Nazwa Opis Ilość

Transkrypt

Nazwa Opis Ilość
Unia Europejska
Europejski Fundusz
Rozwoju
Regionalnego
Projekt współfinansowany przez Unię Europejską ze środków Europejskiego Funduszu Rozwoju Regionalnego
w ramach Regionalnego Programu Operacyjnego Województwa Opolskiego na lata 2007-2013
„Inwestujemy w Twoją przyszłość”
Opole, dn. 15.09.2011 r.
......................................
......................................
.....................................
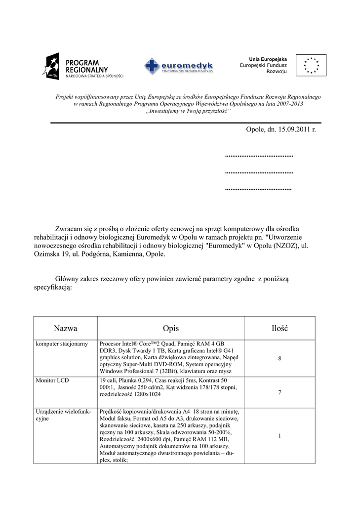
Zwracam się z prośbą o złożenie oferty cenowej na sprzęt komputerowy dla ośrodka
rehabilitacji i odnowy biologicznej Euromedyk w Opolu w ramach projektu pn. "Utworzenie
nowoczesnego ośrodka rehabilitacji i odnowy biologicznej "Euromedyk" w Opolu (NZOZ), ul.
Ozimska 19, ul. Podgórna, Kamienna, Opole.
Główny zakres rzeczowy ofery powinien zawierać parametry zgodne z poniższą
specyfikacją:
Nazwa
komputer stacjonarny
Monitor LCD
Urządzenie wielofunkcyjne
Opis
Procesor Intel® Core™2 Quad, Pamięć RAM 4 GB
DDR3, Dysk Twardy 1 TB, Karta graficzna Intel® G41
graphics solution, Karta dźwiękowa zintegrowana, Napęd
optyczny Super-Multi DVD-ROM, System operacyjny
Windows Professional 7 (32Bit), klawiatura oraz mysz
19 cali, Plamka 0,294, Czas reakcji 5ms, Kontrast 50
000:1, Jasność 250 cd/m2, Kąt widzenia 178/178 stopni,
rozdzielczość 1280x1024
Prędkość kopiowania/drukowania A4 18 stron na minutę,
Moduł faksu, Format od A5 do A3, drukowanie sieciowe,
skanowanie sieciowe, kaseta na 250 arkuszy, podajnik
ręczny na 100 arkuszy, Skala odwzorowania 50-200%,
Rozdzielczość 2400x600 dpi, Pamięć RAM 112 MB,
Automatyczny podajnik dokumentów na 100 arkuszy,
Moduł automatycznego dwustronnego powielania – duplex, stolik;
Ilość
8
7
1
Urządzenie wielofunkcyjne
Telewizor LCD
Prędkość kopiowania/drukowania A4 26 stron na minutę,
Moduł faksu, Format od A5 do A4, drukowanie sieciowe,
skanowanie sieciowe, kaseta na 50 arkuszy, Rozdzielczość
maksymalna 1200x1200 dpi, Pamięć RAM 64 MB, Automatyczny podajnik dokumentów na 50 arkuszy, Moduł
automatycznego dwustronnego powielania – duplex
Format obrazu 16:9
Przekątna ekranu 46 cale
Nominalna rozdzielczość 1920x1080
HD Ready Tak
Full HD Tak
Kąt widzenia w pionie 178 Stopni
Kąt widzenia w poziomie 178 Stopni
Tuner 1 (typ) Analogowy oraz DVB-T (z obsługą MPEG4)
Tuner 2 (typ) Brak
Obsługiwane standardy TV analogowej UHF,VHF, HYPER, CATV
Ilość pamięci programów 100 szt.
Procesor dźwięków Dolby® Digital , Dolby® Digital Plus
Obsługiwane standardy fonii TV analogowej NICAMB,G,I,L, niemiecki (2)
Obsługiwane systemy stereo NICAM
Wzmacniacz 20 W (2 x 10 W)
Głośniki Wbudowane
Gniazdo słuchawkowe (ilość) 1 szt.
Gniazdo HDMI (ilość) 4 szt.
Mozliwość podłączenia komputera PC Tak
Gniazdo D-Sub 15pin (ilość) 1 szt.
Gniazdo SCART (Eurozłącze) (ilość) 2 szt.
Gniazdo USB (ilość) 1 szt.
Wejście HDTV (component) 3*RCA Cinch (ilość) 1 szt.
Wejście Composite video RCA Cinch (ilość) 1 szt.
Wejście audio RCA Cinch (ilość) 1 szt.
Wyjście audio cyfrowe SPDIF 1 optyczne
Wejście RGB Przez Scart
Gniazda dodatkowe Gniazdo na karty PCMCIA , DLNA,
BRAVIA Internet Video , Sieć bezprzewodowa
Pilot Tak
Telegazeta Tak
Niszczarka dokumentów 12 kartek jednorazowo (70g/m2)
cięcie na paski 3,9 mm
automatyczny Start / Stop
trójpozycyjny wyłącznik: wł. / wył. / rewers
kosz na ścinki o pojemności 25 l z otworem na papier nie
wymagający zniszczenia
hartowane stalowe wałki tnące, absolutnie niewrażliwe na
zszywki i spinacze biurowe oraz karty kredytowe
funkcja stand-by z „0” konsumpcją energii
szerokość pracy 225 mm
Odtwarzacz DVD
Odtwarzanie płyt DVD, DVD-R, DVD-RW Tak
Odtwarzanie DivX, XviD, WMA, MPEG4, MP3, JPEG
Tak
Odtwarzania plików DivX i XviD znapisami Tak
Odtwarzanie płyt CD, VCD, CD-R,CD-RW Tak
Standard Wideo PAL / NTSC
Skanowanie progresywne(Progresive Scan) Tak
Dolby Digital AC-3 Tak
Gniazdo SCART (Eurozłącze) (ilość) 1
1
1
3
1
Wyjście HDTV (component) 3*RCA Cinch Tak
Wyjście Composite video RCA Cinch Tak
Wyjście audio L + R (2 x RCA Cinch) Tak
Wyjście cyfrowe Coaxial Tak
Pilot Na wyposażeniu
Port USB Tak
UPS
Rodzaj Wolnostojący
Moc skuteczna 900 W
Moc pozorna 1600 VA
Napięcie wejściowe 230 V
Napięcie wejściowe (zakres) 158-290 V
Napięcie wyjściowe 230 V
Kształt przebiegu sinus Sinusoida przybliżona
Topologia Line Interactive ( VI )
Typ akumulatora 12V/9Ah x 2szt.
Czas podtrzymania przy 50% obciążeniu 11 min
Czas podtrzymania przy 100% obciążeniu 6 min
Czas przełączania 2 ms
Sygnalizacja pracy Wyświetlacz LCD
Interfejs USB
Ilość gniazd wyjściowych 4 szt.
Spełniane Normy i Certyfikaty CE, RoHS
3
Ofertę cenową wraz z terminem realizacji należy złożyć w siedzibie firmy EUROMEDYK
s.c., ul. Ozimska 25, 45-058 Opole, lub przesłać drogą elektroniczną na adres [email protected]
do dnia 24 września 2011 r.
Z poważaniem,
Andrzej Sochacki
Tomasz Sochacki
EUROMEDYK S.C.
ul. Ozimska 25
45-058 Opole