap II
• jw – etap III
Dokumentacja opracowana w listopadzie 2006r.
Autor: mgr inż. Stanisław Mroczek
•
5. Dane techniczne
•
•
•
•
•
•
napięcie – 400/230 V
moc zainstalowana obiektu - 126,7 kW
moc szczytowa obiektu – 47,0 kW
moc przyłączeniowa – 52 kW
układ sieci odbiorcy - TN-S
ochrona od porażeń - samoczynne wyłączenie zasilania
============================================================================
====
Wrocław 12-2007
str. 5
Projekt wykonawczy
instalacji elektrycznych - Szkoła podstawowa 109, Wrocław ul. Inżynierska 54
============================================================================
====
6. Zasilanie
• GLZ–YKYżo 5x50m2 – ułożona w rurze PCV na tynku w pomieszczeniach piwnicy
• miejsce przyłączenia do sieci EnergePro – istniejące złącze kablowe ZK-3a
• wprowadzenie linii zasilającej do TG – od dołu, przepust stropowy
W związku z planowanym przez Zamawiającego remontem bloku sportowego, co może
spowodować wzrost poboru mocy (wentylacja) w bilansie tablicy T-03 przewidziano
stosowną rezerwę mocy.
Obliczeniowa moc szczytowa wyniosła 47,0 kW, wobec istniejącej mocy przyłączeniowej
wynoszącej 40,0 kW. W tej sytuacji wystąpiono do dostawcy energii o wzrost mocy do
wartości 52 kW. Do takiej mocy (z uwzględnieniem wzrostu poboru w przyszłości) dobrano
GLZ.
7. Przeciwpożarowe wyłączenie prądu
Lokalizację przeciwpożarowego wyłącznika prądu projektuje się na zewnętrz budynku, nad
złączem kablowym w istniejącej wnęce ściennej. Będzie to rozłącznik wyposażony w
wyzwalacz wzrostowy.
Przycisk wyzwalający wyłącznika przeciwpożarowego zabudowany zostanie w kasecie
koloru czerwonego w pobliżu wejścia do budynku (wiatrołap). W przypadku konieczności
nastąpi wyłączenie napięcia we wszystkich obwodach odbiorczych budynku.
8. Pomiar energii
8.1. Szkoła
•
•
•
•
•
rodzaj pomiaru – półpośredni,
zabezpieczenie przedlicznikowe – 80 A (w tablicy głównej),
przekładniki prądowe – 75/5 A, FS 5,
licznik energii – dwukwadrantowy (dostarcza EnergiaPro S.A.),
lokalizacja pomiaru - tablica licznikowa do pomiaru półpośredniego obok TG.
8.2. Węzeł cieplny
•
•
•
•
rodzaj pomiaru – bezpośredni,
zabezpieczenie przedlicznikowe – 20 A (w tablicy głównej),
licznik energii – dostarcza i instaluje EnegiaPro na podstawie zawartej z odbiorcą umowy
sprzedaży energii elektrycznej,
lokalizacja pomiaru - tablica licznikowa obok TG (parter budynku).
9. Rozdział energii
9.1. Główna tablica rozdzielcza
Tablicę główna projektuje się w korytarzu parteru w miejscu dotychczasowej szatni dzieci
młodszych.
Istniejące zamknięcie w postaci metalowej kraty należy pozostawić. Pozwoli to na dostęp do
rozdzielnicy tylko osobom upoważnionym.
============================================================================
====
Wrocław 12-2007
str. 6
Projekt wykonawczy
instalacji elektrycznych - Szkoła podstawowa 109, Wrocław ul. Inżynierska 54
============================================================================
====
Tablica główna zasila sieć rozdzielczą obiektu. Instalacje odbiorcze zasilane są z tablic
strefowych.
Dane techniczne :
• rodzaj obudowy – szafa naścienna
• wykonanie – IP41
• układ szyn - TN-S
• zasilanie - od dołu
• wyprowadzenie odbiorów – do góry oraz w dół
• napięcie znamionowe - 3x230/400 V
• prąd znamionowy – 160 A
• ochrona przeciwporażeniowa - samoczynne wyłączenie zasilania
• zgodność z normami PN-IEC 439-1+AC 1994 i PN-IEC 439-3+A1:1997.
9.2. Strefowe tablice rozdzielcze
Dla potrzeb rozdziału energii projektuje się następujące tablice dla poszczególnych stref
budynku :
• T-1.1 – piwnica część lewa
• T-1.2 - piwnica część prawa
• T-1.3 – piwnica, kuchnia
• T-1.4 – garaż
• T-1.5 - konserwator
• T 0.1 – parter, część prawa
• T 0.2 – parter, część lewa
• T 0.3 – parter, sala gimnastyczna
• T 0.4 – oświetlenie nocne
• T 1.1 – 1 piętro, część prawa
• T 1.2 – 1 piętro, część lewa
• T 2.1 – 2 piętro, część prawa
• T 2.2 – 2 piętro, część lewa
• T-K - 2 piętro, pracownia informatyczna
• T-K1 – 2 piętro, sala multimedialna
Uwaga :
Wyposażenie rozdzielnicy T-1.1 rozplanować w przygotowanej w ramach zadania „Remont i
przebudowa węzłów sanitarnych oraz pomieszczeń sanitarno-szatniowych”, Etap III
Rozdzielnicy szatni.
Rozdzielnica ta, oprócz wyposażenia wynikającego z przedmiotowego projektu
wykonawczego (autor: p. mgr inż. Stanisław Mroczek), zawierać będzie rezerwę miejsca
potrzebą na zainstalowanie aparatury ujętej w niniejszym opracowaniu. Rezerwa miejsca o
której mowa, winna wynosić min. 24 moduły.
Powyższe uwagi należy przekazać autorowi projektu instalacji szatni oraz, wyłonionemu w
wyniku przetargu, wykonawcy.
Tablice w lewej części budynku zostały wymienione na nowe (osprzęt modułowy,
przystosowane do zasilania w układzie TN-S). Zostaną one rozbudowane poprzez
zamontowanie obok obudów wnękowych tego samego typu.
Do tablicy T-1.3 dobudować tablicę Volta, Hager 3x12. Służyć ona będzie do montażu
istniejących aparatów WC i szatni oraz zapewni rezerwę miejsca na aparaty związane z
zasilaniem i sterowaniem wentylacji kuchni (jest wykonywany obecnie projekt dotyczący tej
problematyki.
Do tablic T 0.2, T 1.2, T 2.2 dobudować tablice jw., lecz o pojemności 2x12 modułów.
============================================================================
====
Wrocław 12-2007
str. 7
Projekt wykonawczy
instalacji elektrycznych - Szkoła podstawowa 109, Wrocław ul. Inżynierska 54
============================================================================
====
W tablicach tych zainstalować aparaty istniejących obwodów sanitariatów wraz z
podłączeniem oprzewodowania. Lokalizacja dobudowanych tablic względem tablic
istniejących wynikać będzie z możliwości przyłączenia oprzewodowania.
Wyposażenie tablic projektowanych rozplanować w obudowach wnękowych serii Ekinox,
Legrand. Przykładowe rozplanowanie aparatów podano na rys.24E.
9.3. Wykonanie instalacji
Instalację wykonać w bruzdach ściennych pt. Osprzęt podtynkowy IP 20 w pomieszczeniach
suchych, IP 44 w pomieszczeniach wilgotnych oraz piwnicy. Sieć rozdzielczą w piwnicy
układać w ciągach koryt kablowych, jak podano na rysunku, prowadzonych w odległości 25
cm pod stropem. Bruzdy ścienne winny być zaprawione, po ułożeniu przewodów
zatynkowane, a wykonane pasy nowego tynku pomalowane wraz z doborem koloru do
istniejącego.
10. Oświetlenie i gniazda wtyczkowe
10.1. Oświetlenie podstawowe
Oprawy oświetleniowe dobrano do charakteru pomieszczeń i rodzaju wykonywanej w nich
pracy.
Przyjęte poziomy natężenia oświetlenia:
• korytarze – 150 lx
• sale lekcyjne – 300 lx
• sala gimnastyczna – 300 lx
• szatnie – 200 lx
• magazyny – 100 lx
• sala komputerowa – 500 lx
W salach lekcyjnych oprawy rozmieszczono równolegle do linii okien w każdym polu
między podciągami. Przyjęto oprawy do lamp jarzeniowych z rastrem prostym, barwa światła
biała. Sterowanie oświetleniem – łączniki świecznikowe, po 50% opraw na grupę.
Przewidziano odrębne sterowanie oprawą oświetlającą tablicę łącznikiem jednobiegunowym
zlokalizowanym w pobliżu stanowiska nauczyciela.
Klatki schodowe sterowane będą za pomocą przekaźników impulsowych współpracujących z
przyciskami bistabilnymi.
Ciągi komunikacyjne sterowane będą łącznikami schodowymi podwójnymi i łącznikami
świecznikowymi, co odpowiada systemowi sterowania obecnie przyjętemu.
W szatni uczniów (pomieszczenia 0/4 – 0/6) przyjęto oprawy z kloszami z poliwęglanu o
zwiększonej energii rozbicia.
10.2. Oświetlenie nocne
Wybrane oprawy oświetleniowe wydzielone zostaną z sieci oświetlenia podstawowego i
włączone do instalacji oświetlenia użytkowanego w nocy, po opuszczeniu budynku przez
użytkowników. Instalacja sterowana jest zegarem, który aktywuje oświetlenie po upływie
nastawionego czasu związanego z zakończeniem wieczornych prac porządkowych w
obiekcie. Przewidziano możliwość ręcznego włączania oświetlenia z pominięciem sterowania
automatycznego.
============================================================================
====
Wrocław 12-2007
str. 8
Projekt wykonawczy
instalacji elektrycznych - Szkoła podstawowa 109, Wrocław ul. Inżynierska 54
============================================================================
====
Tablicę sterowania i zasilania instalacji projektuje się w pomieszczeniu socjalnym na
parterze. Lokalizacja została uzgodniona z Użytkownikiem. Odpowiada ona dotychczasowej
lokalizacji i jest wygodna dla obsługi.
Oprawy oświetlenia nocnego rozplanowano:
• na każdej kondygnacji w rejonie klatek schodowych,
• w korytarzu łącznika,
• nad wejściem głównym do budynku (oprawa zewnętrzna).
10.3. Oświetlenie tablic w klasach lekcyjnych (miejscowe)
W odległości 0,9 m od tablicy instalować oprawę zwieszakową z asymetrycznym rozsyłem
światła, zapewniającą normatywne naświetlenie powierzchni tablicy (Em = 500 lx). Długość
zwieszaka 0,8 m.
10.4. Oświetlenie awaryjne (ewakuacyjne)
Wybrane oprawy oświetlenia podstawowego wyposażone będą w inwertery zapewniające
przejście oprawy w stan pracy awaryjnej po zaniku napięcia sieciowego. Czas pracy
bateryjnej min. 2 h. Do opraw oświetlenia awaryjnego doprowadzić dodatkowy przewód
sprzed łącznika sterującego.
Wyjścia ewakuacyjne należy oznakować zgodnie z przepisami.
Oprawy oświetlenia awaryjnego znajdujące się na zewnątrz głównego wyjścia z budynku
(strefa rozproszenia) wyposażyć należy w inwerter przewidziany do pracy w ujemnych
temperaturach. Producentem takich urządzeń jest m.in. firma TM_Technologie Kraków.
10.5. Oświetlenie zewnętrzne
•
•
•
•
oprawy oświetleniowe – oprawa zewnętrzna, do montażu na wysięgniku rurowym 48-60
mm.
kąt nachylenia 15 stop., możliwość regulacji położenia źródła światła względem
płaszczyzny
oprawy, lampa metalhalogenkowa 150W, typ – Malaga , Philips
lokalizacja opraw – na elewacjach obiektu, oprawa winna znajdować się na wysokości
odpowiadającej połowie odległości między oknami parteru i 1 p.
sterowanie – przekaźnik zmierzchowy z zewnętrznym czujnikiem światła, możliwość
sterowania ręcznego
zasilanie – 3xYDY 450/750V 3x2,5, podział na fazy jak podano na planie instalacji,
połączenia wewnątrz oprawy lub puszka IP 55 zewnętrzne
10.6. Gniazda wtyczkowe
Sposób układania przewodów w ścianach jak dla instalacji oświetlenia.
W salach lekcyjnych przewidziano po 4 gniazda wtyczkowe, w tym dwa na stanowisku
nauczyciela, montowane na wysokości 120 cm npp., kolor biały, standard wykonania: osprzęt
firmy Polo.
W pomieszczeniu konserwatora gniazda wtyczkowe do zasilania elektronarzędzi, zgodnie z
sugestią Użytkownika, zaprojektowano w jednym miejscu.
W księgowości zespół gniazd wtyczkowych (8 szt.) do zasilania urządzeń komputerowych
montować na tynku, w skrzynce rozdzielczej, jak podano na rysunku.
============================================================================
====
Wrocław 12-2007
str. 9
Projekt wykonawczy
instalacji elektrycznych - Szkoła podstawowa 109, Wrocław ul. Inżynierska 54
============================================================================
====
Na korytarzach gniazda instalować na wysokości 140 cm npp., chyba że na rysunku podano
inaczej. Do zasilania urządzeń instalacji słaboprądowych przewidziano następujące przyłącza
w formie gniazd lub wypustów ściennych:
• centrala SAP,
• centrala SWiN,
• centrala telefoniczna,
• CPD (Centralny Punkt Dyspozycyjny),
• zegar pauzowy (elektroniczny woźna),
• videodomofon.
Na zewnątrz budynku szkoły zainstalować 3 gniazda wtyczkowe 16 A/320 V, IP44, w
zamykanych obudowach wnękowych. Służyć one będą do okazjonalnego zasilania
przenośnego sprzętu gospodarczego i ogrodniczego. Kiedy nie będą używane, pozostaną w
stanie beznapięciowym.
11. Instalacja pracowni informatycznej (napięcie dedykowane)
•
•
•
•
•
•
•
zasilanie instalacji z tablicy głównej szkoły; w pracowni wydzielona tablica napięcia
gwarantowanego z centralnym wyłącznikiem napięcia,
wykonanie instalacji – rozprowadzenie przewodów w kanale PCV 100/40, z
wydzielonym przedziałem teletechnicznym,
wyposażenie stanowiska uczniowskiego – 3 natynkowe gniazda wtyczkowe 16A/250V,
zainstalowane nad kanałem ściennym oraz 2 gniazda informatyczne RJ-45 wg projektu
instalacji slaboprądowych,
lokalizacja stanowisk uczniowskich – przy ścianach pracowni,
zasilanie drukarki sieciowej – wydzielony obwód zakończony gniazdem,
przyjęta maksymalna moc przyłączonych urządzeń na stanowisku uczniowskim – 300W,
stanowisko nauczyciela – 4 gniazda zasilające, montowane na ścianie pt. (oraz gniazda
informatyczne).
12. Instalacja kuchni
W kuchni instalacje wykonać pod tynkiem w bruzdach ściennych. Stopień ochrony opraw
oświetleniowych IP 65. Gniazda wtyczkowe montować na wysokości 1,2 m npp.
Gniazda wtyczkowe 400V zasilające technologiczne odbiorniki trójfazowe winny być
wyposażone w rozłączniki.
W związku z wykonywanym na zlecenie Zamawiającego projektem wentylacji kuchni w
tablicy rozdzielczej T-1.3 przewidziano rezerwę miejsca oraz mocy na pokrycie
zapotrzebowania urządzeń elektrycznych przyszłej wentylacji.
13.
Instalacja garażu
W garażu wykonać instalacje nt. W rurach RVS. Odbiorniki zasilić z tablicy T-1.5
(wykonanie natynkowe). Spód tablicy rozdzielczej winien znajdować się na wysokości 1,4m
n.p.p. Stopień ochrony osprzętu i opraw oświetleniowych min. IP44.
Gniazdo trójfazowe winno posiadać rozłacznik umieszczony we wspólnej obudowie.
Wysokość montażu gniazd wtyczkowych – 1.2m n.p.p.
14.
Instalacje ochronne
============================================================================
====
Wrocław 12-2007
str. 10
Projekt wykonawczy
instalacji elektrycznych - Szkoła podstawowa 109, Wrocław ul. Inżynierska 54
============================================================================
====
14.1. Połączenia wyrównawcze główne
Połączeniami wyrównawczymi objąć:
• zacisk PE tablicy rozdzielczej
• dostępne części konstrukcji budynku
• metalowe rurociągi instalacji sanitarnych (w tym instalacje przewodzące węzła ciepnego)
• ciągi metalowych koryt kablowych
• dostępne do dotyku części przewodzące obce
Główną szynę wyrównawczą instalować w piwnicy w pobliżu węzła cieplnego. Typ DEHN
K-12 lub równoważna. Szynę uziemić poprzez przyłączenie do uziomu instalacji
odgromowej.
Rurociągi przyłączać przez obejmy uziemiające umożliwiające przelotowe prowadzenie
przewodu.
Połączenia wyrównawcze główne wykonać przewodem LgYżo 25 mm2.
Odcinki koryt kablowych łączyć między sobą odcinkami przewodu LgYżo 6 z końcówkami
kablowymi. Połączenia te winny być widoczne z zewnątrz do inspekcji.
14.2. Instalacje ochrony przeciwprzepięciowej
Budynek wyposażony w instalację odgromową. Pierwszy stopień ochrony
przeciwprzepięciowej zainstalowany będzie w tablicy głównej szkoły .
W tablicach rozdzielczych projektuje się ochronniki dla układu TN-S stanowiące 2 stopień
ochrony.
14.3. Instalacja odgromowa
Instalacja odgromowa na budynku szkoły jest sprawna i nie jest przedmiotem niniejszego
opracowania.
Szczegóły dotyczące wymiany instalacji bloku sportowego podano na rysunku 7E.
14.4. Instalacja ochrony od porażeń
•
•
•
•
•
•
układ sieci w instalacji odbiorczej : TN-S
sposób ochrony : samoczynne wyłączenie zasilania realizowane przez wyłączniki
różnicowoprądowe (o czułości 30 mA) w obwodach gniazd wtyczkowych, oraz
wyłączniki nadprądowe i bezpieczniki topikowe w pozostałych obwodach
wszystkie przewody zasilające wyposażone w przewód ochronny barwy żółto-zielonej
wszystkie gniazda wtyczkowe ze stykiem ochronnym
przewód ochronny PE doprowadzony do wszystkich wypustów oświetleniowych.
po wykonaniu całości instalacji protokolarnie stwierdzić skuteczność ochrony od
porażeń.
15. Gospodarka odpadami
Zgodnie z ustawą o odpadach z dnia 27 kwietnia 2001 r. (zm. Dz. U. z 2007 r., Nr 39, poz.
251; )
Wykonawca przejmuje odpowiedzialność za wytworzone w czasie realizacji zadania odpady,
ich segregację, transport, składowanie i utylizację oraz zobowiązuje się do przestrzegania
wydanych w tym zakresie przepisów, a na żądanie Zamawiającego zobowiązany jest
przedstawić stosowne dowody dotyczące składowania i utylizacji.
============================================================================
====
Wrocław 12-2007
str. 11
Projekt wykonawczy
instalacji elektrycznych - Szkoła podstawowa 109, Wrocław ul. Inżynierska 54
============================================================================
====
Powstały w wyniku robót rozbiórkowych gruz i materiały odpadowe należy posortować i
zgromadzić na terenie budowy w przeznaczonych do tego pojemnikach – kontenerach
stalowych.
Gruz i materiały odpadowe należy posortować wg następującego porządku :
- odpady betonowe gruz betonowy gruz ceglany,
- odpady metalowe,
- papa odpadowa.
Posortowane odpady należy wywieść do punktu utylizacji odpadów.
Rodzaj i ilość odpadów :
gruz budowlany – 3,5 tony
papa – 1 tona
złom metaliczny – 1,5 tony
16.
Informacja dotycząca bezpieczeństwa i ochrony zdrowia
16.1 Zakres robót dla oraz kolejność realizacji
•
•
•
•
•
•
demontaż instalacji elektrycznych w całym obiekcie
demontaż przewodów odprowadzających i uziemiających
montaż GLZ, WLZ i tablic rozdzielczych
montaż instalacji elektrycznych i teletechnicznych
pomiary i procedury odbiorcze
montaż instalacji odgromowej
16.2 Wykaz istniejących obiektów budowlanych.
- złącze kablowe i rozdzielnice obiektowe
- instalacje elektryczne
- instalacja piorunochronna
- instalacje sanitarne
16.3 Elementy budynku, które mogą stwarzać zagrożenie bezpieczeństwa i zdrowia ludzi
1) czynne, podczas wykonywania robót, instalacje elektryczne w budynku;
2) prace na dachu budynku podczas montażu instalacji odgromowej.
16.4 Wskazanie dotyczące przewidywanych zagrożeń występujących podczas realizacji
robót budowlanych
Porażenie prądem podczas podłączania po napięcie i wykonywaniu pomiarów przy
rozdzielnicach i złączu kablowym oraz wykonywaniu prac instalacyjnych w obiekcie. Skala
zagrożenia wysoka.
16.5 Wskazanie sposobu prowadzenia instruktażu pracowników przed przystąpieniem
do realizacji robót szczególnie niebezpiecznych.
Prace budowlane winny być prowadzone przez wyspecjalizowaną firmę wykonawstwa
budowlanego zatrudniające pracowników przeszkolonych w zakresie bezpieczeństwa i
higieny pracy oraz zapewnić nadzór posiadający Zaświadczenia serii „D” do 1 kV.
============================================================================
====
Wrocław 12-2007
str. 12
Projekt wykonawczy
instalacji elektrycznych - Szkoła podstawowa 109, Wrocław ul. Inżynierska 54
============================================================================
====
Ponadto kierownik budowy dokona przeszkolenia pracowników uwzględniającego specyfikę
prowadzonych robót budowlanych ze szczególnym zwróceniem uwagi na prowadzenie prac z
zachowaniem warunków i przepisów bhp
16.6. Wskazanie środków technicznych i organizacyjnych, zapobiegających
niebezpieczeństwom wynikającym z wykonywania robót budowlanych w strefach
szczególnego zagrożenia zdrowia lub w ich sąsiedztwie,
- kierownik budowy robót elektrycznych uzgodni z dyrekcją szkoły i inspektorem nadzoru
odpowiednie miejsce na składowanie materiałów budowlanych z uwagi na bezpieczną i
sprawną komunikację , umożliwiającą utrzymanie normalnego ruchu drogowego i dojazd do
budynku szkoły oraz sprawną ewakuację na wypadek pożaru, awarii i innych zagrożeń.
- kierownik budowy uzgodni ze dyrekcją szkoły i inspektorem nadzoru niezbędne
wyłączenia spod napięcia czynnych instalacji elektrycznych
17. Zmiany nieistotne w projekcie
Nie uważa się za istotne odstąpienie od projektu budowlanego:
- zmiana typów urządzeń ujętych w projekcie, pod warunkiem zachowania ich parametrów
technicznych
- zmiana trasy przewodów
Wszystkie zmiany wymagają akceptacji projektanta.
18.
Uwagi końcowe
Wszystkie prace instalacyjne należy wykonywać zgodnie z ustawą Prawo budowlane oraz
obowiązującymi przepisami i normami branżowymi, przy zachowaniu zasad bhp i wymagań
ppoż.
Wszystkie instrukcje, protokoły pomiarowe, wydruki obliczeniowe, dokumenty odbiorcze itp
muszą być sporządzone w języku polskim.
Wszystkie teksty i oznaczenia na aparatach mające znaczenie dla ich obsługi oraz
bezpieczeństwa urządzeń i personelu muszą być w języku polskim lub oznakowane
symbolami ujętymi w Polskich Normach.
opracował : Zygmunt Stroński
============================================================================
====
Wrocław 12-2007
str. 13