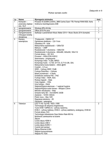
załącznik nr 9 - specyfikacja sprzętu audio

Transkrypt

załącznik nr 9 - specyfikacja sprzętu audio
Załącznik nr 9
Wykaz sprzętu audio
Lp. Nazwa
1
Komputer –
przenośny (laptop)
min. 15,3”
2
oprogramowanie
3
oprogramowanie
4
Oprogramowanie
miksujące ścieżkę
dźwiękową
5
Kamera
wewnętrzna
6
Telewizor
Wymagania minimalne
Procesor i5-3230M (2,6GHz, 3MB Cache) Dysk 1TB; Pamięć RAM 8GB, Karta
Graficzna niezintegrowana 2GB
ilość
1
Windows 8Pro 64 bity
Office 2010 Pro plus
Aplikacje o parametrach Music Maker 2014 + Music Studio 2014 (komplet)
1
1
1
Przetwornik – CMOS 1/3”
Ogniskowa obiektywu – 2,8-11mm
Oświetlacz IR – brak
Maksymalna rozdzielczość – 1280x720
Matryca – 1,0MP
Rozdzielczość 1 strumienia – 1280x720
Rozdzielczość 2 strumienia – 640x480, 320x240, 160x112
Format obrazu – HD 16:9
Procesor – HISILICON Hi3512
Skanowanie – progresywne
Kompresja Video - H.264, MPEG
Kompresja Audio – G.726, G711A, G.711U (8k, 32k)
Maksymalna liczba klatek/s – 25kl/s @HD
Czułość – 0,1Lux
WDR – Cyfrowy WDR 115dB
Funkcja Dzień/Noc – Cyfrowa
Maski prywatności – 4 strefy
Dodatkowe zasilanie PoE – PoE
Funkcja Video – WDR, AGC
Rodzaj migawki – Stała
Czas migawki – 1/50s
Inne funkcje – Obrót
Wejścia/Wyjścia alarmowe – 1 wejście/1wyjście
Wejście/Wyjście audio liniowe – Minijack 3,5mm
Mikrofon wbudowany – Brak
Gniazdo karty SD – microSDHC 32GB
Zasilanie – 12VDC 300mA
Pobór mocy – Max 12W
Regulacja położenia – 2D
Obudowa – wewnętrza
LED TV 46. Full HD, 1920 x 1080
Technologia 3D aktywna (migawkowa).
Tuner DVB-T (MPEG-4) - cyfrowy naziemny,
DVB-C - cyfrowy kablowy, DVB-S - cyfrowy satelitarny, analogowy, DVB-S2
Format obrazy 16:9
Technologia odświeżania Clear Motion Rate 600 Hz
Możliwość zawieszenia na ścianie
Złącza:
Liczba złączy HDMI 4
Liczba złączy USB 3
Liczba złączy EURO 1
Czytnik kart pamięci
Złącze Ethernet (LAN)
Wejście komponentowe
Wejście PC VGA
2
2
7
Kolumny
8
Projektor
multimedialny
9
Ekran
Złącze CI (Common Interface)
Wyjście słuchawkowe
Przenośne z wbudowanym mikrofonem bezprzewodowym, własne zasilanie i
możliwość odczytu usb, SD.
Wymiary kolumn min 80x36x30 max110x52x40
Kolumny z możliwością montażu na statywie
Moc min 600W - 750W RMS - odpowiada 1500W mocy szczytowej (2-piętrowa
3-drożna pełno-zakresowa kolumna - subwoofer)
Mikrofon zasięg min 60 metrów w optymalnych warunkach szt. 2
Rozdzielczość HD 1080p (1920x1080)
Współczynnik kontrastu 10000:1
Żywotność lampy w trybie normal min. 3500 h
Jasność min. 2000 ANSI lumen
Wielkość obrazu 40 cali – 235 cali
Wejście HDMI
Wejście komponentowe
Wejście D-sub 15 pin
Wejście S-video mini DIN
Wejście kompozytowe
Wej/Wyj liniowe audio
Złącze USB
Głośnik(i)
Pilot zdalnego sterowania
materiał biały z matową powierzchnią Matt White z czarnym obramowaniem
wokół ekranu
składany stojak, metalowy z gumowymi wykończeniami nóżek
przekątna 190 cm (75")
format: 4:3
powierzchnia użytkowa ekranu: 108 x 147 cm
mechanizm zwijający z napędem sprężynowym
2
1
1