m3 - Dane szpitala

Transkrypt

m3 - Dane szpitala
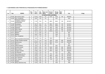
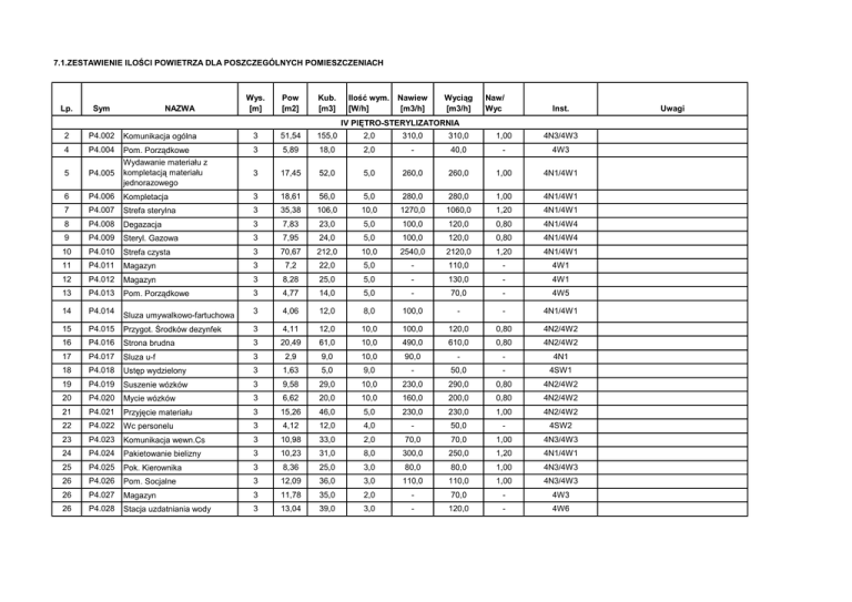
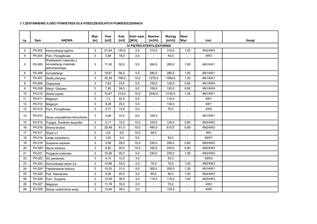
7.1.ZESTAWIENIE ILOŚCI POWIETRZA DLA POSZCZEGÓLNYCH POMIESZCZENIACH
Wys.
[m]
Pow
[m2]
Kub.
[m3]
Komunikacja ogólna
3
51,54
155,0
2,0
310,0
310,0
1,00
4N3/4W3
Pom. Porządkowe
Wydawanie materiału z
kompletacją materiału
jednorazowego
3
5,89
18,0
2,0
-
40,0
-
4W3
3
17,45
52,0
5,0
260,0
260,0
1,00
4N1/4W1
P4.006
Kompletacja
3
18,61
56,0
5,0
280,0
280,0
1,00
4N1/4W1
P4.007
Strefa sterylna
3
35,38
106,0
10,0
1270,0
1060,0
1,20
4N1/4W1
8
P4.008
Degazacja
3
7,83
23,0
5,0
100,0
120,0
0,80
4N1/4W4
9
P4.009
Steryl. Gazowa
3
7,95
24,0
5,0
100,0
120,0
0,80
4N1/4W4
10
P4.010
Strefa czysta
3
70,67
212,0
10,0
2540,0
2120,0
1,20
4N1/4W1
11
P4.011
Magazyn
3
7,2
22,0
5,0
-
110,0
-
4W1
12
P4.012
Magazyn
3
8,28
25,0
5,0
-
130,0
-
4W1
13
P4.013
Pom. Porządkowe
3
4,77
14,0
5,0
-
70,0
-
4W5
14
P4.014
3
4,06
12,0
8,0
100,0
-
-
4N1/4W1
15
P4.015
Przygot. Środków dezynfek
3
4,11
12,0
10,0
100,0
120,0
0,80
4N2/4W2
16
P4.016
Strona brudna
3
20,49
61,0
10,0
490,0
610,0
0,80
4N2/4W2
17
P4.017
Sluza u-f
3
2,9
9,0
10,0
90,0
-
-
4N1
18
P4.018
Ustęp wydzielony
3
1,63
5,0
9,0
-
50,0
-
4SW1
19
P4.019
Suszenie wózków
3
9,58
29,0
10,0
230,0
290,0
0,80
4N2/4W2
20
P4.020
Mycie wózków
3
6,62
20,0
10,0
160,0
200,0
0,80
4N2/4W2
21
P4.021
Przyjęcie materiału
3
15,26
46,0
5,0
230,0
230,0
1,00
4N2/4W2
22
P4.022
Wc personelu
3
4,12
12,0
4,0
-
50,0
-
4SW2
23
P4.023
Komunikacja wewn.Cs
3
10,98
33,0
2,0
70,0
70,0
1,00
4N3/4W3
24
P4.024
Pakietowanie bielizny
3
10,23
31,0
8,0
300,0
250,0
1,20
4N1/4W1
25
P4.025
Pok. Kierownika
3
8,36
25,0
3,0
80,0
80,0
1,00
4N3/4W3
26
P4.026
Pom. Socjalne
3
12,09
36,0
3,0
110,0
110,0
1,00
4N3/4W3
26
P4.027
Magazyn
3
11,78
35,0
2,0
-
70,0
-
4W3
26
P4.028
Stacja uzdatniania wody
3
13,04
39,0
3,0
-
120,0
-
4W6
Lp.
Sym
2
P4.002
4
P4.004
5
P4.005
6
7
NAZWA
Ilość wym.
[W/h]
Nawiew
[m3/h]
Wyciąg
[m3/h]
Naw/
Wyc
Inst.
IV PIĘTRO-STERYLIZATORNIA
Sluza umywalkowo-fartuchowa
Uwagi
Wys.
[m]
Pow
[m2]
Kub.
[m3]
Ilość wym.
[W/h]
Komunikacja ogólna 1
2,8
37,81
106,0
2,5
240,0
270,0
0,90
3N6/3W6
P3.002
Wc personelu
2,8
6,16
17,0
3,0
-
50,0
-
3SW1
4
P3.004
Szatnia brudna -d
2,8
9,29
26,0
5,0
90,0
130,0
0,70
3N5/3W5
5
P3.005
Szatnia brudna - m
2,8
5,56
16,0
5,0
60,0
80,0
0,70
3N5/3W5
6
P3.006
Pom. Hig.-Sanit.-D
3,15
22,44
71,0
3,0
200,0
250,0
0,80
3N5/3SW2
7
P3.007
Pom.Hig.-Sanit.-M
2,8
12,25
34,0
3,5
120,0
150,0
0,80
3N5/3SW3/3SW4
8
P3.008
Szatnia czysta 1-d
3,15
16,32
51,0
5,0
260,0
260,0
1,00
3N5/3W5
Lp.
Sym
1
P3.001
2
NAZWA
Nawiew
[m3/h]
Wyciąg
[m3/h]
Naw/
Wyc
Inst.
III PIĘTRO
9
P3.009
Szatnia czysta 1-m
2,8
12,79
36,0
5,0
180,0
180,0
1,00
3N5/3W5
10
P3.010
Śluza materiałowa
2,8
16,01
45,0
5,0
280,0
230,0
1,20
3N5/3W5
12
P3.012
Komunikacja wewn. Bo 1
2,8
9,65
27,0
2,5
70,0
70,0
1,00
3N5/3W5
13
P3.013
Wc personelu-d
2,8
4,15
12,0
4,0
-
50,0
-
3SW5
14
P3.014
Wc personelu-m
2,8
6,04
17,0
3,0
-
50,0
-
3SW6
15
P3.015
Komunikacja wewn.Bo 2
2,8
67,76
190,0
5,0
480,0
950,0
0,50
3N4/3W4
16
P3.016
Pokój wypoczynku personelu
3,15
44,11
139,0
3,0
420,0
420,0
1,00
3N5/3W5
17
P3.017
Instrumentarium
3,15
30,15
95,0
5,0
480,0
480,0
1,00
3N4/3W4
18
P3.018
Przygotowanie pacjenta
3,15
23,64
74,0
13,0
1060,0
960,0
1,10
3N1/3W1
19
P3.019
Sala wybudzeń
3,15
42,11
133,0
10,0
1600,0
1330,0
1,20
3N4/3W4
20
P3.020
Wyjazdowa śluza pacjenta
2,8
21,43
60,0
3,0
220,0
180,0
1,20
3N6/3W6
21
P3.021
Komunikacja wewn.Bo 3
2,8
88,71
248,0
2,5
620,0
620,0
1,00
3N6/3W6
22
P3.022
Pom. Rtg przewoźne
2,8
7,47
21,0
10,0
210,0
210,0
1,00
3N6/3W6
23
P3.023
Magazyn sprzętu i aparatury
3,15
19,01
60,0
2,0
120,0
120,0
1,00
3N6/3W6
3W7
24
P3.024
Skł. Porząd.
3,15
10,58
33,0
3,0
-
100,0
-
25
P3.025
Brudownik
2,8
5,54
16,0
5,0
-
80,0
-
3W8
26
P3.026
Magazyn czystej bielizny
3,15
9,74
31,0
3,0
90,0
90,0
1,00
3N6/3W6
27
P3.027
Mycie/suszenie blatów i
wózków
3,15
16,84
53,0
5,0
270,0
270,0
1,00
3N6/3W6
28
P3.028
Śluza blatów i wózków
2,8
9,97
28,0
5,0
170,0
140,0
1,20
3N6/3W6
29
P3.029
Przygotowanie lekarzy 2
3
10,12
30,0
12,0
400,0
360,0
1,10
3N3/3W3
30
P3.030
Sala operacyjna 3
3
39,97
120,0
20,0
2880,0
2400,0
1,20
3N3/3W3
31
P3.031
Sala operacyjna 2
3
37,06
111,0
20,0
2660,0
2220,0
1,20
3N2/3W2
Uwagi
32
P3.032
Przygotowanie lekarzy 1
33
P3.033
Sala operacyjna 1
34
P3.034
Śluza pacjentów
35
P3.035
Obejście brudne
P3.036
Ekspedycja m.Brudnego /
mag.Brudnej bielizny
36
3
16,91
51,0
12,0
670,0
610,0
1,10
3N1/3W1
3
37,06
111,0
20,0
2660,0
2220,0
1,20
3N1/3W1
2,8
19,45
54,0
5,0
300,0
270,0
1,10
3N1/3W1
2,8
31,5
88,0
5,0
220,0
440,0
0,50
3N4/3W4
2,8
7,37
21,0
3,0
50,0
60,0
0,80
3N6/3W6
38
P3.038
Śluza
2,8
3,08
9,0
5,0
60,0
50,0
1,10
3N6/3W6
39
P3.039
Pokój kierownika bo
3,6
11,14
40,0
3,0
120,0
120,0
1,00
3N6/3W6
Lp.
Sym
Wys.
[m]
Pow
[m2]
Kub.
[m3]
Ilość wym.
[W/h]
Nawiew
[m3/h]
Wyciąg
[m3/h]
NAZWA
Naw/
Wyc
Inst.
Uwagi
II PIĘTRO
1
P2.000
Komunikacja ortopedia
2,5
82,24
206,0
2,0
410,0
410,0
1,00
2N1/2W1
2
P2.002
Brudownik
2,5
9,45
24,0
2,0
-
50,0
-
2W2
3
P2.003
Pom. Porząd.
2,5
5,68
14,0
2,0
-
30,0
-
2W2
5
P2.004
Sala chorych wzmoŜonego
nadzoru 3-os
2,77
22,36
62,0
-
-
-
-
-
6
P2.005
Punkt pielęgniarski
2,5
13,66
34,0
3,0
100,0
100,0
1,00
2N1/2W1
7
P2.006
Pom. Przygotowania zab.
Pielegniarskich
2,77
8,87
25,0
3,0
80,0
80,0
1,00
2N1/2W1
8
P2.007
Pom. Socjalne pielęgniarek
2,77
13,02
36,0
3,0
110,0
110,0
1,00
2N1/2W1
9
P2.008
Wc personelu-k
2,5
7,49
19,0
0,0
0,0
10
P2.009
Sala chorych 1-os
2,77
18,29
51,0
-
-
-
-
-
11
P2.010
Łazienka
2,5
3,03
8,0
12,0
-
100,0
-
2SW3
12
P2.011
Sala chorych 1-os
2,77
18,24
51,0
-
-
-
-
-
13
P2.012
Łazienka
2,5
3,03
8,0
12,0
-
100,0
-
2SW4
14
P2.013
Sala chorych 2-os
2,77
18,46
51,0
-
-
-
-
-
15
P2.014
Łazienka
2,5
2,75
7,0
14,0
-
100,0
-
2SW5
16
P2.015
Sala chorych 2-os
2,77
18,48
51,0
-
-
-
-
-
Wyciąg poprzez nasadę hybrydową
nawiew do pomieszczenia poprzez
nawietrzaki okienne , wywiew przez
łazienke
2SW1/2SW2
nawiew do pomieszczenia poprzez
nawietrzaki okienne, wywiew przez
łazienke
nawiew do pomieszczenia poprzez
nawietrzaki okienne, wywiew przez
łazienke
nawiew do pomieszczenia poprzez
nawietrzaki okienne, wywiew przez
łazienke
nawiew do pomieszczenia poprzez
nawietrzaki okienne, wywiew przez
łazienke
17
P2.016
Łazienka
2,5
2,75
7,0
14,0
-
100,0
-
2SW6
18
P2.017
Sala chorych 1-os
2,77
17,12
47,0
-
-
-
-
-
19
P2.018
Łazienka
2,5
2,72
7,0
14,0
-
100,0
-
2SW7
20
P2.019
Sala chorych 1-os
2,77
17,44
48,0
-
-
-
-
-
21
P2.020
Łazienka
2,5
2,72
7,0
14,0
-
100,0
-
2SW8
22
P2.021
Sala chorych 1-os
2,77
17,45
48,0
-
-
-
-
-
23
P2.022
Łazienka
2,5
2,72
7,0
14,0
-
100,0
-
2SW9
24
P2.023
Sala chorych 1-os
2,77
17,45
48,0
-
-
-
-
-
25
P2.024
Łazienka
2,5
2,72
7,0
14,0
-
100,0
-
2SW10
26
P2.025
Sala chorych 1-os
2,77
16,86
47,0
-
-
-
-
-
27
P2.026
Łazienka
2,5
2,72
7,0
14,0
-
100,0
-
2SW11
28
P2.027
Gabinet zabiegowy
2,77
21,05
58,0
5,0
320,0
290,0
1,10
2N1/2W1
29
P2.028
Łazienka oddziałowa
2,5
15,57
39,0
2,5
-
100,0
-
2SW12
30
P2.029
Magazyn czysty
2,77
1,64
5,0
2,0
-
10,0
-
2W3
31
P2.030
Magazyn brudny
2,77
3,41
9,0
2,0
-
20,0
-
2W3
32
P2.031
Łazienka oddziałowa
2,5
12,18
30,0
3,2
-
100,0
-
2SW13
33
P2.032
Sala chorych 2-os
2,77
17,52
49,0
-
-
-
-
-
34
P2.033
Łazienka
2,5
2,75
7,0
14,0
-
100,0
-
2SW14
36
P2.035
Brudownik
2,5
9,59
24,0
2,0
-
50,0
-
2W4
37
P2.036
Pom. Porząd.
2,5
4,84
12,0
2,0
-
20,0
-
2W4
38
P2.037
Sala chorych 2-os
2,77
16,68
46,0
-
-
-
-
-
39
P2.038
Łazienka
2,5
3,34
8,0
13,0
-
100,0
-
2SW15
40
P2.039
Sala chorych 2-os
2,77
17,27
48,0
-
-
-
-
-
41
P2.040
Łazienka
2,5
2,75
7,0
14,0
-
100,0
-
2SW16
nawiew do pomieszczenia poprzez
nawietrzaki okienne, wywiew przez
łazienke
nawiew do pomieszczenia poprzez
nawietrzaki okienne, wywiew przez
łazienke
nawiew do pomieszczenia poprzez
nawietrzaki okienne, wywiew przez
łazienke
nawiew do pomieszczenia poprzez
nawietrzaki okienne, wywiew przez
łazienke
nawiew do pomieszczenia poprzez
nawietrzaki okienne, wywiew przez
łazienke
Wyciąg poprzez nasadę hybrydową
nawiew do pomieszczenia poprzez
nawietrzaki okienne, wywiew przez
łazienke
Wyciąg poprzez nasadę hybrydową
nawiew do pomieszczenia poprzez
nawietrzaki okienne, wywiew przez
łazienke
nawiew do pomieszczenia poprzez
nawietrzaki okienne, wywiew przez
łazienke
42
P2.041
Sala chorych wzmoŜonego
nadzoru 4-os
43
P2.042
Łazienka
2,5
44
P2.043
Punkt pielęgniarski
2,5
45
P2.044
Pom. Socjalne pielęgn.
2,5
46
P2.045
Pom. Przygotowania zab.
Pielegniarskich
47
P2.046
48
2,77
38,44
106,0
-
-
-
-
-
2,75
7,0
14,0
-
100,0
-
2SW17
14,67
37,0
3,0
110,0
110,0
1,00
2N1/2W1
9,27
23,0
3,0
70,0
70,0
1,00
2N1/2W1
2,77
11,88
33,0
3,0
100,0
100,0
1,00
2N1/2W1
Magazyn czysty
2,77
11,88
33,0
2,0
-
70,0
-
2W5
P2.047
Sala chorych 2-os
2,77
18,19
50,0
-
-
-
-
-
49
P2.048
Łazienka
2,5
3,03
8,0
13,0
-
100,0
-
2SW18
50
P2.049
Magazyn brudny
2,77
2,13
6,0
2,0
-
10,0
-
2W6
51
P2.050
Magazyn brudny
2,77
2,13
6,0
2,0
-
10,0
-
2W6
52
P2.051
Sala chorych 2-os
2,77
18,19
50,0
-
-
-
-
-
53
P2.052
Łazienka
2,5
3,03
8,0
13,0
-
100,0
-
2SW19
54
P2.053
Gabinet zabiegowy
2,77
24,51
68,0
5,0
370,0
340,0
1,10
2N1/2W1
55
P2.054
Wc personelu-k
2,77
4,32
12,0
8,0
-
100,0
-
2SW20
56
P2.055
Pomieszczenie
2,77
26,43
73,0
-
-
-
-
-
57
P2.056
Łazienka
2,5
2,72
7,0
14,0
-
100,0
-
2SW21
58
P2.057
Sala chorych 1-os
2,77
12,94
36,0
-
-
-
-
-
59
P2.058
Łazienka
2,5
2,72
7,0
14,0
-
100,0
60
P2.059
Sala chorych 1-os
2,77
12,94
36,0
-
-
-
-
-
61
P2.060
Łazienka
2,5
2,72
7,0
14,0
-
100,0
-
2SW23
62
P2.061
Sala chorych 1-os
2,77
12,94
36,0
-
-
-
-
-
63
P2.062
Łazienka
2,5
2,72
7,0
14,0
-
100,0
-
2SW24
64
P2.063
Sala chorych 1-os
2,77
12,94
36,0
-
-
-
-
-
65
P2.064
Łazienka
2,5
2,72
7,0
14,0
-
100,0
-
2SW25
nawiew do pomieszczenia poprzez
nawietrzaki okienne, wywiew przez
łazienke
nawiew do pomieszczenia poprzez
nawietrzaki okienne, wywiew przez
łazienke
Wyciąg poprzez nasadę hybrydową
nawiew do pomieszczenia poprzez
nawietrzaki okienne, wywiew przez
łazienke
nawiew do pomieszczenia poprzez
nawietrzaki okienne, wywiew przez
łazienke
nawiew do pomieszczenia poprzez
nawietrzaki okienne, wywiew przez
łazienke
2SW22
nawiew do pomieszczenia poprzez
nawietrzaki okienne, wywiew przez
łazienke
nawiew do pomieszczenia poprzez
nawietrzaki okienne, wywiew przez
łazienke
nawiew do pomieszczenia poprzez
nawietrzaki okienne, wywiew przez
łazienke
66
P2.065
Sala chorych 1-os
2,77
12,94
36,0
-
-
-
-
-
67
P2.066
Łazienka
2,5
2,72
7,0
14,0
-
100,0
-
2SW26
68
P2.067
Sala chorych 1-os
2,77
12,94
36,0
-
-
-
-
-
69
P2.068
Łazienka
2,5
2,72
7,0
14,0
-
100,0
-
2SW27
70
P2.069
Sala chorych 1-os
2,77
12,94
36,0
-
-
-
-
-
71
P2.070
Łazienka
2,5
2,72
7,0
14,0
-
100,0
-
2SW28
72
P2.071
Gabinet zabiegowy
2,77
18,09
50,0
5,0
280,0
250,0
1,10
2N1/2W1
73
P2.072
Komunikacja chirurgia 2
2,5
87,57
219,0
2,0
440,0
440,0
1,00
2N1/2W1
74
P2.073
Komunikacja chirurgia 1
2,5
77,14
193,0
2,0
390,0
390,0
1,00
2N1/2W1
75
P2.074
Sala chorych 2-os
2,77
18,17
50,0
-
-
-
-
-
76
P2.075
Łazienka
2,5
2,75
7,0
14,0
-
100,0
-
2SW29
77
P2.076
Sala chorych 2-os
2,77
18,49
51,0
-
-
-
-
-
78
P2.077
Łazienka
2,5
2,75
7,0
14,0
-
100,0
-
2SW30
79
P2.078
Sala chorych 1-os
2,77
18,44
51,0
-
-
-
-
-
80
P2.079
Łazienka
2,5
2,78
7,0
14,0
-
100,0
-
2SW31
81
P2.080
Sala chorych 2-os
2,77
18,54
51,0
-
-
-
-
-
82
P2.081
Łazienka
2,5
2,75
7,0
14,0
-
100,0
-
2SW32
83
P2.082
Sala chorych 2-os
2,77
18,59
51,0
-
-
-
-
-
84
P2.083
Łazienka
2,5
2,75
7,0
14,0
-
100,0
-
2SW33
85
P2.084
Sala chorych 2-os
2,77
18,59
51,0
-
-
-
-
-
86
P2.085
Łazienka
2,5
2,75
7,0
14,0
-
100,0
-
2SW34
nawiew do pomieszczenia poprzez
nawietrzaki okienne, wywiew przez
łazienke
nawiew do pomieszczenia poprzez
nawietrzaki okienne, wywiew przez
łazienke
nawiew do pomieszczenia poprzez
nawietrzaki okienne, wywiew przez
łazienke
nawiew do pomieszczenia poprzez
nawietrzaki okienne, wywiew przez
łazienke
nawiew do pomieszczenia poprzez
nawietrzaki okienne, wywiew przez
łazienke
nawiew do pomieszczenia poprzez
nawietrzaki okienne, wywiew przez
łazienke
nawiew do pomieszczenia poprzez
nawietrzaki okienne, wywiew przez
łazienke
nawiew do pomieszczenia poprzez
nawietrzaki okienne, wywiew przez
łazienke
nawiew do pomieszczenia poprzez
nawietrzaki okienne, wywiew przez
łazienke
87
P2.086
Sala chorych 2-os
2,77
18,59
51,0
-
-
-
-
-
88
P2.087
Łazienka
2,5
2,75
7,0
14,0
-
100,0
-
2SW35
89
P2.088
Sala chorych 1-os
2,77
18,52
51,0
-
-
-
-
-
90
P2.089
Łazienka
2,5
2,72
7,0
14,0
-
100,0
-
2SW36
91
P2.090
Komunikacja cz. Ogólna 1
2,77
115,26
319,0
2,0
480,0
480,0
1,00
2N1/2W1
92
P2.091
Miejsce spotkań pacjentów
2,77
22,22
62,0
5,0
250,0
310,0
0,80
2N1/2W1
93
P2.092
Pokój lekarzy
2,77
29,44
82,0
5,0
410,0
410,0
1,00
2N1/2W1
94
P2.093
Poczekalnia dla pacjentów
2,77
12,71
35,0
3,0
110,0
110,0
1,00
2N1/2W1
95
P2.094
Kuchnia oddziałowa
2,77
14,12
39,0
3,0
150,0
115,0
1,20
2N1/2W1
96
P2.095
Wc nps
2,5
8,82
22,0
4,5
-
100,0
-
2SW37
97
P2.096
serwerownia
2,77
9,10
25,0
-
-
-
-
-
98
P2.097
Post mortem
2,77
5,35
15,0
2,0
-
30,0
-
2W7
99
P2.098
Pokój badań
2,77
12,32
34,0
5,0
170,0
170,0
1,00
2N1/2W1
100
P2.099
DyŜurka lekarska
2,77
29,49
82,0
3,0
250,0
250,0
1,00
2N1/2W1
101
P2.100
Pom. Socjalne
2,77
13,29
37,0
3,0
110,0
110,0
1,00
2N1/2W1
102
P2.101
Ordynator ortopedia
2,77
11,34
31,0
3,0
90,0
90,0
1,00
2N1/2W1
103
P2.102
Sekretariat ortopedia
2,77
11,37
31,0
3,0
90,0
90,0
1,00
2N1/2W1
104
P2.103
Pok. Oddziałowej ortopedia
2,77
11,34
31,0
3,0
90,0
90,0
1,00
2N1/2W1
105
P2.104
Ordynator chirurgia
2,77
11,89
33,0
3,0
100,0
100,0
1,00
2N1/2W1
106
P2.105
Sekretariat chirurgia
2,77
11,34
31,0
3,0
90,0
90,0
1,00
2N1/2W1
107
P2.106
Pok. Oddziałowej chirurgia
2,77
11,37
31,0
3,0
90,0
90,0
1,00
2N1/2W1
108
P2.107
Wc personelu-m
2,5
10,18
25,0
8,0
-
200,0
-
2SW38/2SW39
110
P2.109
DyŜurka
2,77
12,66
35,0
2,0
70,0
70,0
1,00
2N1/2W1
111
P2.110
Łazienka
2,77
3,38
9,0
11,0
-
100,0
-
2SW40
112
P2.111
Komunikacja cz. Ogólna 2
2,5
20,15
50,0
2,0
100,0
100,0
1,00
2N1/2W1
113
P2.112
Śluza
2,77
24,11
67,0
2,0
160,0
130,0
1,20
2N1/2W1
113
P2.114
Zmywalnia
2,77
12,12
34,0
3,5
150,0
115,0
1,20
2N1/2W12
Lp.
Sym
Wys.
[m]
Pow
[m2]
Kub.
[m3]
Ilość wym.
[W/h]
Nawiew
[m3/h]
Wyciąg
[m3/h]
NAZWA
I PIĘTRO
Naw/
Wyc
Inst.
nawiew do pomieszczenia poprzez
nawietrzaki okienne, wywiew przez
łazienke
nawiew do pomieszczenia poprzez
nawietrzaki okienne, wywiew przez
łazienke
KLIMATYZATOR
Uwagi
113
P1.001
Lp.
Sym
113
P0.001
Lp.
Sym
113
P-1.001
Śluza
NAZWA
2,5
28,09
70,0
2,0
160,0
130,0
Wys.
[m]
Pow
[m2]
Kub.
[m3]
Ilość wym.
[W/h]
Nawiew
[m3/h]
Wyciąg
[m3/h]
2,5
28,09
70,0
2,0
170,0
140,0
Wys.
[m]
Pow
[m2]
Kub.
[m3]
Ilość wym.
[W/h]
Nawiew
[m3/h]
Wyciąg
[m3/h]
2,5
24,11
60,0
2,0
1,20
Naw/
Wyc
2N1/2W1
Inst.
Uwagi
PARTER
Śluza
NAZWA
1,20
Naw/
Wyc
2N1/2W1
Inst.
PIWNICA
Śluza
140,0
120,0
1,20
2N1/2W1
Uwagi
7.2.ZESTAWIENIE INSTALACJI WENTYLACYJNYCH
L.p.
1
2
3
4
5
Instal.
2N1/2W1
3N1/3W1
3N2/3W2
3N3/3W3
3N4/3W4
Wydajność
SpręŜ
Nagrzewnica
wodna
Nagrzewnica
elektryczna
Chłodnica
Silnik
Masa
m3/h
∆P
kW
kW
kW
kW
kg
GOLEM-3-70-L
6140
600
48,6
-
33,3
3(400V)
GOLEM-3-70-P
6070
600
-
-
-
Centrala
nawiewno/wywiewna
dachowa z wymiennikiem
glikolowym, nagrzewnicą
wodną, chłodnica wodną i
nagrzewnicą elektryczną
HYGIENOS 2-70-P
4690
800
52,7
18
HYGIENOS 2-70-L
4060
400
-
Centrala
nawiewno/wywiewna
dachowa z wymiennikiem
glikolowym, nagrzewnicą
wodną, chłodnica wodną i
nagrzewnicą elektryczną
HYGIENOS 1-70-L
2660
800
HYGIENOS 1-70-P
2220
HYGIENOS 2-70-P
Typ urządzenia
Centrala
nawiewno/wywiewna
dachowa z wymiennikiem
krzyŜowym, nagrzewnicą
wodną i chłodnicą wodną
Centrala
nawiewno/wywiewna
dachowa z wymiennikiem
glikolowym, nagrzewnicą
wodną, chłodnica wodną i
nagrzewnicą elektryczną
Centrala
nawiewno/wywiewna
dachowa z wymiennikiem
glikolowym, nagrzewnicą
wodną, chłodnica wodną i
nagrzewnicą elektryczną
Symbol
Symbol
pom.
Usytuowanie
Producent
916
Dach
Clima
Produkt
2,2(400V)
646
Dach
Clima
Produkt
51
4(400V)
934
Dach
Clima
Produkt
-
-
1,5(400V)
503
Dach
Clima
Produkt
29,7
9
28,9
2,2(400V)
736
Dach
Clima
Produkt
400
-
-
-
0,75(400V)
397
Dach
Clima
Produkt
3280
800
35,4
12
35,7
2,2(400V)
908
Dach
Clima
Produkt
HYGIENOS 2-70-L
2760
400
-
-
-
0,75(400V)
497
Dach
Clima
Produkt
HYGIENOS 1-70-L
2780
800
29,6
9
30,2
2,2(400V)
736
Dach
Clima
Produkt
HYGIENOS 1-70-P
3200
400
-
-
-
1,5(400V)
400
Dach
Clima
Produkt
6
7
8
9
3N5/3W5
3N6/3W6
4N1/4W1
4N2/4W2
Centrala
nawiewno/wywiewna
dachowa z wymiennikiem
glikolowym, nagrzewnicą
wodną i chłodnica wodną
HYGIENOS 1-70-P
1680
800
15
-
10,6
1,1(400V)
673
Dach
Clima
Produkt
HYGIENOS 1-70-L
1370
400
-
-
-
0,37(400V)
389
Dach
Clima
Produkt
Centrala
nawiewno/wywiewna
dachowa z wymiennikiem
glikolowym, nagrzewnicą
wodną i chłodnica wodną
HYGIENOS 1-70-P
2290
800
23,7
-
14,5
2,2(400V)
681
Dach
Clima
Produkt
HYGIENOS 1-70-L
2250
400
-
-
-
0,75(400V)
384
Dach
Clima
Produkt
Centrala
nawiewno/wywiewna
dachowa z wymiennikiem
glikolowym, nagrzewnicą
wodną i chłodnicą wodną
HYGIENOS 2-70-P
5040
500
47,7
15
46,1
4(400V)
921
Dach
Clima
Produkt
HYGIENOS 2-70-L
4210
500
-
-
-
2,2(400V)
500
Dach
Clima
Produkt
Centrala
nawiewno/wywiewna
dachowa z wymiennikiem
glikolowym, nagrzewnicą
wodną i chłodnicą wodną
HYGIENOS 1-70-L
1210
500
9,2
-
7,7
0,55(400V)
667
Dach
Clima
Produkt
HYGIENOS 1-70-P
1450
400
-
-
-
0,37(400V)
389
Dach
Clima
Produkt
GOLEM 1-70-L
570
400
7,3
-
3,6
0,18(400V)
443
Dach
Clima
Produkt
DVR-2-250-1300S
680
250
-
-
-
0,19(230V)
Dach
Harmann
DVR-4-250-600S
250
120
-
-
-
0,06(230V)
Dach
Harmann
Centrala nawiewna
dachowa z nagrzewnicą
wodną i chłodnica wodną
10
4N3
11
4W3
12
4W4
13
4W5
Wentylator łazienkowy
WWB 150
70
-
-
-
-
0,017(230V)
P4.013
14
4W6
Wentylator łazienkowy
WWB 150
120
-
-
-
-
0,017(230V)
P4.028
15
4SW1
Wentylator łazienkowy
WWB 150
50
-
-
-
-
0,017(230V)
P4.018
Wentylator dachowy +
regulator obrotów
Wentylator dachowy +
regulator obrotów
Pom.
Porządkowe
Stacja
uzdatniania
wody
Ustęp
wydzielony
Hardi
Hardi
Hardi
16
4SW2
Wentylator łazienkowy
WWB 150
50
-
-
-
-
0,017(230V)
17
3W7
Wentylator łazienkowy
WWB 150
100
-
-
-
-
0,017(230V)
P3.024
Skł. Porząd.
Hardi
18
3W8
Wentylator łazienkowy
WWB 150
80
-
-
-
-
0,017(230V)
P3.025
Brudownik
Hardi
19
3SW1
Wentylator łazienkowy
WWB 150
50
-
-
-
-
0,017(230V)
P3.002 Wc personelu
20
3SW2
Wentylator dachowy +
regulator obrotów
DVR-4-250-600S
250
120
-
-
-
0,06(230V)
21
3SW3
Wentylator łazienkowy
WWB 150
100
-
-
-
-
0,017(230V)
22
3SW4
Wentylator łazienkowy
WWB 150
50
-
-
-
-
0,017(230V)
23
3SW5
Wentylator łazienkowy
WWB 150
50
-
-
-
-
0,017(230V)
24
3SW6
Wentylator łazienkowy
WWB 150
50
-
-
-
-
0,017(230V)
25
2W2
Nasada hybrydowa
Turbowent 150
80
-
-
-
-
0,005(230V)
Dach
Darco
26
2W3
Nasada hybrydowa
Turbowent 150
30
-
-
-
-
0,005(230V)
Dach
Darco
27
2W4
Nasada hybrydowa
Turbowent 150
70
-
-
-
-
0,005(230V)
Dach
Darco
Magazyn
czysty
Hardi
Dach
Darco
28
2W5
Wentylator łazienkowy
WWB 150
70
-
-
-
-
0,017(230V)
29
30
2W6
Nasada hybrydowa
Turbowent 150
20
-
-
-
-
0,005(230V)
2W7
Wentylator łazienkowy
WWB 150
30
-
-
-
-
0,017(230V)
P4.022 Wc personelu
Dach
Pom.Hig.Sanit.-M
Pom.Hig.P3.007
Sanit.-M
Wc personeluP3.013
d
Wc personeluP3.014
m
P3.007
P2.046
P2.097 Post mortem
Wc personeluP2.008
k
Wc personeluP2.008
k
Hardi
Hardi
Harmann
Hardi
Hardi
Hardi
Hardi
Hardi
31
2SW1
Wentylator łazienkowy
WWB 150
50
-
-
-
-
0,017(230V)
32
2SW2
Wentylator łazienkowy
WWB 150
50
-
-
-
-
0,017(230V)
33
2SW3
Wentylator łazienkowy
WWB 150
100
-
-
-
-
0,017(230V)
P2.010
Łazienka
Hardi
34
2SW4
Wentylator łazienkowy
WWB 150
100
-
-
-
-
0,017(230V)
P2.012
Łazienka
Hardi
35
2SW5
Wentylator łazienkowy
WWB 150
100
-
-
-
-
0,017(230V)
P2.014
Łazienka
Hardi
36
2SW6
Wentylator łazienkowy
WWB 150
100
-
-
-
-
0,017(230V)
P2.016
Łazienka
Hardi
37
2SW7
Wentylator łazienkowy
WWB 150
100
-
-
-
-
0,017(230V)
P2.018
Łazienka
Hardi
38
2SW8
Wentylator łazienkowy
WWB 150
100
-
-
-
-
0,017(230V)
P2.020
Łazienka
Hardi
39
2SW9
Wentylator łazienkowy
WWB 150
100
-
-
-
-
0,017(230V)
P2.022
Łazienka
Hardi
40
2SW10
Wentylator łazienkowy
WWB 150
100
-
-
-
-
0,017(230V)
P2.024
Łazienka
Hardi
41
2SW11
Wentylator łazienkowy
WWB 150
100
-
-
-
-
0,017(230V)
P2.026
Łazienka
Hardi
42
2SW12
Wentylator łazienkowy
WWB 150
100
-
-
-
-
0,017(230V)
P2.028
43
2SW13
Wentylator łazienkowy
WWB 150
100
-
-
-
-
0,017(230V)
P2.031
44
2SW14
Wentylator łazienkowy
WWB 150
100
-
-
-
-
0,017(230V)
P2.033
Łazienka
oddziałowa
Łazienka
oddziałowa
Łazienka
Hardi
Hardi
Hardi
Hardi
Hardi
45
2SW15
Wentylator łazienkowy
WWB 150
100
-
-
-
-
0,017(230V)
P2.038
Łazienka
Hardi
46
2SW16
Wentylator łazienkowy
WWB 150
100
-
-
-
-
0,017(230V)
P2.040
Łazienka
Hardi
47
2SW17
Wentylator łazienkowy
WWB 150
100
-
-
-
-
0,017(230V)
P2.042
Łazienka
Hardi
48
2SW18
Wentylator łazienkowy
WWB 150
100
-
-
-
-
0,017(230V)
P2.048
Łazienka
Hardi
49
2SW19
Wentylator łazienkowy
WWB 150
100
-
-
-
-
0,017(230V)
P2.052
Łazienka
Hardi
Hardi
50
2SW20
Wentylator łazienkowy
WWB 150
100
-
-
-
-
0,017(230V)
P2.054
Wc personeluk
51
2SW21
Wentylator łazienkowy
WWB 150
100
-
-
-
-
0,017(230V)
P2.056
Łazienka
Hardi
52
2SW22
Wentylator łazienkowy
WWB 150
100
-
-
-
-
0,017(230V)
P2.058
Łazienka
Hardi
53
2SW23
Wentylator łazienkowy
WWB 150
100
-
-
-
-
0,017(230V)
P2.060
Łazienka
Hardi
54
2SW24
Wentylator łazienkowy
WWB 150
100
-
-
-
-
0,017(230V)
P2.062
Łazienka
Hardi
55
2SW25
Wentylator łazienkowy
WWB 150
100
-
-
-
-
0,017(230V)
P2.064
Łazienka
Hardi
56
2SW26
Wentylator łazienkowy
WWB 150
100
-
-
-
-
0,017(230V)
P2.066
Łazienka
Hardi
57
2SW27
Wentylator łazienkowy
WWB 150
100
-
-
-
-
0,017(230V)
P2.068
Łazienka
Hardi
58
2SW28
Wentylator łazienkowy
WWB 150
100
-
-
-
-
0,017(230V)
P2.070
Łazienka
Hardi
59
2SW29
Wentylator łazienkowy
WWB 150
100
-
-
-
-
0,017(230V)
P2.075
Łazienka
Hardi
60
2SW30
Wentylator łazienkowy
WWB 150
100
-
-
-
-
0,017(230V)
P2.077
Łazienka
Hardi
61
2SW31
Wentylator łazienkowy
WWB 150
100
-
-
-
-
0,017(230V)
P2.079
Łazienka
Hardi
62
2SW32
Wentylator łazienkowy
WWB 150
100
-
-
-
-
0,017(230V)
P2.081
Łazienka
Hardi
63
2SW33
Wentylator łazienkowy
WWB 150
100
-
-
-
-
0,017(230V)
P2.083
Łazienka
Hardi
64
2SW34
Wentylator łazienkowy
WWB 150
100
-
-
-
-
0,017(230V)
P2.085
Łazienka
Hardi
65
2SW35
Wentylator łazienkowy
WWB 150
100
-
-
-
-
0,017(230V)
P2.087
Łazienka
Hardi
66
2SW36
Wentylator łazienkowy
WWB 150
100
-
-
-
-
0,017(230V)
P2.089
Łazienka
Hardi
67
2SW37
Wentylator łazienkowy
WWB 150
100
-
-
-
-
0,017(230V)
P2.095
Wc nps
Hardi
Wc personelum
Wc personelum
Hardi
68
2SW38
Wentylator łazienkowy
WWB 150
100
-
-
-
-
0,017(230V)
P2.107
69
2SW39
Wentylator łazienkowy
WWB 150
100
-
-
-
-
0,017(230V)
P2.107
70
2SW40
Wentylator łazienkowy
WWB 150
100
-
-
-
-
0,017(230V)
P2.110
Łazienka
Hardi
71
SN1
System napowietrzania
SMPA-100
-
-
-
-
-
9(400V)
Dach
Flakt Woods
72
SN2
System napowietrzania
SMPA-100
-
-
-
-
-
9(400V)
Dach
Flakt Woods
73
SN3
System napowietrzania
SMPA-100
-
-
-
-
-
9(400V)
Dach
Flakt Woods
74
SN4
System napowietrzania
SMPA-100
-
-
-
-
-
9(400V)
Dach
Flakt Woods
K1
Klimatyzator tylko
chłodzący do pracy
całorocznej
FAQ71B+RZQ71DV+B
RC1DSZ
-
-
-
-
7,1
2,65(230V)
serwerownia
2.096 / Dach
Daikin
75
Hardi
76
K2
Klimatyzator tylko
chłodzący do pracy
całorocznej
FAQ71B+RZQ71DV+B
RC1DSZ
-
-
-
-
7,1
2,65(230V)
77
3N1
NawilŜacz parowy
Hygromatic HY45
-
-
-
-
-
33,8(400V)
78
3N2
NawilŜacz parowy
Hygromatic HY30
-
-
-
-
-
22,5(400V)
79
3N3
NawilŜacz parowy
Hygromatic HY30
-
-
-
-
-
22,5(400V)
80
3N4
NawilŜacz parowy
Hygromatic HY30
-
-
-
-
-
22,5(400V)
serwerownia
4.003 / Dach
Obejście
brudne 3.035
Obejście
brudne 3.035
Obejście
brudne 3.035
Obejście
brudne 3.035
Daikin
Smoke Master SMPA
Kompaktowy, nadciśnieniowy system kontroli
rozprzestrzeniania dymu na drogach ewakuacyjnych
Jednostka wentylatora SMPA Dane techniczne
Fläkt Woods FILO EN 2009.05 1
Wszystkie prawa zastrzeżone.
Smoke Master SMPA
Kompaktowy, nadciśnieniowy system kontroli
rozprzestrzeniania dymu na drogach ewakuacyjnych
Charakterystyka systemu
1 Budowa i działanie systemu
1.1 Informacje ogólne
1.2 Szybki przewodnik oraz
wymiarowanie
2 Dane techniczne
2.1 Wymiary
2.2 Materiały
3 Wyposażenie elektryczne oraz
elementy automatyki
3.1 Informacje ogólne
3.2 SMPA dane do podłączenia
elektrycznego
3.3 Schemat okablowania i podłączeń
elektrycznych
3.4 Panel sterowania SMPZ-3
3.5 Przekaźnik różnicy ciśnieniń
SMIZ-4
3.6 Detektor dymu FDRC-1-SMPA
(dodatkowa opcja)
4 Wentylacja pomieszczeń
4.1 Informacje ogólne
4.2 Wytwarzanie nadciśnienia bez
wentylacji pomieszczeń
5 Instalacja
5.1 Instalacja na ścianie
5.2 Instalacja dachowa
6 Kod produktu
6.1 Dodatkowe opcje
Charakterystyka systemu
1c
1a, 1b tai 1c
2a, 2b tai 2c
1b
2b/2c
SMPA-1
SMPZ-2
Moduł wentylatora
4
3
Moduł sterowania
4
2a
1a
3
SMPZ-3
Schemat rozmieszczenia
SMOKE MASTER SMPA jest
kompleksowym rozwiązaniem
służącym do utrzymywania
nadciśnienia na drogach ewak
uacji. Cały system oraz jego
poszczególne podzespoły
zostały zaprojektowane w taki
sposób, by spełniały
wymagania określone
w normie EN 12101-6.
SMIZ-4
Panel sterowania
System poddano różnorodnym
badaniom laboratoriach Fläkt
Woods. SMPA zostało zaprojektowane w celu utrzymywania
nadciśnienia na różnego rodzaju
drogach ewakuacji, takich jak
klatki schodowe budynków
mieszkalnych podziemne tunele
(drogi) ewakuacyjne a także
drogach ewakuacji z parkingów
podziemnych. Moduł wentylatora
SMPA-1 jest dostępny
Przekaźnik różnicy ciśnienia
w trzech rozmiarach co czyni go
odpowiednim do zastosowania
w szerokim zakresie wydajności.
Dzięki swojej kompaktowej
budowie i niewielkim rozmiarom
moduł SMPA-1 doskonale
nadaje się również do zastosowania w obiektach poddanych
remontom i renowacjom.
W blokach mieszkalnych moduł
wentylatora może być zainstalowany zarówno w górnej jak
i dolnej części klatki schodowej.
Kompleksowe rozwiązanie jakim
jest system SMPA obejmuje
zintegrowaną klapę
nawiewno-wywiewną,
wyposażoną w siłowniki, moduł
wentylatora, panel sterowania
oraz moduł sterowania.
Budowa i działanie systemu
1.1 Informacje ogólne
Wiele czynników wpływa
na wybór klasy systemu
podwyższania ciśnienia, na
przykład jest to wielkość
budynku lub plan ewakuacji.
Klasa systemu powinna być
zawsze ustalona w porozumieniu
z ekspertami ze straży pożarnej
Celem systemu podwyższania
ciśnienia jest bezzwłoczne
wytworzenie na klatce schodowej
nadciśnienia w wysokości
ok. 50Pa w wypadku pożaru
w przylegającym do niej
obszarze. System uruchamiany
System został zaprojektowany
w oparciu o wymagania normy
EN 12101-6 oraz dla różnych
klas systemów podwyższania
ciśnienia. W praktyce
projektowej należy zwrócić
specjalną uwagę na wybór
odpowiedniej klasy systemu
podwyższania ciśnienia,
ponieważ różne klasy będą
skutkowały różnymi kryteriami
przepływu powietrza.
1.2 Szybki przewodnik oraz wymiarowanie
W porozumieniu z właściwymi
służbami ratowniczymi należy
określić klasę systemu
podwyższania ciśnienia. Wybrać
na podstawie klasy ciśnienia
oraz liczby kondygnacji
najbardziej odpowiedni rozmiar
z rodziny produktów SMPA.
Skonsultować się
z ekspertem firmy Fläkt
Woods w celu doboru
najbardziej odpowiedniego urządzenia do
projektu.
Kryterium przepływu powietrza
1
2
0,75 m/s
Klasa ciśnienia A
Liczba kondygnacji
3
Klasa ciśnienia C
SMPA
Liczba kondygnacji
SMPA
3-8
040
8-12
050, 063
8-12
040, 050
12-
063
12-
050, 063
-
-
Kryterium różnicy ciśnień
(wszystkie drzwi zamknięte)
Kryterium różnicy cisnień
2
jest przez detektor dymu
zainstalowany w obrębie
palącego się obszaru.
Jednocześnie otwarty powinien
zostać wywietrznik dymowy
zainstalowany na tym obszarze.
Minimalna powierzchnia
otworu wywietrznika netto
powinna wynosić 0.5m².
Prędkość przepływu przez
otwarte drzwi między klatką
schodową o podwyższonym
ciśnieniu a płonącym
obszarem powinna być nie
mniejsza 0.75m/s.
2
10 Pa
1
Warunki projektowe dla klasy ciśnienia C. 1. Otwarte drzwi, 2. Zamknięte drzwi, 3. Wywietrzniki.
50 Pa
3
Dane techniczne
2.1 Wymiary
Wyłączniki bezpieczeństwa
Szerokość b
Wysokość h
Głębokość s
Ød
X
Y
SMPA-1-040
721
571
730
400
514
87
SMPA-1-050
841
689
781
500
620
63
SMPA-1-063
971
819
780
600
737
63
2.2 Materiały
Moduł wentylatora: Zewnętrzne
i wewnętrzne ścianki są wykonane z ocynkowanej blachy sta-
Ciężar kg
lowej, przy czym obudowa jest
SMPA-1-040
90
zaizolowana 100mm warstwą
SMPA-1-050
120
SMPA-1-063
170
wełny mineralnej. Klapa dymowa
jest wykonana z ocynkowanej
blachy stalowej także izolowaną
warstwą wełny mineralnej.
Wyposażenie elektryczne oraz elementy automatyki
3.1 Informacje ogólne
Każdy egzemplarz systemu
oddymiania SMOKE MASTER SMPA dostarczany jest
z niezbędnym wyposażeniem
elektrycznym oraz automatyką.
Podstawowa wersja systemu
SMPA zawiera wymienione niżej
elementy wyposażenia
elektrycznego oraz automatyki:
Moduł sterowania SMPZ-2
Panel sterowania SMPZ-3
Przekaźnik różnicy ciśnienia IZ-4
Wyłączniki bezpieczeństwa
Moduł sterowania SMPZ-2
Skrzynka przyłączeniowa
Przemiennik częstotliwości
(falownik)
Automatyczny system
sterowania
3.2 SMPA dane do podłączenia elektrycznego
System
Wentylator
Rozmiar
Całkowite
natężenie prądu
Moc
Natężenie
prądu
Prędkość
obrotowa
SMPA-040
4,5 A
1,6 kW
3,8 A
2800 obr/min
SMPA-050
12,0 A
6,2 kW
11,6 A
2910 obr/min
SMPA-063
16,0 A
8,3 kW
15,6 A
2910 obr/min
3.3 Schemat okablowania i podłączeń elektrycznych
a. Supply cable – kabel zasilający
b. Screen – osłona
c. Pressurisation fan – wentylator
podnoszący ciśnienie
d. Frequency converter – przetwornik częstotliwości (falownik)
e. Linear motor – siłownik liniowy
f. Pressure transmiter
– przetwornik ciśnienia
g. Control panel – panel sterujący
h. Stairwell smoke detector
– detektor dymu rozmieszc
zony na klatce schodowej
i. Supply – prąd zasilający
j. Apartment smoke detector
– detektor dymu rozmieszc zony w pomieszczeniu
k. Window opening motor
– siłownik otwierający
wywietrznik
l. Manual window opening
– ręczne otwarcie wywietrznika
Kable powinny posiadać
odporność ogniową lub być
w inny sposób chronione
przed ogniem. Kable pomiędzy
siłownikami, a wyłącznikami
w dostawie Fläkt Woods,
pozostałe okablowanie do
przygotowania przez elektryka
na obiekcie.
3.4 Panel sterowania SMPZ-3
Służy do sterowania procesem
wytwarzania nadciśnienia
i oddymiania.
Jest wyposażony w lampki
sygnalizujące.
3.5 Przekaźnik różnicy ciśnień SMIZ-4
do sterowania pracą wentylatora.
do zainstalowania na klatce
schodowej.
3.6 Detektor dymu FDRC-1-SMPA (dodatkowa opcja)
Wentylacja pomieszczeń
4.1 Informacje ogólne
Aby system podwyższania
ciśnienia działał prawidłowo
w pomieszczeniu, w którym
wybuchł pożar musi być zainstalowany automatycznie otwierany
wywietrznik, który otwiera się
w momencie zadziałania detektora dymu, pozwalając na wyprowadzenie na zewnątrz gazów
i dymów pożarowych. Wywietrznik taki powinien być zainstalowany w pobliżu wejścia
do pomieszczenia w celu
zapobieżenia sytuacji, w której
drzwi wewnętrzne ograniczałyby
przepływ gazów. Wywietrznikiem
może być na przykład okno,
klapa kanału oddymiającego,
lub inne podobne rozwiązanie.
Kluczowe znaczenie ma
minimalne otwarcie otworu wywietrznika (tzw. wolna przestrzeń),
które nie powinno być mniejsze
niż 0.5m². Wywietrzniki montowane w fasadzie budynku należy
zawsze projektować w ścisłej
współpracy z architektem i organami nadzoru przeciwpożarowego
co oznacza, że potrzeba instalacji w pomieszczeniach systemów oddymiania jest problemem,
który powinien być rozwiązywany
możliwie jak najwcześniej,
tj. już podczas wstępnych
spotkań związanych z realizacją
projektu budowlanego.
Moduł sterowania (tzw.
centrala oddymiająca) systemu SMOKE MASTER SMPA
potrzebuje sygnału sterującego
otrzymywanego z instalacji
oddymiających w pomieszczeniu poprzez beznapięciowy styk
zwierny (styk NO). Kompleksowe
rozwiązania wykorzystujące
wentylację pomieszczeń,
wyposażone w niezbędne
siłowniki, detektory dymu oraz
moduły sterowania, ułatwiają
proces projektowania i instalacji
systemu oddymiania. Kompleksowe rozwiązania kompatybilne
z systemem SMOKE MASTER
SMPA dostarcza firma Fläkt
Bovent.
Fläkt Bovent Sp. z o.o.
Panattoni Park Pruszków
ul. Południowa 2, Ołtarzew
05-850 Ożarów Mazowiecki
Tel.: + 48 (22) 392 43 43
Faks: +48 (22) 392 43 44
www.flaktbovent.pl
4.2 Wytwarzanie nadciśnienia bez wentylacji pomieszczeń
Aby nadciśnieniowy system
spełniał odpowiednie normy,
w każdym pomieszczeniu musi
być zainstalowany wywietrznik.
Jednak w rzeczywistości nie
zawsze jest to możliwe. Gdy
podejmowana jest świadoma
decyzja odstępstwa od norm
i wykorzystania ciśnieniowego
systemu oddymiania SMOKE
MASTER SMPA bez
wywietrzników w pomieszczeniach, podjęta przy ścisłej
współpracy ze służbami
ratunkowymi i nadzorem
budowlanym, należy
przestrzegać następujących
zasad:
• Aby zminimalizować ryzyko
otwartych drzwi do płonącego
pomieszczenia, należy stosować
systemy automatycznego
zamykania drzwi lub rozwiązania
o podobnej funkcjonalności
gwarantujące, że w razie pożaru
drzwi do płonącego pomieszczenia zostaną zamknięte.
• Lokatorzy pomieszczeń powinni być poinstruowani, poprzez
zapoznanie ich z odpowiednimi
instrukcjami oraz udział
w ćwiczeniach
przeciwpożarowych, że w
przypadku pożaru nie wolno
pozostawiać otwartych drzwi do
pomieszczeń.
• Gdy detektory dymu są zainstalowane na klatce schodowej,
powinny znajdować się na
każdym podeście schodowym.
Firma Fläkt Woods dostarcza
detektory dymu, które mogą być
podłączane bezpośrednio do
szafy sterującej.
Instalacja
5.1 Instalacja na ścianie
Rozmiar
A
B
b
H
h
L
040
689
836
721
707
571
730
050
802
952
837
820
686
778
063
932
1080
965
947
813
778
5.2 Instalacja dachowa
Kod produktu
Ciśnieniowy system oddymiania
SMPA-aaa
Rozmiar (cm) 040, 050, 063
Podstawowa wersja systemu
zawiera niżej wymienione:
Moduł wentylatora SMPA-1
Moduł sterowania SMPZ-2
Panel sterowania SMPZ-3
Przekaźnik różnicy ciśnień
SMIZ-4
6.1 Dodatkowe opcje
Detektor dymu FDRC-1-SMPA
Kody podzespołów systemu
(należy je podawać przy oddzielnym zamówieniu poszczególnych podzespołów):
Moduł wentylatora SMPA-1-aaa
Rozmiar (cm) 040, 050, 063
Moduł sterowania SMPZ-2-aaa
Rozmiar (cm) 040, 050, 063
Panel sterowania SMPZ-3
Przekaźnik różnicy ciśnień
SMIZ-4
Niniejsza instrukcja instalacji
jest także dostarczana z każdym
systemem SMIA. Aby uzyskać
więcej informacji, prosimy
kontaktować się z lokalnym
dostawcą produktów firmy Fläkt
Woods
We Bring Air to Life
Grupa Fläkt Woods Group
dostarcza szeroki asortyment
produktów i systemów do wentylacji budynków, wentylacji
przemysłowej i przygotowania
powietrza.
Sprzedawcy:
Fläkt Bovent Sp. z o.o.
Panattoni Park Pruszków
ul. Południowa 2, Ołtarzew
05-850 Ożarów Mazowiecki
Tel.: + 48 (22) 392 43 43
Faks: +48 (22) 392 43 44
www.flaktbovent.pl
SPN(H,V)
Nawiewnik z filtrem absolutnym
do pomieszczeñ czystych SPN(H,V)
Nawiewnik SPN jest przeznaczony do montażu sufitowego w pomieszczeniach
o wysokich wymaganiach dotyczących czystości powietrza. Nawiewnik SPNH
ma króciec przyłączny z boku skrzynki, a SPNV od góry. W urządzeniu zas−
tosowano wkład filtracyjny klasy H13 lub H14 wg PN−EN1822−1, zapewnia−
jący wysoką skuteczność filtracji. SPN może być również wyposażony w filtr
niższej klasy H11. Nawiewniki przeznaczone są do wentylacji pomieszczeń
czystych klasy 5÷8 wg PN−EN ISO 14644−1. Maksymalna ilość wymian powi−
etrza przy zastosowaniu elementów SPN wynosi 60 w/h.
Umieszczone w konstrukcji nawiewnika rurki impulsowe do pomiaru ciśnie−
nia, pozwalają na wykrycie zbyt wysokiego spadku ciśnienia na materiale
filtracyjnym, co jest wskazaniem do jego wymiany.
Nawiewniki SPN przeznaczone są do montażu w stropie podwieszonym
na wysokości 2,3 do 4,6 m od podłogi pomieszczenia. Strumień powietrza
nawiewanego ma charakter strumienia dyfuzyjnego kształtującego turbulent−
ny przepływ powietrza w pomieszczeniu wentylowanym. W celu utrzymania
stałej wydajności układu wentylacyjnego, zaleca się stosowanie w instalacji
z nawiewnikami SPN regulatorów stałej wydajności np. RWOA.
Nawiewnik wykonany jest z blachy stalowej lakierowanej. Konstrukcja urzą−
dzenia umożliwia łatwą i szybką wymianę wkładu filtracyjnego. Standardowo
w nawiewniku stosowane są filtry o wysokości 69 mm. Na zamówienie
nawiewnik może być dopasowany do filtrów o innej wysokości.
Szybki dobór
Nawiewnik
Maksymalny strumień objętości dla
nawiewnika SPN z filtrem klasy H13
Cechy produktu
Nawiewnik podłogowy SPN(H,V):
• przeznaczony do montażu sufi−
towego,
• zintegrowany ze skrzynka
przyłączną,
• z fitrem HEPA klasy H13
lub H14,
• 6 wielkości o szerokim zakresie
wydajności,
• dostępny z króćcem przyłącznym
okrągłym lub prostokątnym.
Przykładowy kod zamówienia:
• nawiewnik z filtrem
SPNV−31−45−1−13−1 – nawiewnik
wielkość 31, z króćcem przyłącz−
nym od góry, okrągłym, z uszczel−
ką gumową; z filterm klasy H13
o wymiarach 457x457x69 mm.
Lakierowany na biało, RAL9010.
Maksymalny strumień objętości dla
Strumień objętości przy
nawiewnika SPN z filtrem klasy H14
ciśnieniu akustycznym [l/s(m3/h)]
Wielkość
l/s
m3/h
l/s
m3/h
25dB (A)
30dB (A)
35dB (A)
SPNH(V)−18−30
78
280
46
165
54 (195)
68 (243)
–
SPNH(V)−25−45
133
480
103
370
92 (332)
115 (413)
–
SPNH(V)−31−45
175
630
103
370
128 (462)
153 (550)
–
SPNH(V)−31−53
181
650
142
510
128 (462)
153 (550)
182 (656)
SPNH(V)−35−61
264
950
181
650
182 (654)
210 (755)
243 (873)
SPNH(V)−40−61
308
1110
181
650
194 (697)
231 (832)
276 (992)
Ze względu na prawidłowe działanie nawiewnika z wkładem filtracyjnym, nie zaleca się przekraczania maksymal−
nych wartości strumienia objętości podanego w tabeli.
xx
SPN(H,V)
Dobór, zakres wydajności
Zakresy stosowania poszczególnych wielkości nawiewnika SPN(H,V)
z wkładem filtracyjnym klasy H13
Zakresy stosowania poszczególnych wielkości nawiewnika SPN(H,V)
z wkładem filtracyjnym klasy H14
Hp – wysokośc montażu nawiewnika
xx
SPN(H,V)
Wydajność, spadek ciśnienia na nawiewniku,
poziom hałasu
SPN(H,V)−18−30
SPN(H,V)−25−45
Strata ciśnienia dla nawiewnika SPN(H,V), kompletnego
z fitrem HEPA o wysokości H = 69 mm.
Na wykresach podano poziom ciśnienia akustycznego
Lp10 dla pomieszczenia o powierzchni pochłaniania 10m2
Sabine i tłumieniu 4dB.
xx
SPN(H,V)
Wydajność, spadek ciśnienia na nawiewniku,
poziom hałasu
SPN(H,V)−31−45
SPN(H,V)−31−53
Strata ciśnienia dla nawiewnika SPN(H,V), kompletnego
z fitrem HEPA o wysokości H = 69 mm.
Na wykresach podano poziom ciśnienia akustycznego
Lp10 dla pomieszczenia o powierzchni pochłaniania 10m2
Sabine i tłumieniu 4dB.
xx
SPN(H,V)
Wydajność, spadek ciśnienia na nawiewniku,
poziom hałasu
SPN(H,V)−35−61
SPN(H,V)−40−61
Strata ciśnienia dla nawiewnika SPN(H,V), kompletnego
z fitrem HEPA o wysokości H = 69 mm.
Na wykresach podano poziom ciśnienia akustycznego
Lp10 dla pomieszczenia o powierzchni pochłaniania 10m2
Sabine i tłumieniu 4dB.
xx
SPN(H,V)
Wartości maksymalnych spadków ciśnienia
dla nawiewnika z wkładem filtracyjnym
Wartości maksymalnych spadków ciśnienia na nawiewnikach są wskazaniem do wymiany wkładu filtracyjnego.
Pomiar za pomocą rurki impulsowej zainstalowanej w urządzeniu.
Maksymalny spadek ciśnienia dla wkładu klasy H13
Maksymalny spadek ciśnienia dla wkładu klasy H14
xx
SPN(H,V)
Wymiary, dane akustyczne
Wielkość
Filtr
A
B
C
D
E1
E2
F
G
Dn
SPN(H,V)−18−30
305x305x69
334
334
384
384
405
330
300
80
160
SPN(H,V)−25−45
457x457x69
486
486
536
536
445
330
450
80
200
SPN(H,V)−31−45
457x457x69
486
486
536
536
445
330
450
80
200
SPN(H,V)−31−53
535x535x69
556
556
606
606
497
330
520
80
250
SPN(H,V)−35−61
610x610x69
640
640
690
690
497
330
600
80
250
SPN(H,V−40−61
610x610x69
640
640
690
690
497
330
600
80
250
Poziom mocy akustycznej
Dla określenia poziomu mocy akustycznej w oktawach należy do wartości Lp10 dodać współczynnik korekcyjny KOK.
LW = Lp10 + KOK
Współczynnik korekcyjny KOK
Wielkość
Hz
63
125
250
500
SPN(H,V)−18−30
14
11
7
2
−3
−10
−16
−23
SPN(H,V)−25−45
12
11
9
1
−4
−9
−17
−24
SPN(H,V)−31−45
15
14
7
0
−3
−9
−15
−25
SPN(H,V)−31−53
15
14
7
0
−3
−9
−15
−25
SPN(H,V)−35−61
13
12
6
1
−2
−8
−17
−24
SPN(H,V)−40−61
16
15
6
0
−4
−8
−15
−25
1000 2000 4000 8000
xx
SPN(H,V)
Kod zamówienia
Kod zamówienia
Nawiewnik
z króćcem przyłącznym z boku
SPNH−aa−bb−c−dd−e
Wielkość nawiewnika – wielkość filtra
18−30, 25−45, 31−45, 31−53, 35−61, 40−61
Króciec przyłączny
1 – okrągły
2 – prostokątny
Klasa filtra
13 – H13
14 – H14
Kolor
1 – standard, biały RAL9010
2 – inny kolor z palety RAL
Nawiewnik
z króćcem przyłącznym od góry
SPNV−aa−bb−c−dd−e
Wielkość nawiewnika – wielkość filtra
18−30, 25−45, 31−45, 31−53, 35−61, 40−61
Króciec przyłączny
1 – okrągły
2 – prostokątny
Klasa filtra
13 – H13
14 – H14
Kolor
1 – standard, biały RAL9010
2 – inny kolor z palety RAL
xx
NWPA
Nawiewnik wirowo-promieniowy NWPA
Nawiewniki NWPA mają zastosowanie w budynkach użyteczności
publicznej takich jak: biura, hotele, szpitale, restauracje, sale konferencyjne
itp. Chętnie są stosowane także w przemyśle, w obiektach wielokondygna−
cyjnych, gdzie wymagane są dobre warunki komfortu cieplnego.
Nawiewniki NWPA montowane są w stropie podwieszanym lub bezpośred−
nio pod stropem. Pełne rozwinięcie strumienia w stosunkowo niedużej
odległości od nawiewnika pozwala na stosowanie tych nawiewników
w pomieszczeniach o wysokości od 2,2 m do 4,5 m.
Nawiewniki dostarczane są w pełnym zakresie kolorów wg życzenia
Zamawiającego. NWPA są łatwe w montażu z elementami przyłącznymi
do instalacji, takimi jak skrzynka rozprężna lub przyłącze kielichowe.
Mogą być wykonane w płycie kwadratowej o wymiarach 596x596 mm lub
innej, na życzenie Klienta, przystosowanej do montowania w stropach pod−
wieszonych.
Maksymalna różnica temperatury przy chłodzeniu: Δtp ≤ 12K.
Maksymalna różnica temperatury przy ogrzewaniu: Δtp ≤ 5K.
Szybki dobór
Wielkość
(mm)
Strumień powietrza
3
m /h
l/s
Wysokość usytuowa− Poziom ciśnienia aku−
nia nawiewnika (m) stycznego LA10 dB(A)
NWPA−12
40 – 130
11 – 36
2.2 – 3.4
20 – 36
NWPA−16
60 – 220
17 – 61
2.4 – 4.0
20 – 40
NWPA−18
75 – 300
21 – 83
2.4 – 4.0
20 – 42
NWPA−20
100 – 360
28 – 100
2.4 – 4.0
20 – 43
NWPA−25
140 – 480
39 – 133
2.7 – 4.0
20 – 38
NWPA−31
200 – 700
56 – 194
2.7 – 4.0
20 – 38
NWPA−35
400 – 960 111 – 267
2.9 – 4.5
20 – 40
NWPA−40
500 – 1230 139 – 342
2.9 – 4.5
20 – 42
NWPA−50
800 – 2000 220 – 560
3.0 – 4.6
20 – 43
xx
Cechy produktu
Nawiewnik wirowo−promieniowy
NWPA:
• do montażu sufitowego lub
wolnowiszący,
• mozliwość przyłączenia do insta−
lacji przez skrzynkę rozprężną
lub przyłącze kielichowe,
• w wersji okrągłej lub płycie
kwadratowej,
• duża indukcja powietrza.
Przykładowy kod zamówienia
• nawiewnik wirowo−promieniowy
NWPA−18−1−1 – wielkość 18,
w wersji okrągłej, lakierowany
na kolor biały RAL 9010.
• skrzynka przyłączna
SKZA−20−16−0−1 – wielkość
nawiewnika 20, przyłącze 160
mm, nieizolowana z przepust−
nicą.
NWPA
Przyłącze SKZA (skrzynka rozprężna)
Typ
D1
D2
L
K
B
X min
X max
SKZA−125−100
129
97
310
167
125
47
48
SKZA−160−125
164
122
390
192
165
48
50
SKZA−180−160
184
157
390
227
165
50
54
SKZA−200−160
204
157
390
227
165
55
59
SKZA−250−200
254
197
490
267
200
61
66
SKZA−315−250
319
247
580
317
252
65
76
SKZA−355−250
359
247
640
317
292
61
70
SKZA−400−315
404
312
720
382
315
65
76
SKZA−500−315
504
312
720
382
345
81
94
xx
NWPA
Przyłącze SKOA (skrzynka rozprężna)
Typ
D2
L
K
B
C
SKOA−125−100
97
310
217
125
78
SKOA−160−125
122
390
242
165
78
SKOA−180−160
157
390
277
165
78
SKOA−200−160
157
390
277
165
78
SKOA−250−200
197
490
317
200
78
SKOA−315−250
247
580
367
252
78
SKOA−355−250
247
640
367
292
78
SKOA−400−315
312
720
432
315
78
SKOA−500−315
312
720
432
345
78
xx
NWPA
Przyłącze PKAA (kielichowe)
Wielkość
∅ D1 (mm) ∅ D2 (mm) ∅ D3 (mm) ∅ D4 (mm) ∅ D5 (mm) L3 (mm)
H1 (mm)
H2 (mm)
H3 (mm)
H4 (mm)
12
124
158
188
100
153
30
38
54
69
110
16
159
190
240
125
188
30
40
55
76
120
18
179
215
270
160
208
30
44
62
76
120
20
199
244
300
160
228
30
44
62
76
120
25
249
300
375
200
278
30
48
73
113
156
31
314
374
460
250
343
40
53
81
131
171
35
354
420
515
250
383
40
60
90
145
205
40
399
470
595
315
428
40
56
92
144
205
50
499
600
750
315
528
40
86
136
228
288
xx
NWPA
Dobór nawiewników z przyłączem SKZA/SKOA
SKZA
SKOA
Hp – wysokość zawieszenia nawiewnika (odległość płaszczyzny wylotowej od podłogi).
Na wykresach podano poziom ciśnienia akustycznego LA10 dla pomieszczenia o powierzchni pochłaniania 10 m2
Sabine i tłumieniu 4dB.
xx
NWPA
Dobór nawiewników z przyłączem PKAA
PKAA
Hp – wysokość zawieszenia nawiewnika (odległość płaszczyzny wylotowej od podłogi).
Na wykresach podano poziom ciśnienia akustycznego LA10 dla pomieszczenia o powierzchni pochłaniania 10 m2
Sabine i tłumieniu 4dB.
xx
NWPA
Zasięg strumienia, obliczanie rozstawu nawiewników
Zasięg strumienia
Obliczanie rozstawu nawiewników
Przykład:
Całkowita ilość powietrza
Średnica nawiewnika
Wysokość zamontowania
nawiewnika
Liczba nawiewników
Ilość powietrza nawiewa−
nego przez nawiewnik
Odległość pomiędzy
nawiewnikami
xx
– Vp = 24000 m3/h
– DN = 250 mm
– Hp =3.4 m
– i = 80
– V = 300 m3/h
– tmin = 2.6 m
NWPA
Poziom mocy akustycznej, tłumienie dźwięku
Poziom mocy akustycznej
Tłumienie dźwięku
Poziom mocy akustycznej w poszczególnych oktawach
można określić przez dodanie do poziomu ciśnienia
akustycznego LA10 w dB(A) współczynnika korek−
cyjnego Kok z tabeli wg wzoru.
Nawiewnik ze skrzynką bez izolacji akustycznej
Wielkość
LW = LA10 + Kok
Przyłącza SKZA, SKOA
Współczynnik korekcyjny Kok w dB przy
Wielkość
(Hz)
12
63
11
125
10
250
6
500
1
1000
−3
2000
−5
4000
−11
8000
−21
16
14
13
8
2
−8
−13
−19
−21
18
14
13
5
2
−6
−9
−15
−22
20
14
13
5
1
−4
−8
−14
−21
25
13
12
8
1
−5
−10
−16
−25
31
13
12
7
2
−3
−11
−17
−24
35
14
13
6
0
−3
−7
−13
−22
40
13
12
8
2
−6
−10
−16
−24
50
10
10
7
3
−2
−7
−16
−25
12
63
5
125
4
250
3
500
4
1000
−3
2000
−10
4000
−16
−25
7
6
4
4
−1
−10
−16
−24
18
6
5
4
4
−1
−10
−16
−25
20
8
6
5
3
−3
−10
−16
−25
25
10
9
5
3
−5
−11
−17
−25
31
10
9
6
2
−4
−8
−15
−25
35
11
10
5
2
−2
−8
−14
−21
40
50
9
10
8
9
6
3
3
2
−4
−1
−7
−7
−13
−13
250
500
1000
2000
4000
8000
12
0
4
5
10
8
5
2
3
16
0
4
2
9
6
4
3
3
18
1
1
4
6
7
3
1
0
20
1
1
4
7
7
4
1
1
25
2
4
4
9
5
4
4
1
31
1
4
4
11
7
2
3
0
35
3
2
3
7
4
4
3
1
40
3
2
2
6
8
4
3
2
50
3
4
4
9
5
3
2
1
Tłumienie dźwięku w dB przy
(Hz)
8000
16
125
Wielkość
Współczynnik korekcyjny Kok w dB przy
(Hz)
63
Nawiewnik ze skrzynką z izolacją akustyczną
Przyłącza PKAA
Wielkość
Tłumienie dźwięku w dB przy
(Hz)
63
125
250
500
1000
2000
4000
8000
12
0
4
8
13
12
9
8
9
16
0
5
4
13
8
8
9
9
18
1
1
7
10
11
7
7
8
20
2
2
6
11
11
8
8
8
25
2
5
5
13
10
10
9
9
31
1
5
7
15
12
6
9
8
35
3
3
6
8
6
9
9
7
40
3
2
4
7
10
9
10
7
50
3
5
5
12
8
8
6
6
Nawiewnik bez skrzynki przyłącznej
Wielkość
Tłumienie dźwięku w dB przy
(Hz)
63
125
250
500
1000
2000
4000
8000
12
1
3
4
8
6
3
1
2
16
1
3
1
7
4
3
2
2
18
2
0
3
5
5
2
0
1
20
1
1
3
6
5
2
1
1
25
3
4
3
7
4
2
3
1
31
2
3
2
10
5
1
2
0
35
4
1
2
5
3
3
2
0
40
4
1
0
4
6
3
3
2
50
3
3
3
7
3
2
1
1
−25
−23
76
NWPA
NWPA pracujący jako wywiewnik z przyłączem PKAA
Współczynnik korekcyjny Kok
Współczynnik korekcyjny Kok w dB przy
Wielkość
(Hz)
63
125
250
500
1000
2000
4000
8000
12
5
4
2
2
−2
−4
−10
−20
16
2
1
−3
0
0
−6
−12
−21
18
−2
−3
−2
0
1
−3
−9
−19
20
−3
−3
−2
1
1
−5
−10
−21
25
0
−1
−2
1
1
−6
−12
−20
31
3
2
−1
1
1
−4
−10
−20
35
5
4
−2
0
−1
−4
−11
−19
40
0
−1
−2
0
0
−3
−9
−19
50
2
−2
−1
1
1
−4
−9
−19
77
NWPA
Regulacja wydajności, kod zamówienia
Regulacja wydajności z przepustnicą ZAED
Kod zamówienia
Nawiewnik wirowo−promieniowy
NWPA−aa−b−c
Średnica nawiewnika
12, 16, 18, 20, 25, 31, 35, 40, 50
1 – okrągły
2 – w płycie kwadratowej 596x596 mm (do wielkości 40)
(przy innym wymiarze należy podać
wielkość płyty)
Oznaczenie koloru RAL
1 – standardowy kolor biały RAL9010
X – inny kolor (należy podać jaki)
Skrzynka rozprężna
SKZA,SKOA−aa−bb−c−d
Średnica nominalna skrzynki DN
∅ D3 (mm)
k
Nmin (mm)
100
7,0
500
125
11,7
500
160
20,0
500
200
31,6
500
250
50,5
750
315
80,0
750
Średnica nominalna podejścia do kanału
0 – nieizolowana
1 – izolowana
Typ przepustnicy
0 – bez przepustnicy
1 – z przepustnicą ręczną
2 – z przepustnicą ZAED (standard)
N – wymagany prosty odcinek przewodu
przed przepustnicą
Oznaczenia
q
–
Δp –
Hp –
L02 –
LA10 –
LW
Kok
Przyłącze kielichowe
strumień powietrza z nawiewnika (m /h), (l/s)
spadek ciśnienia
wysokość umieszczenia nawiewnika
zasięg
poziom ciśnienia akustycznego w pomieszczeniu
o powierzchni pochłaniania 10 m2 Sabine
i tłumieniu 4 dB
– poziom mocy akustycznej (dB)
– współczynnik korekcyjny (dB)
3
Wielkość
12, 16, 18, 20, 25, 31, 35, 40, 50
Średnica nominalna przyłącza do kanału
0 – bez uszczelki
1 – króciec z uszczelką
78
PKAA−aa−bb−c
Przedstawicielstwo Techniczno Handlowe
ul. Piotrowskiego 11
85-098 Bydgoszcz
tel.052-349 34 26
fax. 052-349 34 09
e-mail: [email protected]
Oddziała chirurgii i ortopedii
Dane techniczne doboru urządzenia nr 143A/GG/11 ( 2N1/2W1 )
NAWIEW
WYCIĄG
Typ urządzenia
Wielkość
Grubość izolacji
Strona obsługi
GOLEM
GOLEM
3
3
70
70
Lewe
Prawe
Wydatek
m3/h
Spręż dyspozycyjny
Pa
6140
6070
600
600
Wykonanie zewnętrzne
Uwagi
Widok od strony obsługowej.
Jeżeli nie podano inaczej przyjmuje się, że standardowe prowadzenie króćców
wymienników i odpływu skroplin znajduje się po stronie obsługowej urządzenia.
NAWIEW
FK
Sekcja filtra kieszeniowego
Klasa filtra
Prędkość przepływu powietrza
Opory przepływu powietrza
Opory dopuszczalne
Wymiary filtrów
X
EU5
2,22
71
250
592x592x500/1; 287x592x500/1; 879x287x500/1;
Sekcja wymiennika krzyżowego
Nawiew, powietrze temp./wilg. wlot zima
Nawiew, powietrze temp./wilg. wylot zima
CP 143A/GG/11 (2N1/2W1)
v.2.6.2
2011-07-08
m/s
Pa
Pa
Firma Clima Produkt Sp.z o.o. zastrzega sobie prawo do
wprowadzenia zmiany producentów poszczególnych
podzespołów w stosunku do podanych w powyższej ofercie
-18/100
1,6/17
°C/%
°C/%
str. 1 / 4
Nawiew, opory przepływu powietrza zima
Nawiew, sprawność zima
Wyciąg, powietrze temp./wilg. wlot zima
Wyciąg, powietrze temp./wilg. wylot zima
Wyciąg, opory przepływu powietrza zima
Wyciąg, sprawność zima
Moc wymiennika zima
Nawiew, powietrze temp./wilg. wlot lato
Nawiew, powietrze temp./wilg. wylot lato
Nawiew, opory przepływu powietrza lato
Nawiew, sprawność lato
Wyciąg, powietrze temp./wilg. wlot lato
Wyciąg, powietrze temp./wilg. wylot lato
Wyciąg, opory przepływu powietrza lato
Wyciąg, sprawność lato
Moc wymiennika lato
HW
-3,4/100
20/20
51
2,8
48,6
Glikol propyl.
35
80
60
26
2,28
5
°C/%
°C/%
Pa
m/s
kW
32/45
20/82
107
2,8
33,3
Glikol propyl.
35
7
12
30
6,42
11
°C/%
°C/%
Pa
m/s
kW
%
°C
°C
kPa
m3/h
l
Sekcja chłodnicy wodnej
Powietrze temp./wilg. wlot
Powietrze temp./wilg. wylot
Opory przepływu powietrza
Prędkość przepływu powietrza
Moc wymiennika
Czynnik
Zawartość czynnika
Temp. czynnika wlot
Temp. czynnika wylot
Opory przepływu czynnika
Przepływ czynnika
Pojemność wymiennika
WP
Pa
%
°C/%
°C/%
Pa
%
kW
°C/%
°C/%
Pa
%
°C/%
°C/%
Pa
%
kW
Sekcja nagrzewnicy wodnej
Powietrze temp./wilg. wlot
Powietrze temp./wilg. wylot
Opory przepływu powietrza
Prędkość przepływu powietrza
Moc wymiennika
Czynnik
Zawartość czynnika
Temp. czynnika wlot
Temp. czynnika wylot
Opory przepływu czynnika
Przepływ czynnika
Pojemność wymiennika
CW
160
52
20/50
3,2/100
155
44,3
45,4
32/45
29/53
132
48,9
26/50
28,9/42
155
48,9
-5,6
%
°C
°C
kPa
m3/h
l
Sekcja wentylatora promieniowo-osiowego
Typ wentylatora
Pobór mocy
Obroty wentylatora
Ciśnienie statyczne
Spręż całkowity
Sprawność wentylatora
Moc akustyczna
Moc znamionowa silnika
Natężenie i napięcie prądu
Częstotliwość prądu
GPEB-1-050
2,4
1810
989
1017
71,2
87
3
6,6/400
64
kW
1/min
Pa
Pa
%
dB(A)
kW
A/V
Hz
WYCIĄG
CP 143A/GG/11 (2N1/2W1)
v.2.6.2
2011-07-08
Firma Clima Produkt Sp.z o.o. zastrzega sobie prawo do
wprowadzenia zmiany producentów poszczególnych
podzespołów w stosunku do podanych w powyższej ofercie
str. 2 / 4
FK
Sekcja filtra kieszeniowego
Klasa filtra
Prędkość przepływu powietrza
Opory przepływu powietrza
Opory dopuszczalne
Wymiary filtrów
WP
EU5
2,19
70
250
592x592x500/1; 287x592x500/1; 879x287x500/1;
m/s
Pa
Pa
Sekcja wentylatora promieniowo-osiowego
Typ wentylatora
Pobór mocy
Obroty wentylatora
Ciśnienie statyczne
Spręż całkowity
Sprawność wentylatora
Moc akustyczna
Moc znamionowa silnika
Natężenie i napięcie prądu
Częstotliwość prądu
GPEB-1-050
1,91
1678
825
852
72,9
85
2,2
4,8/400
58,9
Rozkład poziomu mocy akustycznej
Częstotliwość Hz
63
125
nawiew - wlot dB(A)
nawiew - wylot dB(A)
nawiew - otoczenie dB(A)
wyciąg - wlot dB(A)
wyciąg - wylot dB(A)
wyciąg - otoczenie dB(A)
27
40
19
31
37
18
44
51
30
48
48
29
250
500
1000
2000
4000
66
77
48
70
72
46
65
81
44
71
77
43
65
83
42
71
78
40
60
78
40
69
73
38
50
74
36
64
68
34
kW
1/min
Pa
Pa
%
dB(A)
kW
A/V
Hz
8000 Suma
47
69
17
62
64
16
71
87
51
77
82
49
Wymiary i ciężar
szerokość [mm] wysokość [mm]
NAWIEW
WYCIĄG
CP 143A/GG/11 (2N1/2W1)
v.2.6.2
2011-07-08
1 015
1 015
długość [mm]
1 055
1 055
Firma Clima Produkt Sp.z o.o. zastrzega sobie prawo do
wprowadzenia zmiany producentów poszczególnych
podzespołów w stosunku do podanych w powyższej ofercie
masa [kg]
(szacunkowa)
916
646
str. 4 / 4
Fläkt Bovent Sp. z o.o.
Panattoni Park Pruszków II
ul. Południowa 2, Ołtarzew
05-850 Ożarów Mazowiecki
SMPA 100 – dane techniczne
Moc
Natężenie prądu
Prędkość obrotowa
9 kW
17 A
1450 rpm
Średnica wentylatora
1000 mm
Klasa systemu
C
Predkosc powietrza na drzwiach otw [m/s]:
Drzwi zewnetrzne
Ilosc innych otwartych drzwi
Drzwi zewnetrzne dla kryterium nadcisnienia 10
Pa
Ilosc innych drzwi otwartych dla kryterium
nadcisnienia 10Pa
0,75
zamkniete
0
otwarte
0
Kryterium różnicy ciśnienia
Wszystkie drzwi zamknięte
Qd 0,83*Ae*P^(1/R)
Ae
P
R
0,1706
50
2
Q50
Q50
wsp. Kor.
Q50_kor
Q50_kor
1,00
3 604
1,5
1,50
5 406
m3/s
m3/h
AVA
4,00
0,75
3,00
10 800
m2
m/s
m3/s
m3/h
m3/s
m3/h
Kryterium przepływu powietrza
Wyznaczenie przepływu przez drzwi
v
QDO
QDO
AVA
delta P
Kryterium 10Pa
1,20 m2
10 Pa
Ae(10)
Q10_drzw
przeplyw na drzwiach przy 10Pa Q10_drzw
3,60 m2
9,45 m3/s
34 016 m3/h
Qnieszcz_10
Qnieszcz_10
0,45 m3/s
1 612 m3/h
Q10
Q10
9,90 m3/s
35 628 m3/h
wsp_kor
Q10_kor
TOTAL
1,15
40 972 m3/h
40 972 m3/h
przecieki przy 10Pa
Suma
Suma przeciekow
0,17059 m2
Przecieki przez drzwi
ilosc
Drzwi jednoskrzydl otw do przestrz o podw cisn
Drzwi jednoskrzydl otw z przestrz o podw cisn
Drzwi dwuskrzydl
Ae_drzwi
pow. nieszcz.
3
0,01
0
0,02
3
0,03
0,12 m2
Przecieki przez ściany wew
szczelna
przeciętna
nieszczelna
A_ścian-wew
A_drzwi-wew
A_ścian netto-wew
Ae_ścian wew
Przecieki przez okna
rozwierane bez uszczeln
rozwierane z uszczeln
przesuwne
425
0
425
0,047
ilosc
1,4E-05
1,1E-04
3,5E-04
m2
m2
m2
m2
obwod
0
4
0
0
5
0
Ae_okien
0,00072 m2
A_stropow
przeciętny
Ae_stropy
60,00 m2
5,2E-05
0,003 m2
Przecieki przez stropy
Przecieki przez ściany zew
szczelna
przeciętna
nieszczelna
bardzo nieszczelna
A_ścian-zew
A_drzwi-zew
A_ścian netto-zew
Ae_ścian zew
Przecieki do szybu windy
Drzwi szybu windy w klatce schodowej
Drzwi szybu windy do innych pomieszczen
Otwor dla przewietrzania szybu windy
przecietna
Sciany szybu windy ( z peknieciami w konstrukcji ale bez
szczelin wokol okien i drzwi)
Ogolna powierzchnia przeciekow do szybu windy
Ogolna powierzchnia przeciekow z szybu windy
Powierzchnia nieszczelnosci dla szybu windy
0
0
0
0,000
7,0E-05
2,1E-04
4,2E-04
1,3E-03
m2
m2
m2
m2
Ilosc
0
0
0 m2
0,00084
0 m2
0,00000 m2
0,000 m2
0,0000 m2
Klasa systemu
C
Predkosc powietrza na drzwiach otw [m/s]:
Drzwi zewnetrzne
Ilosc innych otwartych drzwi
Drzwi zewnetrzne dla kryterium nadcisnienia 10
Pa
Ilosc innych drzwi otwartych dla kryterium
nadcisnienia 10Pa
0,75
zamkniete
0
otwarte
0
Kryterium różnicy ciśnienia
Wszystkie drzwi zamknięte
Qd 0,83*Ae*P^(1/R)
Ae
P
R
0,1350
50
2
Q50
Q50
wsp. Kor.
Q50_kor
Q50_kor
0,79
2 851
1,5
1,19
4 277
m3/s
m3/h
AVA
2,50
0,75
1,88
6 750
m2
m/s
m3/s
m3/h
m3/s
m3/h
Kryterium przepływu powietrza
Wyznaczenie przepływu przez drzwi
v
QDO
QDO
AVA
delta P
Kryterium 10Pa
0,75 m2
10 Pa
Ae(10)
Q10_drzw
przeplyw na drzwiach przy 10Pa Q10_drzw
4,00 m2
10,50 m3/s
37 796 m3/h
Qnieszcz_10
Qnieszcz_10
0,35 m3/s
1 275 m3/h
Q10
Q10
10,85 m3/s
39 071 m3/h
wsp_kor
Q10_kor
TOTAL
1,15
44 931 m3/h
44 931 m3/h
przecieki przy 10Pa
Suma
Suma przeciekow
0,13495 m2
Przecieki przez drzwi
ilosc
Drzwi jednoskrzydl otw do przestrz o podw cisn
Drzwi jednoskrzydl otw z przestrz o podw cisn
Drzwi dwuskrzydl
Ae_drzwi
pow. nieszcz.
2
0,01
2
0,02
1
0,03
0,09 m2
Przecieki przez ściany wew
szczelna
przeciętna
nieszczelna
A_ścian-wew
A_drzwi-wew
A_ścian netto-wew
Ae_ścian wew
Przecieki przez okna
rozwierane bez uszczeln
rozwierane z uszczeln
przesuwne
380
0
380
0,042
ilosc
1,4E-05
1,1E-04
3,5E-04
m2
m2
m2
m2
obwod
0
4
0
0
6
0
Ae_okien
0,00086 m2
A_stropow
przeciętny
Ae_stropy
44,00 m2
5,2E-05
0,002 m2
Przecieki przez stropy
Przecieki przez ściany zew
szczelna
przeciętna
nieszczelna
bardzo nieszczelna
A_ścian-zew
A_drzwi-zew
A_ścian netto-zew
Ae_ścian zew
Przecieki do szybu windy
Drzwi szybu windy w klatce schodowej
Drzwi szybu windy do innych pomieszczen
Otwor dla przewietrzania szybu windy
przecietna
Sciany szybu windy ( z peknieciami w konstrukcji ale bez
szczelin wokol okien i drzwi)
Ogolna powierzchnia przeciekow do szybu windy
Ogolna powierzchnia przeciekow z szybu windy
Powierzchnia nieszczelnosci dla szybu windy
0
0
0
0,000
7,0E-05
2,1E-04
4,2E-04
1,3E-03
m2
m2
m2
m2
Ilosc
0
0
0 m2
0,00084
0 m2
0,00000 m2
0,000 m2
0,0000 m2
Fläkt Bovent Sp. z o.o.
Panattoni Park Pruszków II
ul. Południowa 2, Ołtarzew
05-850 Ożarów Mazowiecki
SMPA 100 – dane techniczne
Moc
Natężenie prądu
Prędkość obrotowa
9 kW
17 A
1450 rpm
Średnica wentylatora
1000 mm
Klasa systemu
C
Predkosc powietrza na drzwiach otw [m/s]:
Drzwi zewnetrzne
Ilosc innych otwartych drzwi
Drzwi zewnetrzne dla kryterium nadcisnienia 10
Pa
Ilosc innych drzwi otwartych dla kryterium
nadcisnienia 10Pa
0,75
zamkniete
0
otwarte
0
Kryterium różnicy ciśnienia
Wszystkie drzwi zamknięte
Qd 0,83*Ae*P^(1/R)
Ae
P
R
0,1706
50
2
Q50
Q50
wsp. Kor.
Q50_kor
Q50_kor
1,00
3 604
1,5
1,50
5 406
m3/s
m3/h
AVA
4,00
0,75
3,00
10 800
m2
m/s
m3/s
m3/h
m3/s
m3/h
Kryterium przepływu powietrza
Wyznaczenie przepływu przez drzwi
v
QDO
QDO
AVA
delta P
Kryterium 10Pa
1,20 m2
10 Pa
Ae(10)
Q10_drzw
przeplyw na drzwiach przy 10Pa Q10_drzw
3,60 m2
9,45 m3/s
34 016 m3/h
Qnieszcz_10
Qnieszcz_10
0,45 m3/s
1 612 m3/h
Q10
Q10
9,90 m3/s
35 628 m3/h
wsp_kor
Q10_kor
TOTAL
1,15
40 972 m3/h
40 972 m3/h
przecieki przy 10Pa
Suma
Suma przeciekow
0,17059 m2
Przecieki przez drzwi
ilosc
Drzwi jednoskrzydl otw do przestrz o podw cisn
Drzwi jednoskrzydl otw z przestrz o podw cisn
Drzwi dwuskrzydl
Ae_drzwi
pow. nieszcz.
3
0,01
0
0,02
3
0,03
0,12 m2
Przecieki przez ściany wew
szczelna
przeciętna
nieszczelna
A_ścian-wew
A_drzwi-wew
A_ścian netto-wew
Ae_ścian wew
Przecieki przez okna
rozwierane bez uszczeln
rozwierane z uszczeln
przesuwne
425
0
425
0,047
ilosc
1,4E-05
1,1E-04
3,5E-04
m2
m2
m2
m2
obwod
0
4
0
0
5
0
Ae_okien
0,00072 m2
A_stropow
przeciętny
Ae_stropy
60,00 m2
5,2E-05
0,003 m2
Przecieki przez stropy
Przecieki przez ściany zew
szczelna
przeciętna
nieszczelna
bardzo nieszczelna
A_ścian-zew
A_drzwi-zew
A_ścian netto-zew
Ae_ścian zew
Przecieki do szybu windy
Drzwi szybu windy w klatce schodowej
Drzwi szybu windy do innych pomieszczen
Otwor dla przewietrzania szybu windy
przecietna
Sciany szybu windy ( z peknieciami w konstrukcji ale bez
szczelin wokol okien i drzwi)
Ogolna powierzchnia przeciekow do szybu windy
Ogolna powierzchnia przeciekow z szybu windy
Powierzchnia nieszczelnosci dla szybu windy
0
0
0
0,000
7,0E-05
2,1E-04
4,2E-04
1,3E-03
m2
m2
m2
m2
Ilosc
0
0
0 m2
0,00084
0 m2
0,00000 m2
0,000 m2
0,0000 m2
Klasa systemu
C
Predkosc powietrza na drzwiach otw [m/s]:
Drzwi zewnetrzne
Ilosc innych otwartych drzwi
Drzwi zewnetrzne dla kryterium nadcisnienia 10
Pa
Ilosc innych drzwi otwartych dla kryterium
nadcisnienia 10Pa
0,75
zamkniete
0
otwarte
0
Kryterium różnicy ciśnienia
Wszystkie drzwi zamknięte
Qd 0,83*Ae*P^(1/R)
Ae
P
R
0,1350
50
2
Q50
Q50
wsp. Kor.
Q50_kor
Q50_kor
0,79
2 851
1,5
1,19
4 277
m3/s
m3/h
AVA
2,50
0,75
1,88
6 750
m2
m/s
m3/s
m3/h
m3/s
m3/h
Kryterium przepływu powietrza
Wyznaczenie przepływu przez drzwi
v
QDO
QDO
AVA
delta P
Kryterium 10Pa
0,75 m2
10 Pa
Ae(10)
Q10_drzw
przeplyw na drzwiach przy 10Pa Q10_drzw
4,00 m2
10,50 m3/s
37 796 m3/h
Qnieszcz_10
Qnieszcz_10
0,35 m3/s
1 275 m3/h
Q10
Q10
10,85 m3/s
39 071 m3/h
wsp_kor
Q10_kor
TOTAL
1,15
44 931 m3/h
44 931 m3/h
przecieki przy 10Pa
Suma
Suma przeciekow
0,13495 m2
Przecieki przez drzwi
ilosc
Drzwi jednoskrzydl otw do przestrz o podw cisn
Drzwi jednoskrzydl otw z przestrz o podw cisn
Drzwi dwuskrzydl
Ae_drzwi
pow. nieszcz.
2
0,01
2
0,02
1
0,03
0,09 m2
Przecieki przez ściany wew
szczelna
przeciętna
nieszczelna
A_ścian-wew
A_drzwi-wew
A_ścian netto-wew
Ae_ścian wew
Przecieki przez okna
rozwierane bez uszczeln
rozwierane z uszczeln
przesuwne
380
0
380
0,042
ilosc
1,4E-05
1,1E-04
3,5E-04
m2
m2
m2
m2
obwod
0
4
0
0
6
0
Ae_okien
0,00086 m2
A_stropow
przeciętny
Ae_stropy
44,00 m2
5,2E-05
0,002 m2
Przecieki przez stropy
Przecieki przez ściany zew
szczelna
przeciętna
nieszczelna
bardzo nieszczelna
A_ścian-zew
A_drzwi-zew
A_ścian netto-zew
Ae_ścian zew
Przecieki do szybu windy
Drzwi szybu windy w klatce schodowej
Drzwi szybu windy do innych pomieszczen
Otwor dla przewietrzania szybu windy
przecietna
Sciany szybu windy ( z peknieciami w konstrukcji ale bez
szczelin wokol okien i drzwi)
Ogolna powierzchnia przeciekow do szybu windy
Ogolna powierzchnia przeciekow z szybu windy
Powierzchnia nieszczelnosci dla szybu windy
0
0
0
0,000
7,0E-05
2,1E-04
4,2E-04
1,3E-03
m2
m2
m2
m2
Ilosc
0
0
0 m2
0,00084
0 m2
0,00000 m2
0,000 m2
0,0000 m2
Nazwa: 2N1
Typ: Nawiewny
Opis:
Sys.
Nr
Szt.
Nazwa
2N1
1
1
Centrala nawiewno/wywiewna dachowa
z wymiennikiem krzyŜowym,
nagrzewnicą wodną i chłodnicą wodną
GOLEM-3-70
2N1
2
4
Kolano symetryczne
Wymiary
alfa= 90
a= 900
b= 900
2N1
3
1
Tłumik kanałowy prostokątny
a= 900
b= 900
l= 1000
2N1
4
1
Redukcja symetryczna
a= 900
b= 900
c= 630
2N1
5
1
Przewód prostokątny
2N1
6
1
Kolano symetryczne
2N1
7
1
Przewód prostokątny
2N1
8
1
Redukcja symetryczna
2N1
9
1
Kolano asymetryczne
2N1
10
1
Przewód prostokątny
2N1
11
1
Podstawa dachowa zintegrowana
1200x630/1200x630 z cokołem
dachowym izolowanym
2N1
12
2
Kolano symetryczne
a= 630
alfa= 90
a= 630
a= 630
alfa= 90
a= 315
b= 630
a= 630
b= 630
e= 50
f= 50
d= 630
l= 450
e= 50
f= 50
r= 50
fg= 0
l= 2223
b= 630
r= 50
fg= 0
l= 3973
b= 630
c= 630
d= 1200
a= 1200
b= 630
d= 315
b= 1200
Materiał
l= 600
e= 50
f= 50
r= 50
l= 5500
ocynk
Producent
Uwagi
Clima-produkt
I Etap
Ogólne
I Etap
ocynk
Ogólne
I Etap
ocynk
Ogólne
I Etap
ocynk
Ogólne
I Etap
ocynk
Ogólne
I Etap
ocynk
Ogólne
I Etap
ocynk
Ogólne
I Etap
ocynk
Ogólne
I Etap
ocynk
Ogólne
I Etap
I Etap
alfa= 90
a= 600
b= 600
e= 50
f= 50
r= 50
fg= 0
ocynk
Ogólne
I Etap
2N1
13
1
Przewód prostokątny
a= 600
b= 600
l= 2776
ocynk
Ogólne
I Etap
2N1
14
1
Przewód prostokątny
a= 600
b= 600
l= 1000
ocynk
Ogólne
I Etap
2N1
15
1
Trójnik orłowy
a= 600
b= 600
2N1
16
1
Przewód prostokątny
a= 900
b= 900
2N1
17
1
Trójnik prosty z prostokątnym odejściem
a= 1200
b= 315
d= 600
g= 315
2N1
18
1
Przewód prostokątny
a= 315
b= 1200
l= 969
19
1
Odsadzka symetryczna
a= 315
b= 1200
e= 340
1
Trójnik redukcyjny z odejściem
prostokątnym
a= 315
b= 1200
d= 710
f= 158
l3= 100
20
r= 50
h= 1200
l= 1400
e= 700
f= 158
l3= 100
2N1
2N1
h= 600
l= 1479
2N1
21
1
Przepustnica prostokątna
a= 250
b= 900
l= 200
2N1
22
1
Odsadzka asymetryczna
a= 710
b= 315
d= 200
2N1
23
1
Zaślepka
a= 315
b= 1200
2N1
24
1
Przewód prostokątny
a= 250
b= 900
l= 1959
l= 1321
g= 250
h= 900
e= 200
l= 407
l= 1100
e= 550
ocynk
Ogólne
I Etap
ocynk
Ogólne
I Etap
ocynk
Ogólne
I Etap
ocynk
Ogólne
I Etap
ocynk
Ogólne
I Etap
ocynk
Ogólne
I Etap
ocynk
Ogólne
ocynk
Ogólne
ocynk
Ogólne
ocynk
Ogólne
I Etap
I Etap
2N1
25
2
2N1
26
4
2N1
27
1
Trójnik prosty z okrągłym odejściem
Anemostat wirowy okrągły
NWP+Skrzynka
izolowana z
PrzewódrozpręŜna
prostokątny
2N1
28
1
Redukcja asymetryczna
a= 900
b= 250
D2= 200
D= 160
a= 250
b= 900
d= 160
BD 200
= 18800
l=
a= 250
b= 800
c= 250
2N1
29
1
Przewód prostokątny
a= 250
b= 800
2N1
30
3
Trójnik prosty z okrągłym odejściem
a= 250
b= 800
d1= 125
l1= 3.06 m
d1= 125
l1= 425
L= 225
H= 125
d1= 125
2N1
31
1
2N1
32
1
2N1
33
17
Przewód okrągły
Trójnik symetryczny z odejściem
prostokąt.
Kratka wentylacyjna
prostokątna z
2N1
34
1
przepustnicą
Zaślepka
Ŝeńska
2N1
35
1
Przewód prostokątny
a= 250
2N1
36
1
d= 125
2N1
37
4
2N1
38
1
Przewód elastyczny
Anemostat wirowy okrągły
NWP+Skrzynka
izolowana z
PrzewódrozpręŜna
prostokątny
2N1
39
1
Przewód elastyczny
2N1
40
1
Trójnik prosty z prostokątnym odejściem
2N1
41
3
Kolano symetryczne
2N1
42
1
Redukcja asymetryczna
2N1
43
1
Przewód prostokątny
2N1
44
1
Kolano symetryczne
2N1
45
1
Odsadzka symetryczna
2N1
46
1
Przewód prostokątny
2N1
47
1
2N1
48
1
2N1
49
5
Trójnik prosty z prostokątnym odejściem
2N1
50
4
2N1
51
1
Kratka wentylacyjna prostokątna z
przepustnicą
Przewód
prostokątny
2N1
52
3
Kolano asymetryczne
b= 800
d= 900
l= 450
d= 125
l= 325
e= 163
a= 125
b= 225
e= 100
f= 125
l= 1436
g= 125
h= 200
l= 400
a= 200
b= 125
e= 50
f= 50
r= 50
b= 800
c= 250
d= 710
l= 370
e= 0
e= 50
f= 50
r= 50
l= 0.74 m
e= 200
f= 400
l3= 100
alfa= 90
a= 250
a= 250
alfa= 90
b= 710
ocynk
Ogólne
stal
Flakt Woods
ocynk
Ogólne
ocynk
Ogólne
ocynk
Ogólne
ocynk
Ogólne
ocynk
Ogólne
ocynk
Ogólne
stal
Ogólne
ocynk
Ogólne
ocynk
Ogólne
aluminium
Ogólne
I Etap
I Etap
I Etap
I Etap
I Etap
I Etap
stal
Flakt Woods
ocynk
Ogólne
aluminium
Ogólne
I Etap
ocynk
Ogólne
I Etap
I Etap
fg= 0
ocynk
Ogólne
I Etap
f= 0
ocynk
Ogólne
I Etap
ocynk
Ogólne
I Etap
fg= 0
ocynk
Ogólne
I Etap
l= 2051
a= 250
b= 710
a= 710
b= 250
e= 200
a= 125
b= 200
l= 394
Odsadzka symetryczna
a= 125
b= 200
e= 233
Przewód prostokątny
a= 125
b= 200
a= 125
b= 200
g= 125
L= 225
H= 125
k= ---------
stal
Ogólne
I Etap
a= 125
b= 200
l= 3251
ocynk
Ogólne
I Etap
ocynk
Ogólne
I Etap
alfa= 90
a= 125
53
1
Przewód prostokątny
a= 250
b= 710
2
Trójnik prosty z okrągłym odejściem
a= 710
b= 250
l= 455
l= 2013
b= 200
h= 225
l= 425
e= 213
f= 63
2N1
55
1
Przewód prostokątny
a= 250
b= 710
l= 16960
56
1
Redukcja asymetryczna
a= 250
b= 710
c= 200
2N1
57
1
Przewód prostokątny
a= 200
b= 800
a= 800
b= 200
d= 225
e= 50
f= 50
r= 50
l= 360
e= 180
f= 355
d= 800
l= 400
e= 0
f= 0
h= 200
l= 400
e= 200
f= 400
l= 1695
d= 160
2N1
Trójnik prosty z prostokątnym odejściem
l= 625
l3= 100
54
1
f= 0
l= 2583
b= 250
2N1
58
e= 0
k= 1
b= 800
2N1
2N1
f= 450
BD 240
= 1894
l=
D= 125
a= 250
a= 800
e= 180
l= 0.65 m
D2= 160
d= 125
l= 360
k= 1
l= 9630
g= 125
ocynk
Ogólne
I Etap
ocynk
Ogólne
I Etap
ocynk
Ogólne
I Etap
ocynk
Ogólne
I Etap
ocynk
Ogólne
I Etap
ocynk
Ogólne
I Etap
ocynk
Ogólne
I Etap
ocynk
Ogólne
I Etap
ocynk
Ogólne
I Etap
ocynk
Ogólne
I Etap
ocynk
Ogólne
I Etap
2N1
58
1
Trójnik prosty z prostokątnym odejściem
l3= 100
2N1
59
1
Przewód prostokątny
a= 125
b= 200
l= 427
2N1
60
1
Odsadzka symetryczna
a= 125
b= 200
e= 328
2N1
61
1
Przewód prostokątny
a= 125
b= 200
l= 599
l= 2860
2N1
62
1
Przewód prostokątny
a= 125
b= 200
2N1
63
1
Trójnik z odejściem kolanowym (prawy)
a= 200
b= 800
d= 315
g= 630
r= 100
l= 790
2N1
64
1
Kolano asymetryczne
d= 200
e= 50
f= 50
2N1
65
1
Przewód prostokątny
2N1
66
1
Trójnik prosty z prostokątnym odejściem
2N1
67
1
Przewód prostokątny
2N1
68
1
Kolano symetryczne
alfa= 90
l= 2798
a= 630
b= 485
a= 200
b= 630
l= 550
a= 630
b= 200
g= 125
h= 200
l= 400
e= 200
e= 50
f= 50
r= 50
r= 50
f= 315
l3= 100
a= 125
alfa= 90
b= 200
a= 125
l= 2724
b= 200
fg= 0
ocynk
Ogólne
I Etap
ocynk
Ogólne
I Etap
ocynk
Ogólne
I Etap
ocynk
Ogólne
I Etap
ocynk
Ogólne
I Etap
ocynk
Ogólne
I Etap
ocynk
Ogólne
I Etap
ocynk
Ogólne
I Etap
ocynk
Ogólne
I Etap
ocynk
Ogólne
I Etap
ocynk
Ogólne
I Etap
2N1
69
1
Przewód prostokątny
a= 125
b= 200
l= 648
ocynk
Ogólne
I Etap
2N1
70
1
Przewód prostokątny
a= 125
b= 200
l= 2871
ocynk
Ogólne
I Etap
2N1
71
1
Przewód prostokątny
2N1
72
1
Kolano symetryczne
a= 200
alfa= 90
b= 315
b= 315
b= 315
d= 125
2N1
73
1
Trójnik prosty z okrągłym odejściem
a= 200
2N1
74
1
Przewód okrągły
d1= 125
l1= 1.37 m
2N1
75
1
d= 125
l= 0.45 m
2N1
76
1
2N1
77
1
Przewód elastyczny
Anemostat wirowy okrągły
NWP+Skrzynka
izolowana z
RedukcjarozpręŜna
symetryczna
2N1
78
1
Przewód prostokątny
2N1
79
2
Kolano symetryczne
2N1
80
1
Przewód prostokątny
2N1
81
2
Kolano symetryczne
D2= 125
D= 125
a= 200
b= 315
a= 200
alfa= 90
a= 200
alfa= 90
l= 3235
a= 200
BD 225
= 200
c=
b= 250
l= 756
a= 250
b= 200
b= 250
l= 964
a= 200
b= 250
e= 50
l= 325
f= 50
r= 50
e= 163
f= 100
fg= 0
k= 1
ocynk
Ogólne
I Etap
ocynk
Ogólne
I Etap
ocynk
Ogólne
I Etap
ocynk
Ogólne
I Etap
aluminium
Ogólne
I Etap
stal
Flakt Woods
I Etap
ocynk
Ogólne
I Etap
d= 250
l= 158
ocynk
Ogólne
I Etap
e= 50
f= 50
r= 50
fg= 0
ocynk
Ogólne
I Etap
ocynk
Ogólne
I Etap
e= 50
f= 50
r= 50
fg= 0
ocynk
Ogólne
I Etap
2N1
82
1
Przewód prostokątny
a= 200
b= 250
l= 371
ocynk
Ogólne
I Etap
2N1
83
1
Przewód prostokątny
a= 200
b= 250
l= 189
ocynk
Ogólne
I Etap
2N1
84
2
Trójnik prosty z prostokątnym odejściem
a= 200
b= 250
g= 125
ocynk
Ogólne
I Etap
2N1
85
1
Przewód prostokątny
ocynk
Ogólne
I Etap
2N1
86
1
Trójnik prosty z prostokątnym odejściem
ocynk
Ogólne
I Etap
h= 225
l= 425
e= 213
f= 100
l3= 100
a= 200
b= 250
a= 200
b= 250
l= 1427
g= 125
h= 225
l= 525
e= 263
l3= 100
2N1
87
1
Przewód prostokątny
a= 200
b= 250
2N1
88
1
Zaślepka
a= 200
b= 250
b= 630
2N1
89
1
Trójnik prosty z okrągłym odejściem
a= 200
2N1
90
1
Przewód elastyczny
d= 200
l= 0.59 m
l= 1519
d= 200
l= 400
e= 200
f= 100
f= 100
ocynk
Ogólne
I Etap
ocynk
Ogólne
I Etap
ocynk
Ogólne
I Etap
aluminium
Ogólne
I Etap
2N1
91
2
2N1
92
1
Anemostat wirowy okrągły
NWP+Skrzynka
izolowana z
RedukcjarozpręŜna
asymetryczna
D2= 250
D= 200
a= 200
b= 400
BD 330
= 200
c=
k= 1
d= 630
l= 312
2N1
93
1
Przewód prostokątny
a= 200
b= 400
2N1
94
1
Trójnik z odejściem łukowym
a= 200
b= 400
d= 250
h= 315
r= 50
2N1
95
1
Redukcja asymetryczna
a= 200
b= 250
c= 160
d= 250
l= 125
2N1
96
1
Przewód prostokątny
a= 160
b= 250
l= 3176
2N1
97
4
Kolano symetryczne
2N1
98
1
Przewód prostokątny
alfa= 90
a= 160
a= 160
b= 250
e= 230
f= 0
l= 565
alfa 90
=0
f=
l= 5146
b= 250
e= 50
f= 50
e= 0
r= 50
fg= 0
l= 8514
stal
Flakt Woods
I Etap
ocynk
Ogólne
I Etap
ocynk
Ogólne
I Etap
ocynk
Ogólne
I Etap
ocynk
Ogólne
I Etap
ocynk
Ogólne
I Etap
ocynk
Ogólne
I Etap
ocynk
Ogólne
I Etap
2N1
99
1
Przewód prostokątny
a= 160
b= 250
l= 2033
ocynk
Ogólne
I Etap
2N1
100
1
Przewód prostokątny
a= 160
b= 250
l= 689
ocynk
Ogólne
I Etap
2N1
101
1
Trójnik prosty z prostokątnym odejściem
a= 160
b= 250
g= 125
h= 225
l= 425
ocynk
Ogólne
I Etap
2N1
102
2
Symetryczne przejście koło/prostokąt
a= 160
b= 250
d= 200
g= 80
l= 250
2N1
103
1
Przewód okrągły
d1= 200
2N1
104
1
Kolano segmentowe
alfa= 90
r= 1
2N1
105
2
Kolano prasowane
alfa= 90
r= 1
2N1
106
1
Przewód okrągły
d1= 200
2N1
107
1
Przewód elastyczny
d= 200
2N1
108
1
Redukcja asymetryczna
a= 200
2N1
109
1
Przewód prostokątny
2N1
110
1
Kolano symetryczne
2N1
111
1
Przewód prostokątny
Trójnik prosty z prostokątnym odejściem
a= 160
alfa= 90
l1= 0.96 m
d1 200
= 200
d1
=
l= 1.09 m
b= 315
c= 160
b= 315
l= 384
a= 160
b= 315
a= 160
b= 315
l= 705
a= 160
b= 315
g= 125
112
1
2N1
113
1
Przewód prostokątny
a= 160
b= 315
Trójnik redukcyjny z odejściem
prostokątnym
a= 160
b= 315
f= 80
l3= 100
L= 225
H= 160
a= 160
b= 200
l= 750
a= 160
b= 200
114
1
2N1
115
1
2N1
116
1
Kratka wentylacyjna prostokątna z
przepustnicą
Przewód
prostokątny
2N1
117
4
Kolano symetryczne
f= 80
l1= 2.24 m
2N1
2N1
e= 213
l3= 100
alfa= 90
Ogólne
I Etap
ocynk
Ogólne
I Etap
ocynk
Ogólne
I Etap
Ogólne
I Etap
Ogólne
I Etap
ocynk
Ogólne
I Etap
fg= 0
ocynk
Ogólne
I Etap
ocynk
Ogólne
I Etap
ocynk
Ogólne
I Etap
ocynk
Ogólne
I Etap
ocynk
Ogólne
I Etap
e= 50
f= 50
r= 50
h= 225
l= 425
e= 213
f= 80
g= 160
h= 225
l= 425
e= 213
l= 2466
r= 50
ocynk
ocynk
e= 0
f= 50
I Etap
I Etap
aluminium
l= 200
e= 50
Ogólne
Ogólne
f= 0
d= 315
l3= 100
d= 200
ocynk
ocynk
fg= 0
stal
Ogólne
I Etap
ocynk
Ogólne
I Etap
ocynk
Ogólne
I Etap
2N1
118
1
Przewód prostokątny
a= 160
b= 200
l= 663
ocynk
Ogólne
I Etap
2N1
119
1
Przewód prostokątny
a= 160
b= 200
l= 614
ocynk
Ogólne
I Etap
2N1
120
1
Przewód prostokątny
a= 160
b= 200
l= 457
ocynk
Ogólne
I Etap
2N1
121
1
Przewód prostokątny
a= 160
b= 200
l= 701
ocynk
Ogólne
I Etap
2N1
122
1
Trójnik prosty z prostokątnym odejściem
a= 160
b= 200
g= 125
ocynk
Ogólne
I Etap
l3= 100
h= 225
l= 425
e= 213
f= 80
2N1
2N1
123
124
1
Przewód prostokątny
a= 160
b= 200
1
Trójnik redukcyjny z odejściem
prostokątnym
a= 160
b= 200
f= 80
l3= 100
2N1
125
1
Przewód prostokątny
2N1
126
4
Kolano symetryczne
a= 160
alfa= 90
l= 2545
d= 160
b= 160
l= 760
a= 160
b= 160
g= 125
h= 225
l= 425
e= 213
e= 50
f= 50
r= 50
fg= 0
ocynk
Ogólne
I Etap
ocynk
Ogólne
I Etap
ocynk
Ogólne
I Etap
ocynk
Ogólne
I Etap
2N1
127
1
Przewód prostokątny
a= 160
b= 160
l= 481
ocynk
Ogólne
I Etap
2N1
128
1
Przewód prostokątny
a= 160
b= 160
l= 604
ocynk
Ogólne
I Etap
2N1
129
1
Przewód prostokątny
a= 160
b= 160
l= 404
ocynk
Ogólne
I Etap
2N1
130
1
Przewód prostokątny
ocynk
Ogólne
I Etap
ocynk
Ogólne
I Etap
2N1
131
2
Trójnik prosty z prostokątnym odejściem
a= 160
b= 160
l= 846
a= 160
b= 160
g= 125
h= 225
l= 425
e= 213
f= 80
l3= 100
2N1
132
1
Przewód prostokątny
a= 160
b= 160
2N1
133
1
Zaślepka
a= 160
b= 160
l= 2466
2N1
134
1
Trójnik prosty z prostokątnym odejściem
a= 710
b= 200
g= 125
h= 250
l= 450
e= 225
2N1
135
4
Kolano symetryczne
a= 250
b= 125
e= 50
f= 50
r= 50
2N1
136
1
Przewód prostokątny
2N1
137
2
Trójnik prosty z prostokątnym odejściem
2N1
138
4
2N1
139
1
Kratka wentylacyjna prostokątna z
przepustnicą
Przewód
prostokątny
2N1
140
2
Kolano asymetryczne
2N1
141
1
Redukcja asymetryczna
f= 355
l3= 100
alfa= 90
a= 125
b= 250
a= 125
b= 250
fg= 0
l= 1829
g= 125
h= 325
l= 525
e= 263
f= 63
l3= 100
L= 325
H= 125
a= 125
b= 250
alfa= 90
a= 200
l= 2731
a= 125
b= 250
d= 325
b= 710
c= 200
d= 500
l= 488
l= 1466
e= 163
2N1
142
1
Przewód prostokątny
a= 200
b= 500
2N1
143
2
a= 500
b= 200
l= 325
2N1
144
1
D2= 160
D=
k= 1
2N1
145
1
Trójnik prosty z okrągłym odejściem
Anemostat wirowy okrągły
NWP+Skrzynka
izolowana z
PrzewódrozpręŜna
prostokątny
a= 200
b=
2N1
146
8
Kolano prasowane
2N1
147
1
Przewód okrągły
d1= 125
l1=
2N1
148
1
Przewód okrągły
d1= 125
l1= 0.23 m
l1= 0.32 m
alfa= 90
2N1
149
1
Przewód okrągły
d1= 125
2N1
150
1
Symetryczne przejście koło/prostokąt
a= 125
2N1
151
4
Kolano symetryczne
alfa= 90
r=
d= 125
BD 200
125
= 454
500
l=
d1 125
1
=
4.35 m
e= 50
b= 225
d= 125
g= 80
l= 270
a= 500
b= 200
e= 50
f= 50
ocynk
Ogólne
I Etap
ocynk
Ogólne
I Etap
ocynk
Ogólne
I Etap
ocynk
Ogólne
I Etap
ocynk
Ogólne
I Etap
ocynk
Ogólne
I Etap
stal
Ogólne
I Etap
ocynk
Ogólne
I Etap
f= 50
r= 50
ocynk
Ogólne
I Etap
e= 0
f= 0
ocynk
Ogólne
I Etap
f= 250
r= 50
fg= 0
ocynk
Ogólne
I Etap
ocynk
Ogólne
I Etap
stal
Flakt Woods
I Etap
ocynk
Ogólne
I Etap
ocynk
Ogólne
I Etap
ocynk
Ogólne
I Etap
ocynk
Ogólne
I Etap
ocynk
Ogólne
I Etap
ocynk
Ogólne
I Etap
ocynk
Ogólne
I Etap
2N1
152
1
Przewód prostokątny
a= 200
b= 500
l= 336
ocynk
Ogólne
I Etap
2N1
153
1
Przewód prostokątny
a= 200
b= 500
l= 9455
ocynk
Ogólne
I Etap
2N1
154
1
Trójnik prosty z okrągłym odejściem
a= 500
b= 200
ocynk
Ogólne
I Etap
d= 160
l= 360
e= 180
f= 250
2N1
155
1
2N1
156
1
Anemostat wirowy okrągły
NWP+Skrzynka
izolowana z
PrzewódrozpręŜna
prostokątny
2N1
157
1
Trójnik prosty z prostokątnym odejściem
2N1
158
1
Przewód prostokątny
2N1
159
2
Kolano symetryczne
D2= 200
D= 160
b= 500
BD 200
= 8611
l=
k= 1
a= 200
a= 500
b= 200
g= 125
h= 250
l= 450
e= 225
e= 50
f= 50
r= 50
f= 250
l3= 100
a= 125
alfa= 90
b= 250
l= 803
a= 125
b= 250
fg= 0
stal
Flakt Woods
I Etap
ocynk
Ogólne
I Etap
ocynk
Ogólne
I Etap
ocynk
Ogólne
I Etap
ocynk
Ogólne
I Etap
2N1
160
1
Przewód prostokątny
a= 125
b= 250
l= 124
ocynk
Ogólne
I Etap
2N1
161
1
Przewód prostokątny
a= 125
b= 250
l= 130
ocynk
Ogólne
I Etap
2N1
162
1
Przewód prostokątny
a= 125
b= 250
l= 2959
ocynk
Ogólne
I Etap
2N1
163
1
Przewód prostokątny
a= 200
b= 500
l= 1800
ocynk
Ogólne
I Etap
2N1
164
1
Trójnik prosty z prostokątnym odejściem
a= 500
b= 200
g= 125
h= 125
l= 325
e= 163
ocynk
Ogólne
I Etap
2N1
165
1
Kolano symetryczne
a= 125
b= 125
e= 50
f= 50
r= 50
2N1
166
1
Przewód prostokątny
f= 250
l3= 100
alfa= 90
a= 125
b= 125
b= 125
fg= 0
l= 4388
2N1
167
1
Trójnik prosty z okrągłym odejściem
a= 125
2N1
168
1
Przewód elastyczny
d= 125
d= 125
l= 325
e= 163
2N1
169
1
Przewód prostokątny
a= 125
2N1
170
1
Odsadzka symetryczna
a= 125
b= 125
e= 340
l= 453
2N1
171
1
Redukcja symetryczna
a= 125
b= 125
c= 125
d= 225
l= 259
2N1
172
1
Redukcja asymetryczna
a= 200
b= 500
c= 200
d= 400
l= 250
2N1
173
1
Przewód prostokątny
a= 200
b= 400
l= 2959
2N1
174
2
Trójnik prosty z okrągłym odejściem
a= 400
b= 200
f= 63
l= 0.48 m
b= 125
l= 1032
d= 125
l= 325
e= 163
e= 0
f= 0
f= 200
ocynk
Ogólne
I Etap
ocynk
Ogólne
I Etap
I Etap
ocynk
Ogólne
aluminium
Ogólne
I Etap
ocynk
Ogólne
I Etap
ocynk
Ogólne
I Etap
ocynk
Ogólne
I Etap
ocynk
Ogólne
I Etap
ocynk
Ogólne
I Etap
ocynk
Ogólne
I Etap
2N1
175
1
Przewód okrągły
d1= 125
l1= 4.19 m
ocynk
Ogólne
I Etap
2N1
176
1
Przewód okrągły
d1= 125
l1= 0.32 m
ocynk
Ogólne
I Etap
l1= 0.54 m
ocynk
Ogólne
I Etap
ocynk
Ogólne
I Etap
ocynk
Ogólne
I Etap
2N1
177
1
Przewód okrągły
d1= 125
2N1
178
1
Symetryczne przejście koło/prostokąt
a= 125
b= 225
d= 125
2N1
179
1
Przewód prostokątny
a= 200
b= 400
l= 434
g= 80
l= 326
2N1
180
1
Przewód okrągły
d1= 125
l1= 3.32 m
ocynk
Ogólne
I Etap
2N1
181
1
Przewód elastyczny
d= 125
l= 0.70 m
aluminium
Ogólne
I Etap
2N1
182
1
Redukcja asymetryczna
a= 200
ocynk
Ogólne
I Etap
b= 400
c= 200
d= 250
l= 200
e= 180
2N1
183
1
Przewód prostokątny
a= 200
b= 250
l= 512
2N1
184
1
Trójnik prosty z okrągłym odejściem
a= 200
b= 250
d= 160
l= 360
2N1
185
1
2N1
186
1
187
1
BD 280
= 125
c=
k= 1
2N1
Przewód elastyczny
Anemostat wirowy okrągły
NPW+Skrzynka
izolowana z
RedukcjarozpręŜna
asymetryczna
2N1
188
1
Przewód prostokątny
d= 160
e= 0
f= 0
f= 100
l= 0.40 m
D2= 200
D= 160
a= 200
b= 250
a= 125
b= 200
l= 2352
d= 200
l= 125
e= 0
f= 0
ocynk
Ogólne
I Etap
ocynk
Ogólne
I Etap
aluminium
Ogólne
I Etap
stal
Flakt Woods
I Etap
ocynk
Ogólne
I Etap
ocynk
Ogólne
I Etap
2N1
189
1
Kolano asymetryczne
alfa= 90
a= 200
b= 125
d= 200
e= 50
f= 50
r= 50
ocynk
Ogólne
I Etap
2N1
190
1
Kolano asymetryczne
alfa= 90
a= 200
b= 200
d= 125
e= 50
f= 50
r= 50
ocynk
Ogólne
I Etap
2N1
191
1
Przewód prostokątny
a= 125
b= 200
l= 3838
ocynk
Ogólne
I Etap
2N1
192
1
Przewód prostokątny
a= 125
b= 200
l= 3405
ocynk
Ogólne
I Etap
a= 125
b= 200
2N1
193
1
Zaślepka
2N1
194
1
Kolano symetryczne
alfa= 90
a= 250
2N1
195
1
Przewód prostokątny
a= 160
b= 250
2N1
196
1
Trójnik prosty z okrągłym odejściem
a= 160
b= 250
2N1
197
1
2N1
198
4
2N1
199
1
Przewód elastyczny
Anemostat wirowy okrągły
NPW+Skrzynka
rozpręŜna
izolowana z
Odsadzka
okrągła
d= 125
b= 160
e= 50
D= 125
d1= 200
e= 196
r= 50
e= 163
f= 80
l= 4011
d= 125
l= 325
BD 260
= 556
l1=
k= 1
l= 0.60 m
D2= 160
f= 50
fg= 0
ocynk
Ogólne
I Etap
ocynk
Ogólne
I Etap
ocynk
Ogólne
I Etap
ocynk
Ogólne
I Etap
aluminium
Ogólne
I Etap
stal
Flakt Woods
I Etap
ocynk
Ogólne
I Etap
2N1
200
1
Przewód okrągły
d1= 200
l1= 0.94 m
ocynk
Ogólne
I Etap
2N1
201
2
Przewód okrągły
d1= 200
ocynk
Ogólne
I Etap
2N1
202
1
Symetryczny trójnik 90 stopni
d1= 200
2N1
203
3
Przewód okrągły
d1= 125
l1= 3.00 m
d3 125
l1= 170
= 0.50 m
l1=
2N1
204
1
Przewód elastyczny
d= 125
2N1
205
1
Przewód elastyczny
d= 125
2N1
206
1
Symetryczny trójnik 90 stopni z redukcją
d1= 200
2N1
207
1
Przewód elastyczny
2N1
208
1
2
2N1
ocynk
Ogólne
I Etap
ocynk
Ogólne
I Etap
l= 0.70 m
aluminium
Ogólne
I Etap
aluminium
Ogólne
I Etap
ocynk
Ogólne
I Etap
d= 125
l= 0.43 m
d2 125
= 0.69 m
l=
aluminium
Ogólne
I Etap
Przewód okrągły
d1= 125
l1= 3.00 m
Złączka mufowa
d1= 200
d3 125
=
l1= 348
ocynk
Ogólne
I Etap
ocynk
Ogólne
I Etap
2N1
5
Złączka mufowa
d1= 160
ocynk
Ogólne
I Etap
2N1
4
Złączka mufowa
d1= 125
ocynk
Ogólne
I Etap
Nazwa: Wy
Typ: Wyrzutowy
Opis:
Sys.
Nr Szt.
Typ
Wy
1
5
RRC1*
Wy
2
4
RRC1*
Wymiary
Nazwa
Wyrzutnia dachowa prostokątna z wyrzutem
pionowym typ E
Wyrzutnia dachowa prostokątna z wyrzutem
pionowym typ E
Materiał
Producent
Uwagi
a= 300
b= 600
l= 900
ocynk
Ogólne
II etap
a= 300
b= 900
l= 1350
ocynk
Ogólne
1szt. I etap, 3 szt. II etap
Nazwa: 2W1
Typ: Wywiewny
Opis:
Wymiary
Sys.
Nr
Szt.
Nazwa
2W1
1
1
Tłumik kanałowy prostokątny
a= 900
b= 900
l= 1000
2W1
2
1
Redukcja symetryczna
a= 900
b= 900
c= 630
2W1
3
1
Przewód prostokątny
a= 630
b= 630
l= 2495
2W1
4
4
Kolano symetryczne
2W1
5
1
Przewód prostokątny
a= 630
b= 630
2W1
6
1
Przewód prostokątny
a= 630
2W1
7
1
Redukcja symetryczna
a= 630
2W1
8
1
Kolano asymetryczne
2W1
9
1
Przewód prostokątny
a= 315
b= 1200
2W1
10
1
Trójnik orłowy
a= 1200
b= 315
d= 200
h= 200
r= 50
2W1
11
1
Redukcja asymetryczna
a= 200
b= 1200
c= 200
d= 800
l= 360
e= 0
2W1
12
1
Redukcja asymetryczna
a= 200
b= 1200
c= 200
d= 1200
l= 973
e= 505
2W1
13
1
Odsadzka symetryczna
a= 1200
b= 200
e= 200
l= 500
2W1
14
1
Redukcja asymetryczna
a= 200
b= 1200
c= 250
d= 900
2W1
15
1
Przepustnica prostokątna
a= 250
b= 900
2W1
16
1
Przewód prostokątny
a= 250
b= 900
2W1
17
2
Kolano symetryczne
2W1
18
1
Przewód prostokątny
a= 250
b= 900
2W1
19
1
Przewód prostokątny
a= 250
b= 900
alfa= 90
alfa= 90
alfa= 90
Materiał
Producent
Uwagi
ocynk
Ogólne
I Etap
ocynk
Ogólne
I Etap
ocynk
Ogólne
I Etap
ocynk
Ogólne
I Etap
l= 1399
ocynk
Ogólne
I Etap
b= 630
l= 2873
ocynk
Ogólne
I Etap
b= 630
c= 630
d= 1200
ocynk
Ogólne
I Etap
a= 1200
b= 630
d= 315
ocynk
Ogólne
I Etap
ocynk
Ogólne
I Etap
ocynk
Ogólne
I Etap
f= -101
ocynk
Ogólne
I Etap
f= 50
ocynk
Ogólne
I Etap
ocynk
Ogólne
I Etap
ocynk
Ogólne
I Etap
l= 200
ocynk
Ogólne
I Etap
l= 1765
ocynk
Ogólne
I Etap
ocynk
Ogólne
I Etap
l= 1825
ocynk
Ogólne
I Etap
l= 521
ocynk
Ogólne
I Etap
a= 630
a= 250
b= 630
d= 630
e= 50
l= 450
f= 50
r= 50
fg= 0
l= 600
e= 50
f= 50
r= 50
l= 5500
b= 900
e= 50
l= 600
f= 50
e= 0
r= 50
f= 0
fg= 0
2W1
20
3
Odsadzka symetryczna
a= 900
b= 250
2W1
21
1
Przewód prostokątny
a= 250
b= 900
2W1
22
1
Przewód prostokątny
a= 250
b= 900
2W1
23
1
Trójnik prosty z okrągłym odejściem
a= 900
b= 250
d= 160
2W1
24
3
Anemostat wirowy okrągły NWP+Skrzynka
rozpręŜna izolowana z przepustnicą (z króćcem
górnym)
D2= 200
D= 160
BD= 200
2W1
25
1
Przewód prostokątny
a= 250
b= 900
2W1
26
3
Trójnik prosty z okrągłym odejściem
a= 900
b= 250
2W1
27
13
Kolano prasowane
2W1
28
1
Przewód okrągły
d1= 125
2W1
29
1
Symetryczne przejście koło/prostokąt
a= 125
b= 225
2W1
30
4
Kratka wentylacyjna prostokątna z przepustnicą
L= 225
H= 125
2W1
31
1
Przewód prostokątny
a= 250
b= 900
2W1
32
1
Przewód okrągły
d1= 125
2W1
33
1
Przewód elastyczny
d= 125
2W1
34
4
Anemostat wirowy okrągły NWP+Skrzynka
rozpręŜna izolowana z przepustnicą (z króćcem
bocznym)
2W1
35
1
Przewód prostokątny
2W1
36
1
Trójnik prosty z prostokątnym odejściem
alfa= 90
ocynk
Ogólne
I Etap
l= 1037
ocynk
Ogólne
I Etap
l= 3604
ocynk
Ogólne
I Etap
ocynk
Ogólne
I Etap
stal
Flakt Woods
I Etap
ocynk
Ogólne
I Etap
ocynk
Ogólne
I Etap
ocynk
Ogólne
I Etap
ocynk
Ogólne
I Etap
ocynk
Ogólne
I Etap
stal
Ogólne
I Etap
ocynk
Ogólne
I Etap
l1= 4.85 m
ocynk
Ogólne
I Etap
l= 1.00 m
aluminium
Ogólne
I Etap
stal
Flakt Woods
I Etap
ocynk
Ogólne
I Etap
ocynk
Ogólne
I Etap
ocynk
Ogólne
I Etap
ocynk
Ogólne
I Etap
ocynk
Ogólne
I Etap
r= 1
e= 200
l= 735
l= 360
e= 180
f= 450
k= 1
l= 11052
d= 125
l= 325
e= 163
f= 450
d1= 125
l1= 1.71 m
d= 125
g= 80
l= 195
l= 3531
D2= 160
D= 125
BD= 240
a= 250
b= 900
l= 750
a= 900
b= 250
g= 125
k= 1
h= 200
l= 400
e= 200
f= 450
l3= 100
2W1
37
2
Kolano symetryczne
2W1
38
1
Przewód prostokątny
2W1
39
8
Trójnik prosty z prostokątnym odejściem
alfa= 90
a= 200
a= 125
b= 200
a= 200
b= 125
l3= 100
b= 125
e= 50
f= 50
r= 50
fg= 0
l= 1458
g= 125
h= 225
l= 425
e= 213
f= 100
2W1
40
13
Kratka wentylacyjna prostokątna z przepustnicą
L= 125
H= 225
k= ---------
stal
Ogólne
I Etap
2W1
41
1
Przewód prostokątny
a= 125
b= 200
l= 3249
ocynk
Ogólne
I Etap
2W1
42
4
Zaślepka
a= 125
b= 200
ocynk
Ogólne
I Etap
2W1
43
1
Przewód prostokątny
a= 250
b= 900
ocynk
Ogólne
I Etap
2W1
44
1
Przewód okrągły
d1= 125
l1= 4.37 m
ocynk
Ogólne
I Etap
2W1
45
1
Przewód elastyczny
d= 125
l= 0.86 m
aluminium
Ogólne
I Etap
2W1
46
1
Redukcja asymetryczna
a= 250
b= 900
c= 250
ocynk
Ogólne
I Etap
2W1
47
1
Przewód prostokątny
a= 250
b= 800
l= 400
ocynk
Ogólne
I Etap
2W1
48
1
Przewód prostokątny
a= 250
b= 800
l= 1400
ocynk
Ogólne
I Etap
2W1
49
1
Trójnik prosty z okrągłym odejściem
a= 250
b= 800
ocynk
Ogólne
I Etap
2W1
50
1
Przewód elastyczny
d= 160
aluminium
Ogólne
I Etap
2W1
51
1
Anemostat wirowy okrągły NWP+Skrzynka
rozpręŜna izolowana z przepustnicą (z króćcem
bocznym)
stal
Flakt Woods
I Etap
2W1
52
1
ocynk
Ogólne
I Etap
2W1
53
ocynk
Ogólne
I Etap
2W1
ocynk
Ogólne
I Etap
ocynk
Ogólne
I Etap
ocynk
Ogólne
I Etap
ocynk
Ogólne
I Etap
ocynk
Ogólne
I Etap
ocynk
Ogólne
I Etap
ocynk
Ogólne
I Etap
ocynk
Ogólne
I Etap
l= 947
d= 160
D= 160
BD= 280
Redukcja asymetryczna
a= 250
b= 800
c= 250
1
Przewód prostokątny
a= 250
b= 710
l= 579
54
1
Kolano symetryczne
a= 250
b= 710
2W1
55
1
Odsadzka symetryczna
a= 710
b= 250
e= 200
2W1
56
1
Przewód prostokątny
a= 250
b= 710
2W1
57
2
Trójnik prosty z okrągłym odejściem
a= 710
b= 250
2W1
58
1
Przewód prostokątny
a= 250
b= 710
l= 16992
2W1
59
1
Redukcja asymetryczna
a= 250
b= 710
c= 200
2W1
60
1
Przewód prostokątny
a= 200
b= 800
l= 812
a= 800
b= 200
g= 125
2W1
61
1
Trójnik prosty z prostokątnym odejściem
l3= 100
l= 360
l= 300
e= 180
e= 0
f= 0
f= 125
l= 0.72 m
D2= 200
alfa= 90
d= 800
k= 1
d= 710
e= 50
l= 400
f= 50
e= 0
r= 50
f= 0
fg= 0
l= 625
l= 11896
d= 160
l= 360
d= 800
h= 200
e= 180
l= 400
l= 400
f= 355
e= 0
e= 200
f= -26
f= 400
2W1
62
1
Przewód prostokątny
a= 125
b= 200
l= 2223
ocynk
Ogólne
I Etap
2W1
63
1
Przewód prostokątny
a= 125
b= 200
l= 2797
ocynk
Ogólne
I Etap
2W1
64
1
Przewód prostokątny
a= 200
b= 800
l= 2018
ocynk
Ogólne
I Etap
ocynk
Ogólne
I Etap
ocynk
Ogólne
I Etap
ocynk
Ogólne
I Etap
aluminium
Ogólne
I Etap
stal
Flakt Woods
I Etap
ocynk
Ogólne
I Etap
ocynk
Ogólne
I Etap
ocynk
Ogólne
I Etap
2W1
65
1
Trójnik z odejściem łukowym
a= 200
b= 800
d= 250
2W1
66
1
Przewód prostokątny
a= 200
b= 250
l= 749
2W1
67
1
Trójnik prosty z okrągłym odejściem
a= 200
b= 250
d= 125
2W1
68
1
Przewód elastyczny
d= 125
2W1
69
1
Anemostat wirowy okrągły NWP+Skrzynka
rozpręŜna izolowana z przepustnicą (z króćcem
bocznym)
2W1
70
2
Kolano asymetryczne
2W1
71
1
Przewód prostokątny
2W1
72
2
Kolano symetryczne
2W1
73
1
Przewód prostokątny
2W1
74
1
Przewód prostokątny
2W1
75
2
Trójnik prosty z prostokątnym odejściem
D2= 125
h= 630
l= 325
r= 50
e= 163
l= 780
alfa
90
=
f= 100
l= 0.67 m
D= 125
BD= 225
a= 250
b= 250
b= 250
l= 589
a= 200
b= 250
a= 200
b= 250
l= 371
ocynk
Ogólne
I Etap
a= 200
b= 250
l= 539
ocynk
Ogólne
I Etap
a= 250
b= 200
g= 125
ocynk
Ogólne
I Etap
ocynk
Ogólne
I Etap
ocynk
Ogólne
I Etap
ocynk
Ogólne
I Etap
ocynk
Ogólne
I Etap
ocynk
Ogólne
I Etap
ocynk
Ogólne
I Etap
ocynk
Ogólne
I Etap
alfa= 90
a= 200
alfa= 90
k= 1
d= 200
e= 50
h= 225
e= 50
f= 50
l= 425
f= 50
r= 50
e= 213
r= 50
fg= 0
f= 125
l3= 100
2W1
76
1
Przewód prostokątny
2W1
77
1
Trójnik prosty z prostokątnym odejściem
a= 200
b= 250
a= 250
b= 200
l= 1428
g= 125
h= 225
l= 525
e= 263
f= 125
l3= 100
2W1
78
1
Przewód prostokątny
a= 200
b= 250
2W1
79
1
Zaślepka
a= 200
b= 250
2W1
80
1
Przewód prostokątny
a= 200
b= 630
l= 299
2W1
81
2
Kolano symetryczne
a= 630
b= 200
2W1
82
1
Przewód prostokątny
alfa= 90
a= 200
b= 630
l= 1519
l= 1842
e= 50
f= 50
r= 50
fg= 0
a= 200
2W1
83
1
b= 630
g= 125
h= 200
l= 400
e= 200
f= 100
Trójnik prosty z prostokątnym odejściem
ocynk
Ogólne
I Etap
ocynk
Ogólne
I Etap
ocynk
Ogólne
I Etap
ocynk
Ogólne
I Etap
stal
Ogólne
I Etap
ocynk
Ogólne
I Etap
ocynk
Ogólne
I Etap
ocynk
Ogólne
I Etap
ocynk
Ogólne
I Etap
ocynk
Ogólne
I Etap
ocynk
Ogólne
I Etap
aluminium
Ogólne
I Etap
stal
Flakt Woods
I Etap
ocynk
Ogólne
I Etap
ocynk
Ogólne
I Etap
l3= 100
2W1
84
1
Przewód prostokątny
2W1
85
1
Kolano symetryczne
2W1
86
1
Przewód prostokątny
2W1
87
4
2W1
88
2W1
2W1
a= 125
b= 200
l= 355
a= 125
b= 200
a= 125
b= 200
l= 343
Kratka wentylacyjna prostokątna z przepustnicą
L= 125
H= 225
1
Przewód prostokątny
a= 125
b= 200
l= 2870
89
1
Redukcja asymetryczna
a= 200
b= 500
c= 200
90
1
Przewód prostokątny
a= 200
b= 500
l= 5549
alfa= 90
2W1
91
1
Trójnik z odejściem łukowym
a= 200
b= 500
2W1
92
1
Przewód prostokątny
a= 200
b= 315
2W1
93
1
Trónik redukcyjny z odejściem okrągłym
a= 200
b= 315
2W1
94
1
Przewód elastyczny
d= 200
2W1
95
2
Anemostat wirowy okrągły NWP+Skrzynka
rozpręŜna izolowana z przepustnicą (z króćcem
bocznym)
2W1
96
1
Przewód prostokątny
2W1
97
5
Kolano symetryczne
2W1
98
1
Przewód prostokątny
2W1
99
1
2W1
100
2W1
101
d= 630
h= 315
f= 50
l= 385
r= 50
r= 50
e= 0
l= 565
fg= 0
f= 0
alfa
90
=
l= 3939
d= 200
d1
200
=
l= 400
e= 200
f= 100
l= 0.65 m
D2= 250
D= 200
a= 200
b= 200
alfa= 90
d= 315
e= 50
BD= 330
k= 1
l= 7242
a= 200
b= 200
e= 50
a= 200
b= 200
l= 302
ocynk
Ogólne
I Etap
Przewód prostokątny
a= 200
b= 200
l= 218
ocynk
Ogólne
I Etap
1
Przewód prostokątny
a= 200
b= 200
l= 337
ocynk
Ogólne
I Etap
a= 200
b= 200
g= 125
1
Trójnik prosty z prostokątnym odejściem
ocynk
Ogólne
I Etap
stal
Ogólne
I Etap
ocynk
Ogólne
I Etap
h= 225
f= 50
l= 425
r= 50
e= 213
fg= 0
f= 100
l3= 100
2W1
102
1
Kratka wentylacyjna prostokątna z przepustnicą
L= 125
H= 225
2W1
103
1
Symetryczne przejście koło/prostokąt
a= 200
b= 200
d= 200
g= 80
l= 200
2W1
104
1
Przewód okrągły
d1= 200
2W1
105
5
Kolano prasowane
ocynk
Ogólne
I Etap
ocynk
Ogólne
I Etap
2W1
106
1
Przewód okrągły
d1= 200
l1= 1.31 m
ocynk
Ogólne
I Etap
2W1
107
1
Przewód okrągły
d1= 200
l1= 5.83 m
ocynk
Ogólne
I Etap
2W1
108
1
Przewód elastyczny
d= 200
l= 1.17 m
aluminium
Ogólne
I Etap
2W1
109
1
Redukcja asymetryczna
a= 200
b= 315
c= 160
ocynk
Ogólne
I Etap
2W1
110
1
Przewód prostokątny
a= 160
b= 315
l= 972
ocynk
Ogólne
I Etap
2W1
111
2
Kolano symetryczne
a= 315
b= 160
ocynk
Ogólne
I Etap
2W1
112
1
Przewód prostokątny
b= 315
l= 647
ocynk
Ogólne
I Etap
2W1
113
1
Kolano asymetryczne
alfa= 90
a= 315
b= 160
d= 315
e= 50
f= 50
r= 50
ocynk
Ogólne
I Etap
2W1
114
1
Kolano asymetryczne
alfa= 90
a= 315
b= 315
d= 160
e= 50
f= 50
r= 50
ocynk
Ogólne
I Etap
2W1
115
1
Przewód prostokątny
a= 160
b= 315
l= 321
ocynk
Ogólne
I Etap
a= 315
b= 160
g= 125
2W1
116
2
Trójnik prosty z prostokątnym odejściem
ocynk
Ogólne
I Etap
ocynk
Ogólne
I Etap
ocynk
Ogólne
I Etap
ocynk
Ogólne
I Etap
ocynk
Ogólne
I Etap
alfa= 90
alfa= 90
a= 160
l1= 3.10 m
r= 1
d1= 200
d= 315
e= 50
h= 225
l= 158
f= 50
l= 425
e= 0
r= 50
e= 213
f= 0
fg= 0
f= 158
l3= 100
2W1
117
1
Przewód prostokątny
a= 160
2W1
118
1
Kolano asymetryczne
2W1
119
2
Przewód prostokątny
2W1
120
4
Kolano symetryczne
2W1
121
1
Przewód prostokątny
a= 160
b= 200
l= 1664
ocynk
Ogólne
I Etap
2W1
122
1
Przewód prostokątny
a= 160
b= 200
l= 401
ocynk
Ogólne
I Etap
a= 200
b= 160
g= 125
2W1
123
2
Trójnik prosty z prostokątnym odejściem
ocynk
Ogólne
I Etap
ocynk
Ogólne
I Etap
ocynk
Ogólne
I Etap
alfa= 90
a= 160
alfa= 90
b= 315
l= 2466
a= 160
b= 315
b= 200
l= 435
a= 160
b= 200
d= 200
e= 50
h= 225
e= 50
f= 50
l= 425
f= 50
r= 50
e= 213
r= 50
fg= 0
f= 100
l3= 100
2W1
124
1
Przewód prostokątny
2W1
125
1
Kolano asymetryczne
a= 160
alfa= 90
b= 200
a= 160
l= 2545
b= 200
d= 160
e= 50
f= 50
r= 50
2W1
126
2
Przewód prostokątny
a= 160
2W1
127
3
Kolano symetryczne
2W1
128
1
Przewód prostokątny
a= 160
b= 160
2W1
129
1
Przewód prostokątny
a= 160
a= 160
2W1
130
2
Trójnik prosty z prostokątnym odejściem
alfa= 90
b= 160
l= 379
ocynk
Ogólne
I Etap
a= 160
b= 160
ocynk
Ogólne
I Etap
l= 1624
ocynk
Ogólne
I Etap
b= 160
l= 586
ocynk
Ogólne
I Etap
b= 160
g= 125
ocynk
Ogólne
I Etap
ocynk
Ogólne
I Etap
ocynk
Ogólne
I Etap
ocynk
Ogólne
I Etap
ocynk
Ogólne
I Etap
ocynk
Ogólne
I Etap
ocynk
Ogólne
I Etap
ocynk
Ogólne
I Etap
ocynk
Ogólne
I Etap
ocynk
Ogólne
I Etap
ocynk
Ogólne
I Etap
stal
Flakt Woods
I Etap
ocynk
Ogólne
I Etap
ocynk
Ogólne
I Etap
ocynk
Ogólne
I Etap
ocynk
Ogólne
I Etap
e= 50
h= 225
f= 50
l= 425
r= 50
e= 213
fg= 0
f= 80
l3= 100
2W1
131
1
Przewód prostokątny
a= 160
b= 160
l= 2465
2W1
132
1
Zaślepka
a= 160
b= 160
2W1
133
1
Przepustnica prostokątna
a= 200
b= 800
l= 200
a= 200
b= 800
g= 160
2W1
134
1
Trójnik prosty z prostokątnym odejściem
h= 200
l= 400
e= 200
f= 100
l3= 100
2W1
135
1
Kolano asymetryczne
alfa= 90
a= 200
b= 800
d= 710
2W1
136
1
Przewód prostokątny
a= 200
b= 710
2W1
137
1
Odsadzka symetryczna
a= 710
b= 200
e= 200
2W1
138
1
Przewód prostokątny
a= 200
b= 710
l= 703
2W1
139
1
Odsadzka symetryczna
a= 200
b= 710
e= 284
l= 781
2W1
140
1
Trójnik prosty z okrągłym odejściem
a= 710
b= 200
d= 125
l= 325
2W1
141
1
Anemostat wirowy okrągły NWP+Skrzynka
rozpręŜna izolowana z przepustnicą (z króćcem
górnym)
D2= 160
D= 125
BD= 200
2W1
142
1
Przewód prostokątny
a= 200
b= 710
l= 422
a= 710
b= 200
g= 125
2W1
143
1
Trójnik prosty z prostokątnym odejściem
e= 50
f= 50
r= 50
l= 2226
l= 414
e= 163
f= 355
k= 1
h= 250
l= 450
e= 225
f= 355
l3= 100
2W1
144
2
Kolano symetryczne
2W1
145
1
Przewód prostokątny
alfa= 90
a= 125
a= 250
b= 250
b= 125
l= 3347
e= 50
f= 50
r= 50
fg= 0
a= 250
2W1
146
4
b= 125
g= 125
h= 325
l= 525
e= 263
f= 125
Trójnik prosty z prostokątnym odejściem
ocynk
Ogólne
I Etap
l3= 100
2W1
147
4
Kratka wentylacyjna prostokątna z przepustnicą
L= 125
H= 325
k= ---------
stal
Ogólne
I Etap
2W1
148
1
Przewód prostokątny
a= 125
b= 250
l= 2732
ocynk
Ogólne
I Etap
2W1
149
2
Zaślepka
a= 125
b= 250
ocynk
Ogólne
I Etap
2W1
150
1
Redukcja asymetryczna
a= 200
b= 710
c= 200
ocynk
Ogólne
I Etap
2W1
151
1
Przewód prostokątny
a= 200
b= 500
l= 1768
ocynk
Ogólne
I Etap
2W1
152
1
Trójnik prosty z okrągłym odejściem
a= 500
b= 200
ocynk
Ogólne
I Etap
2W1
153
1
Przewód okrągły
d1= 125
ocynk
Ogólne
I Etap
2W1
154
1
Symetryczne przejście koło/prostokąt
a= 125
b= 225
d= 125
ocynk
Ogólne
I Etap
2W1
155
1
Przewód prostokątny
a= 200
b= 500
l= 869
ocynk
Ogólne
I Etap
2W1
156
4
Kolano symetryczne
ocynk
Ogólne
I Etap
2W1
157
1
Przewód prostokątny
a= 200
b= 500
l= 336
ocynk
Ogólne
I Etap
2W1
158
1
Przewód prostokątny
a= 200
b= 500
l= 839
ocynk
Ogólne
I Etap
2W1
159
2
Trójnik prosty z okrągłym odejściem
a= 500
b= 200
d= 160
ocynk
Ogólne
I Etap
2W1
160
2
Anemostat wirowy okrągły NWP+Skrzynka
rozpręŜna izolowana z przepustnicą (z króćcem
górnym)
D2= 200
D= 160
BD= 200
stal
Flakt Woods
I Etap
2W1
161
1
Przewód prostokątny
a= 200
b= 500
ocynk
Ogólne
I Etap
a= 500
b= 200
2W1
162
1
Trójnik prosty z prostokątnym odejściem
ocynk
Ogólne
I Etap
ocynk
Ogólne
I Etap
alfa= 90
d= 125
d= 500
l= 325
l= 417
e= 163
e= 0
f= 0
f= 250
l1= 3.20 m
a=
500
b= 200
g= 80
e= 50
l= 360
l= 269
f= 50
e= 180
r= 50
fg= 0
f= 250
k= 1
l= 16743
g= 125
h= 250
l= 450
e= 225
f= 250
l3= 100
a= 125
b= 250
l= 2506
2W1
163
1
Przewód prostokątny
2W1
164
1
Kolano asymetryczne
alfa= 90
a= 250
b= 250
d= 125
e= 50
f= 50
r= 50
ocynk
Ogólne
I Etap
2W1
165
1
Kolano asymetryczne
alfa= 90
a= 250
b= 125
d= 250
e= 50
f= 50
r= 50
ocynk
Ogólne
I Etap
2W1
166
1
Kolano symetryczne
alfa= 90
a= 125
b= 250
e= 50
f= 50
r= 50
ocynk
Ogólne
I Etap
fg= 0
2W1
167
1
Przewód prostokątny
a= 125
b= 250
l= 481
ocynk
Ogólne
I Etap
2W1
168
1
Przewód prostokątny
a= 125
b= 250
l= 2958
ocynk
Ogólne
I Etap
2W1
169
1
Przewód prostokątny
a= 200
b= 500
l= 330
ocynk
Ogólne
I Etap
a= 500
b= 200
g= 125
2W1
170
1
Trójnik prosty z prostokątnym odejściem
ocynk
Ogólne
I Etap
ocynk
Ogólne
I Etap
h= 125
l= 325
e= 163
f= 250
l3= 100
2W1
171
3
Kolano symetryczne
2W1
172
1
Przewód prostokątny
2W1
173
1
2W1
174
2W1
alfa= 90
a= 125
b= 125
e= 50
a= 125
b= 125
l= 971
ocynk
Ogólne
I Etap
Przewód prostokątny
a= 125
b= 125
l= 574
ocynk
Ogólne
I Etap
1
Przewód prostokątny
a= 125
b= 125
l= 661
ocynk
Ogólne
I Etap
175
1
Trójnik prosty z okrągłym odejściem
a= 125
b= 125
d= 125
ocynk
Ogólne
I Etap
2W1
176
1
Przewód elastyczny
d= 125
aluminium
Ogólne
I Etap
2W1
177
1
Przewód prostokątny
a= 125
b= 125
l= 2215
ocynk
Ogólne
I Etap
2W1
178
1
Redukcja symetryczna
a= 125
b= 125
c= 125
d= 225
l= 232
ocynk
Ogólne
I Etap
2W1
179
1
Redukcja asymetryczna
a= 200
b= 500
c= 160
d= 250
l= 250
ocynk
Ogólne
I Etap
2W1
180
1
Przewód prostokątny
a= 160
b= 250
l= 2092
ocynk
Ogólne
I Etap
2W1
181
1
Trójnik prosty z okrągłym odejściem
a= 250
b= 160
ocynk
Ogólne
I Etap
2W1
182
1
Przewód okrągły
d1= 125
ocynk
Ogólne
I Etap
2W1
183
1
Symetryczne przejście koło/prostokąt
a= 125
b= 225
d= 125
g= 80
l= 325
ocynk
Ogólne
I Etap
2W1
184
1
Redukcja asymetryczna
a= 160
b= 250
c= 160
d= 200
l= 125
ocynk
Ogólne
I Etap
2W1
185
1
Przewód prostokątny
a= 160
b= 200
l= 5225
ocynk
Ogólne
I Etap
2W1
186
1
Trójnik prosty z okrągłym odejściem
a= 200
b= 160
ocynk
Ogólne
I Etap
2W1
187
1
Przewód okrągły
d1= 125
l1= 6.60 m
ocynk
Ogólne
I Etap
2W1
188
1
Przewód elastyczny
d= 125
l= 0.65 m
aluminium
Ogólne
I Etap
2W1
189
1
Przewód prostokątny
a= 160
ocynk
Ogólne
I Etap
l= 325
f= 50
e= 163
r= 50
fg= 0
f= 63
l= 0.64 m
d= 125
l= 325
e= 163
e= 0
f= 0
f= 125
l1= 3.08 m
b= 200
d= 125
l= 676
l= 325
e= 163
e= 0
f= 100
f= 0
2W1
190
1
Kolano asymetryczne
alfa= 90
a= 200
b= 160
d= 200
e= 50
f= 50
r= 50
ocynk
Ogólne
I Etap
2W1
191
1
Kolano asymetryczne
alfa= 90
a= 200
b= 200
d= 125
e= 50
f= 50
r= 50
ocynk
Ogólne
I Etap
2W1
192
1
Przewód prostokątny
a= 125
b= 200
l= 1810
ocynk
Ogólne
I Etap
2W1
193
1
Przewód prostokątny
a= 125
b= 200
l= 3405
ocynk
Ogólne
I Etap
2W1
194
1
Trójnik prosty z okrągłym odejściem
a= 160
b= 200
ocynk
Ogólne
I Etap
2W1
195
1
Przewód elastyczny
d= 125
aluminium
Ogólne
I Etap
2W1
196
4
Anemostat wirowy okrągły NWP+Skrzynka
rozpręŜna izolowana z przepustnicą (z króćcem
bocznym)
stal
Flakt Woods
I Etap
2W1
197
1
ocynk
Ogólne
I Etap
2W1
198
ocynk
Ogólne
I Etap
2W1
ocynk
Ogólne
I Etap
d= 125
l= 325
e= 163
l= 1.22 m
D2= 160
D= 125
BD= 260
Symetryczne przejście koło/prostokąt
a= 160
b= 200
d= 200
1
Przewód okrągły
d1= 200
199
1
Kolano segmentowe
2W1
200
1
Przewód okrągły
d1= 200
l1= 1.13 m
ocynk
Ogólne
I Etap
2W1
201
1
Przewód okrągły
d1= 200
l1= 3.03 m
ocynk
Ogólne
I Etap
2W1
202
1
Przewód okrągły
d1= 200
l1= 0.33 m
ocynk
Ogólne
I Etap
2W1
203
2
Przewód okrągły
d1= 200
l1= 3.00 m
ocynk
Ogólne
I Etap
2W1
204
1
Symetryczny trójnik 90 stopni
d1= 200
ocynk
Ogólne
I Etap
2W1
205
1
Przewód okrągły
d1= 125
l1= 1.16 m
ocynk
Ogólne
I Etap
2W1
206
1
Przewód okrągły
d1= 125
l1= 4.91 m
ocynk
Ogólne
I Etap
2W1
207
1
Przewód okrągły
d1= 125
l1= 0.44 m
ocynk
Ogólne
I Etap
2W1
208
1
Przewód elastyczny
d= 125
l= 1.24 m
aluminium
Ogólne
I Etap
2W1
209
1
Symetryczny trójnik 90 stopni z redukcją
d1= 200
ocynk
Ogólne
I Etap
2W1
210
1
Przewód okrągły
d1= 125
l1= 0.98 m
ocynk
Ogólne
I Etap
2W1
211
1
Przewód okrągły
d1= 125
l1= 4.90 m
ocynk
Ogólne
I Etap
2W1
212
2
Przewód okrągły
d1= 125
l1= 0.50 m
ocynk
Ogólne
I Etap
alfa= 90
k= 1
f= 80
g= 80
l1= 1.92 m
r= 1
d3= 125
d2= 125
d1= 200
l1= 170
d3= 125
l1= 348
l= 200
2W1
213
1
Przewód elastyczny
d= 125
l= 1.25 m
aluminium
Ogólne
I Etap
2W1
214
1
Przewód okrągły
d1= 125
l1= 3.00 m
ocynk
Ogólne
I Etap
2W1
215
1
Przewód okrągły
d1= 125
l1= 0.84 m
ocynk
Ogólne
I Etap
2W1
216
1
Przewód okrągły
d1= 125
l1= 4.92 m
ocynk
Ogólne
I Etap
2W1
217
1
Przewód elastyczny
d= 125
l= 1.09 m
aluminium
Ogólne
I Etap
2W1
5
Złączka mufowa
d1= 160
ocynk
Ogólne
I Etap
2W1
7
Złączka mufowa
d1= 125
ocynk
Ogólne
I Etap
ROZBUDOWA I PRZEBUDOWA POMIESZCZEŃ SPZOZ W KOŚCIANIE NA ODDZIAŁ
CHIRURGII I ORTOPEDII, BLOK OPERACYJNY, STERYLIZATORNIĘ ORAZ POMIESZCZEŃ
POMOCNICZYCH WRAZ Z DOBUDOWĄ SZYBU DŹWIGOWEGO I NADBUDOWĄ KLATKI SCHODOWEJ
SPIS ZAWARTOŚCI OPRACOWANIA
L.p.
Wyszczególnienie
0
Karta tytułowa
1
Informacje ogólne
2
2.1
2.2
2.3
2.4
2.5
Opis techniczny
Instalacje wentylacji wybranych pomieszczeń Oddziału Chirurgii i Ortopedii na
II piętrze
Instalacje wentylacji Bloku Operacyjnego na III piętrze
Instalacje wentylacji Oddziału Sterylizacji na IV piętrze
Instalacje napowietrzania klatek schodowych
Instalacja klimatyzacji dla serwerowni
3
Obliczenia – parametry urządzeń
4
Wymagania i zalecenia
5
5.1
5.2
5.3
5.4
5.5
6
7
7.1
7.2
7.3
7.4.
7.5.
7.6.
8
Nr
strony
ZałoŜenia dla branŜ
BranŜa architektoniczno-budowlana
Instalacja elektryczna
Instalacja c.o.
Instalacja wod-kan
Automatyka sterująca
Informacja dotycząca planu bioz
Załączniki
Zestawienie ilości powietrza dla poszczególnych pomieszczeń
Zestawienie instalacji wentylacyjnych
Parametry techniczne urządzeń i elementów instalacji – karty katalogowe
Obliczenia do systemu napowietrzania klatek schodowych
Schematy działania automatyki
Specyfikacja instalacji wentylacji
Rysunki:
Rzut piwnicy, parteru i I piętra-instalacja wentylacji i klimatyzacji
Rzut II piętra – instalacja wentylacji i klimatyzacji
Rzut III piętra – instalacja wentylacji i klimatyzacji
Rzut IV piętra – instalacja wentylacji i klimatyzacji
Rzut dachu – instalacja wentylacji i klimatyzacji
Rzut II piętra – zakresy instalacji
Rzut III piętra – zakresy instalacji
Rzut IV piętra – zakresy instalacji
W01
W02
W03
W04
W05
W06
W07
W08
1. INFORMACJE OGÓLNE
1.1. Przedmiot i cel opracowania
Przedmiotem opracowania jest projekt wykonawczy w zakresie instalacji wentylacji i klimatyzacji dla
przedsięwzięcia p.n. PROJEKT ROZBUDOWY I PRZEBUDOWY POMIESZCZEŃ SPZOZ W KOŚCIANIE NA
ODDZIAŁ CHIRURGII I ORTOPEDII, BLOK OPERACYJNY, STERYLIZATORNIĘ ORAZ POMIESZCZEŃ
POMOCNICZYCH WRAZ Z DOBUDOWĄ SZYBU DŹWIGOWEGO I NADBUDOWĄ KLATKI SCHODOWEJ”
Zadaniem wentylacji jest stworzenie i utrzymanie wewnątrz pomieszczeń odpowiednich warunków sanitarnohigienicznych na stanowiskach pracy i w strefach przebywania ludzi. Dodatkowo zadaniem instalacji
klimatyzacji jest utrzymanie stałych parametrów temperaturowych i wilgotnościowych powietrza wewnątrz
wybranych pomieszczeń w okresie całego roku.
1.2. Zakres opracowania.
Zakresem niniejszego opracowania objęte są:
-
instalacja wentylacji wybranych pomieszczeń Oddziału Chirurgii i Ortopedii na II piętrze 2N1/2W1,
-
instalacje wentylacji Bloku Operacyjnego na III piętrze
3N1/3W1, 3N2/3W2, 3N3/3W3,
3N4/3W4, 3N5/3W5, 3N6/3W6,
-
instalacja wentylacji Oddziału Sterylizacji na IV piętrze 4N1/4W1, 4N2/4W2, 4N3/4W3,
-
indywidualne instalacje wentylacji wyciągowej od 2W2 do 2W7, 3W7, 3W8, 4W4, 4W5, 4W6.
-
indywidualne instalacje wyciągowe z sanitariatów od 2SW1 do 2SW40, od 3SW1 do 3SW6, 4SW1,
4SW2
-
agregat wody lodowej (instalacja wg odrębnego opracowania)
-
instalacja napowietrzania klatek schodowych
-
klimatyzatory w serwerowniach K1 i K2
Opracowanie nie obejmuje zagadnień związanych z instalacją wentylacji i klimatyzacji, a
wchodzącymi w zakres opracowania innych branŜ jak:
- roboty budowlane
- doprowadzenie energii elektrycznej do szaf zasilająco-sterujących i indywidualnych wentylatorów
wyciągowych
- instalacji regulacji automatycznej
- instalacji niskoprądowych – p.poŜ.
Na powyŜsze zagadnienia opracowano załoŜenia zamieszczone w p-kcie 5 i 7.
1.3. Podstawa opracowania
Opracowanie niniejsze wykonano na zlecenie Inwestora, którym jest samodzielny Publiczny
Zespół Opieki Zdrowotnej w Kościanie ul. Szpitalna 7.
1.4. Informacja o dokumentacji technicznej zadania inwestycyjnego.
Dokumentację instalacji sanitarnych opracowuje SPA Sadowski, Sadowska, ul. Podlaska 13, 60-623
2
ROZBUDOWA I PRZEBUDOWA POMIESZCZEŃ SPZOZ W KOŚCIANIE NA ODDZIAŁ
CHIRURGII I ORTOPEDII, BLOK OPERACYJNY, STERYLIZATORNIĘ ORAZ POMIESZCZEŃ
POMOCNICZYCH WRAZ Z DOBUDOWĄ SZYBU DŹWIGOWEGO I NADBUDOWĄ KLATKI SCHODOWEJ
Poznań.
1.5. Dane wyjściowe
Podstawowymi danymi wyjściowymi do niniejszego opracowania były:
−
uzgodnienia z Inwestorem ,
−
podkład budowlany,
−
Rozporządzenie Ministra Infrastruktury z dnia 12 kwietnia 2002r w warunków technicznych jakim
powinny odpowiadać budynki i ich usytuowanie. (Dz.U nr 75 z dnia 15.06.02) wraz z późniejszymi
zmianami
−
uzgodnienia międzybranŜowe,
−
wizja lokalna
2. OPIS TECHNICZNY.
Inwestor zakłada etapowe wykonywanie prac:
ETAP I:
- adaptacja 2p (oddział ortopedii i chirurgii) wraz ze wszystkimi pracami koniecznymi do uruchomienia i
prawidłowego funkcjonowania oddziałów;
- budowa zewnętrznego szybu dźwigowego wraz z dostawą i montaŜem dźwigu
- ocieplenie ściany od strony południowej obiektu
ETAP II:
- wykonanie pozostałych prac budowlanych: blok operacyjny, centralna sterylizatornia, ocieplenie budynku,
elewacja
ZałoŜenia ogólne.
Parametry powietrza zewnętrznego dla lokalizacji: Poznań wynoszą:
Dane zgodnie z normą PN-76/B-03420
Lato
- strefa klimatyczna II
tz=30ºC (do obliczeń przyjęto tz=32ºC)
φ=45%
zawartość wilgoci x=13,4 g/kg
entalpia h=66,5kJ/kg
Zima
- strefa klimatyczna II
tz=-18ºC
φ=100%
zawartość wilgoci x=0,9 g/kg
entalpia h=-15,9kJ/kg
Minimalna ilość powietrza wentylacyjnego dla pomieszczeń stałego przebywania ludzi 30 m3/h;
Układy nawiewne pracują w 100% na powietrzu świeŜym.
Dla pomieszczeń sanitarnych zapewniona będzie wymiana powietrza w ilościach minimalnych: 25 m3/h dla
pisuaru, 50 m3/h dla WC, 50 m3/h dla kabiny prysznicowej w pom. WC, 100 m3/h dla wydzielonego natrysku;
Źródłem ciepła dla instalacji wentylacyjnej w sezonie grzewczym będzie instalacja ciepła technologicznego
(poza zakresem niniejszego opracowania).
Źródłem chłodu dla instalacji klimatyzacyjnej będzie instalacja wody lodowej (poza zakresem niniejszego
opracowania).
Hałas pochodzący od pracy urządzeń wentylacyjnych nie przekroczy wartości podanych w PN-87/B-02151/02
2.1. Instalacje wentylacji wybranych pomieszczeń Oddziału Chirurgii i Ortopedii na II piętrze
2N1/2W1, od 2W2 do 2W7, od 2SW1 do 2SW40.
Dla tych pomieszczeń przewidziano centralę wentylacyjną nawiewno-wywiewną dachową wyposaŜoną w
następujące sekcje:
Nawiew:
filtr EU5
wymiennik krzyŜowy
nagrzewnica glikolowa
chłodnica wodna
wentylator promieniowo-osiowy z falownikiem
Wywiew:
filtr EU5
wymiennik krzyŜowy
wentylator promieniowo-osiowy z falownikiem
Zespół krótkiego obiegu nagrzewnicy i chłodnicy zabudowany w centrali.
W okresie przerw w pracy oraz w nocy instalacja pracować będzie w trybie ciągłym ze zmniejszona
wydajnością np. 25-50% całkowitej wydajności.
W pomieszczeniach łazienek oraz w wybranych pomieszczeniach wyciąg powietrza poprzez indywidualne
wentylatory łazienkowe montowane na pionach wentylacji grawitacyjnej. W drzwiach do łazienek naleŜy
przewidzieć kratki transferowe.
Nawiew powietrza do sal chorych poprzez nawiewniki okienne.
2.2. Instalacje wentylacji Bloku Operacyjnego na III piętrze 3N1/3W1, 3N2/3W2, 3N3/3W3,
3N4/3W4, 3N5/3W5, 3N6/3W6, 3W7, 3W8, od 3SW1 do 3SW6.
Zaprojektowano niezaleŜne układy wentylacyjne dla:
3 sal operacyjnych,
Sali wybudzeń z korytarzem czystym B02
Szatni czystych z komunikacją B01
Komunikacji brudnej B03
Sale operacyjne wyposaŜone będą w system klimatyzacji, który zapewni utrzymanie wymaganej temperatury
i wilgotności powietrza w pomieszczeniu (tp = 23– 25ºC / Φp=40 – 50%).
2
ROZBUDOWA I PRZEBUDOWA POMIESZCZEŃ SPZOZ W KOŚCIANIE NA ODDZIAŁ
CHIRURGII I ORTOPEDII, BLOK OPERACYJNY, STERYLIZATORNIĘ ORAZ POMIESZCZEŃ
POMOCNICZYCH WRAZ Z DOBUDOWĄ SZYBU DŹWIGOWEGO I NADBUDOWĄ KLATKI SCHODOWEJ
Bilans powietrza zapewni nadciśnienie w stosunku do otaczających pomieszczeń o niŜszej klasie czystości.
Do obróbki powietrza przewiduje się centrale w wykonaniu higienicznym realizujące funkcje filtracji (F5+F9),
odzysku ciepła, ogrzewania, chłodzenia i osuszania nawiewanego powietrza. Dodatkowo w kanale
nawiewnym za centralami zamontowane będą lance parowe podłączone do nawilŜaczy parowych
umieszczonych w obrębie pomieszczeń.
Nawiew powietrza do sal operacyjnych realizowany będzie przez stropy nawiewne NSL umieszczone nad
polem operacyjnym wyposaŜone w filtry absolutne klasy H13 a nawiew do pomieszczeń przygotowania
lekarzy, przygotowania pacjenta, sali wybudzeń, komunikacji wewnętrznej (3.015), obejścia brudnego, śluzy
pacjentów (3.034) i instrumentarium przez anemostaty sufitowe typ SPN wyposaŜone w filtry absolutne klasy
H13. Płyty czołowe stropów laminarnych, nawiewników i wywiewników w obrębie sal operacyjnych w
wykonaniu z blachy nierdzewnej.
Wywiew zaprojektowano przez anemostaty i kratki wentylacyjne.
Wyciąg z sal operacyjnych odbywał się będzie od strony głowy pacjenta w proporcjach: 20% górą i 80%
dołem pomieszczenia.
Dolna i górna kratka wywiewna w wykonaniu higienicznym umoŜliwiającym łatwy demontaŜ do mycia i
czyszczenia (wychwytywanie zawiesin z materiałów opatrunkowych).
Instalacja powinna pracować 24 h/dobę. W czasie przerw w pracy instalacja powinna pracować ze
zmniejszoną wydajnością ok.25-50% całkowitej wydajności.
Dla tych pomieszczeń przewidziano centrale wentylacyjne nawiewno-wywiewne dachowe w wykonaniu
higienicznym wyposaŜone w następujące sekcje:
Nawiew:
filtr wstępny kieszeniowy EU5
wymiennik glikolowy
chłodnica wodna
nagrzewnica glikolowa
nagrzewnica elektryczna (dla lata w trybie osuszania)
wentylator promieniowo-osiowy z falownikiem
filtr wtórny kieszeniowy EU9
Wywiew:
filtr kieszeniowy EU5
wentylator promieniowo-osiowy z falownikiem
wymiennik glikolowy
Zespół krótkiego obiegu nagrzewnicy i chłodnicy zabudowany w centrali.
W okresie przerw w pracy oraz w nocy instalacja pracować będzie w trybie ciągłym ze zmniejszona
wydajnością np. 25-50% całkowitej wydajności.
Regulacja ilości powietrza realizowana będzie przez automatykę centrali wentylacyjnej (utrzymanie stałej
zaprogramowanej wydajności niezaleŜnie od wzrostu oporów na filtrach na skutek ich zabrudzania)
Szatnie czyste z komunikacją wewnętrzną B01 i komunikacja wewnętrzna B03.
Dla tych pomieszczeń przewidziano centrale wentylacyjne nawiewno-wywiewne dachowe w wykonaniu
higienicznym wyposaŜone w następujące sekcje:
Nawiew:
filtr wstępny kieszeniowy EU5
wymiennik glikolowy
chłodnica wodna
nagrzewnica glikolowa
wentylator promieniowo-osiowy z falownikiem
filtr wtórny kieszeniowy EU9
Wywiew:
filtr kieszeniowy EU5
wentylator promieniowo-osiowy z falownikiem
wymiennik glikolowy
Zespół krótkiego obiegu nagrzewnicy i chłodnicy zabudowany w centrali.
W okresie przerw w pracy oraz w nocy instalacja pracować będzie w trybie ciągłym ze zmniejszona
wydajnością np. 25-50% całkowitej wydajności.
Regulacja ilości powietrza realizowana będzie przez automatykę centrali wentylacyjnej (utrzymanie stałej
zaprogramowanej wydajności niezaleŜnie od wzrostu oporów na filtrach na skutek ich zabrudzania).
W pomieszczeniach WC oraz w wybranych pomieszczeniach wyciąg powietrza poprzez indywidualne
wentylatory łazienkowe montowane na pionach wentylacji grawitacyjnej. W drzwiach do WC naleŜy
przewidzieć kratki transferowe.
Na układzie wywiewnym 3SW2 zaprojektowano do wyrzutu powietrza wentylator dachowy typ DVR z
regulatorem obrotów, współpracujący z centralą 3N5.
2.3. Instalacje wentylacji Oddziału Sterylizacji na IV piętrze 4N1/4W1, 4N2/4W2, 4N3/4W3,
4W4, 4W5, 4W6, 4SW1, 4SW2.
Zaprojektowano niezaleŜne układy wentylacyjne dla:
2
sterylizacja czysta
sterylizacja brudna
ROZBUDOWA I PRZEBUDOWA POMIESZCZEŃ SPZOZ W KOŚCIANIE NA ODDZIAŁ
CHIRURGII I ORTOPEDII, BLOK OPERACYJNY, STERYLIZATORNIĘ ORAZ POMIESZCZEŃ
POMOCNICZYCH WRAZ Z DOBUDOWĄ SZYBU DŹWIGOWEGO I NADBUDOWĄ KLATKI SCHODOWEJ
komunikacja ogólna
Sterylizacja czysta wyposaŜona będzie w system klimatyzacji, który zapewni utrzymanie wymaganej
temperatury i wilgotności powietrza w pomieszczeniu (tp = 23– 25ºC / Φp=40 – 50%).
Bilans powietrza zapewni nadciśnienie w stosunku do otaczających pomieszczeń o niŜszej klasie czystości.
Do obróbki powietrza przewiduje się centrale w wykonaniu higienicznym realizujące funkcje filtracji (F5+F9),
odzysku ciepła, ogrzewania, chłodzenia i osuszania nawiewanego powietrza Nawiew powietrza do
pomieszczeń sterylizacji czystej poprzez anemostaty sufitowe typ SPN wyposaŜone w filtry absolutne klasy
H13
Instalacja powinna pracować 24 h/dobę. W czasie przerw w pracy instalacja powinna pracować ze
zmniejszoną wydajnością ok.25-50% całkowitej wydajności.
Dla sterylizacji czystej przewidziano centralę wentylacyjną nawiewno-wywiewną dachową w wykonaniu
higienicznym wyposaŜoną w następujące sekcje:
Nawiew:
filtr wstępny kieszeniowy EU5
wymiennik glikolowy
chłodnica wodna
nagrzewnica glikolowa
nagrzewnica elektryczna (dla lata w trybie osuszania)
wentylator promieniowo-osiowy z falownikiem
filtr wtórny kieszeniowy EU9
Wywiew:
filtr kieszeniowy EU5
wentylator promieniowo-osiowy z falownikiem
wymiennik glikolowy
Zespół krótkiego obiegu nagrzewnicy i chłodnicy zabudowany w centrali.
W okresie przerw w pracy oraz w nocy instalacja pracować będzie w trybie ciągłym ze zmniejszona
wydajnością np. 25-50% całkowitej wydajności.
Dla sterylizacji brudnej przewidziano centralę wentylacyjną nawiewno-wywiewną dachową w wykonaniu
higienicznym wyposaŜoną w następujące sekcje:
Nawiew:
filtr wstępny kieszeniowy EU5
wymiennik glikolowy
chłodnica wodna
nagrzewnica glikolowa
wentylator promieniowo-osiowy z falownikiem
filtr wtórny kieszeniowy EU9
Wywiew:
filtr kieszeniowy EU5
wentylator promieniowo-osiowy z falownikiem
wymiennik glikolowy
Zespół krótkiego obiegu nagrzewnicy i chłodnicy zabudowany w centrali.
W okresie przerw w pracy oraz w nocy instalacja pracować będzie w trybie ciągłym ze zmniejszona
wydajnością np. 25-50% całkowitej wydajności.
Dla komunikacji ogólnej sterylizacji przewidziano centrale nawiewną dachową składającą się z następujących
sekcji:
filtr wstępny kieszeniowy EU5
chłodnica wodna
nagrzewnica glikolowa
wentylator promieniowo-osiowy z falownikiem
filtr wtórny kieszeniowy EU9
W pomieszczeniach WC oraz w wybranych pomieszczeniach wyciąg powietrza poprzez indywidualne
wentylatory łazienkowe montowane na pionach wentylacji grawitacyjnej. W drzwiach do WC naleŜy
przewidzieć kratki transferowe.
Na układzie wywiewnym 4W3, 4W4 zaprojektowano do wyrzutu powietrza wentylatory dachowe typ DVR z
regulatorami obrotów, współpracujące z centralami wentylacyjnymi. Wentylator 4W3 współpraca z 4N3.
Wentylator 4W4 współpraca z 4N1.
2.4. Instalacje napowietrzania klatek schodowych.
Do systemu napowietrzania klatek schodowych zaprojektowano wentylatory napowietrzające SMPA-100 (2
szt. na klatkę K1 i 2szt. na klatkę K3). Wentylator podczas postoju ma zamknięty dopływ powietrza przez co
nie występuje wykraplanie wilgoci.
System napowietrzania klatek schodowych wymaga upustu dymu z kondygnacji na której jest poŜar. W
związku z tym zastosowano upust powietrza poprzez okno z siłownikiem lub przez drzwi z siłownikiem.
Wybrane okna oraz drzwi naleŜy wyposaŜyć w siłownik.
W przypadkach tam gdzie nie było moŜliwości bezpośredniego przepływu powietrza do otwieranego okna
zaprojektowano kratkę transferową w ścianie nad drzwiami.
Wentylatory posiadają rozdzielnicę zasilająco sterującą, w której znajdują się zabezpieczenia i falowniki oraz
układ sterujący utrzymaniem prawidłowego poziomu nadciśnienia na klatce schodowej. Rozdzielnice
elektryczne wentylatorów naleŜy umieścić na klatkach schodowych. Zasilanie od i do rozdzielnicy naleŜy
podać kablem o odpowiedniej odporności ogniowej.
2
ROZBUDOWA I PRZEBUDOWA POMIESZCZEŃ SPZOZ W KOŚCIANIE NA ODDZIAŁ
CHIRURGII I ORTOPEDII, BLOK OPERACYJNY, STERYLIZATORNIĘ ORAZ POMIESZCZEŃ
POMOCNICZYCH WRAZ Z DOBUDOWĄ SZYBU DŹWIGOWEGO I NADBUDOWĄ KLATKI SCHODOWEJ
2.5. Agregat wody lodowej – AW1.
Do współpracy z chłodnicami central wentylacyjnych dobrano agregat wody lodowej wraz z firmową
automatyką sterującą 1szt. np. marki Daikin typ EWAQ210DAYNNB w wersji wyciszonej OPLN ze zbiornikiem
buforowym (stabilizacyjnym) OPBT i pojedynczym modułem pompowym OPSP o następujących parametrach:
-
moc chłodnicza 210kW
-
moc elektryczna 69+4=73kW/400V
-
parametry czynnika 7/12ºC
-
Ergolid Eko (propylenowy) (-25ºC, stęŜenie 42%)
-
Przepływ 11,4 l/s
-
Strata ciśnienia 10,6 mH2O
-
Wymiary: wysokość 2311/szerokość 2000mm/długość 3081mm
-
Masa eksploatacyjna 2100kg
2.6. Instalacja klimatyzacji serwerowni.
W pomieszczeniach serwerowni zaprojektowano klimatyzatory ścienne
chłodzące „inverter” do pracy
całorocznej np. firmy Daikin o mocy chłodniczej 7,1 kW . Jednostki zewnętrzne naleŜy umieścić na dachu.
3. OBLICZENIA – PARAMETRY URZĄDZEŃ.
3.1.1. Dobór urządzeń.
II piętro
Do nawiewu i wywiewu dla wybranych pomieszczeń Oddziału Chirurgii i Ortopedii na II piętrze 2N1/2W1
dobrano centralę nawiewno-wywiewną sekcyjną o następujących parametrach:
-
powietrze nawiewane
- 6140m3/h
-
powietrze wywiewane
- 6070m3/h
-
spręŜ dyspozycyjny
- 600/600Pa (nawiew /wyciąg)
-
moc wymiennika krzyŜowego
- 45,4kW (zima)
-
moc nagrzewnicy glikolowej - 48,6kW (tN = 20°C)
-
moc chłodnicy wodnej
- 33,3kW (tN = 20°C)
-
moc silnika nawiewnego
- 3,0kW
-
moc silnika wywiewnego
- 2,2kW
Zastosowano centralę nawiewno-wywiewną dachową np. firmy Clima Produkt typ GOLEM-G-3 (70)
składającą się z następujących sekcji:
Nawiew:
-
filtr kieszeniowy EU5
-
wymiennik krzyŜowy
-
nagrzewnica glikolowa
-
chłodnica glikolowa
-
wentylator nawiewny promieniowo-osiowy
Wywiew:
-
filtr kieszeniowy EU5
-
wentylator wywiewny promieniowo-osiowy
-
wymiennik krzyŜowy
III piętro
Do nawiewu i wywiewu dla Sali operacyjnej nr 1
3N1/3W1 dobrano centralę nawiewno-wywiewną
sekcyjną o następujących parametrach:
-
powietrze nawiewane
- 4690m3/h
-
powietrze wywiewane
- 4060m3/h
-
spręŜ dyspozycyjny
- 800/400Pa (nawiew /wyciąg)
-
moc wymiennika glikolowego
- 28kW (zima)
-
moc nagrzewnicy glikolowej - 52,7kW (tN = 26°C)
-
moc chłodnicy wodnej
-
moc nagrzewnicy elektrycznej
-
moc silnika nawiewnego
- 4,0kW
-
moc silnika wywiewnego
- 1,5kW
- 51kW (tN = 12°C)
- 18kW (tNl = 22°C)
Zastosowano centralę nawiewno-wywiewną dachową np. firmy Clima Produkt typ HYGIENOS-2 (70) w
wykonaniu higienicznym składającą się z następujących sekcji:
Nawiew:
-
filtr kieszeniowy EU5
-
wymiennik glikolowy
-
nagrzewnica glikolowa
-
chłodnica glikolowa
-
nagrzewnica elektryczna
-
wentylator nawiewny promieniowo-osiowy
-
filtr wtórny EU9
Wywiew:
2
-
filtr kieszeniowy EU5
-
wentylator wywiewny promieniowo-osiowy
ROZBUDOWA I PRZEBUDOWA POMIESZCZEŃ SPZOZ W KOŚCIANIE NA ODDZIAŁ
CHIRURGII I ORTOPEDII, BLOK OPERACYJNY, STERYLIZATORNIĘ ORAZ POMIESZCZEŃ
POMOCNICZYCH WRAZ Z DOBUDOWĄ SZYBU DŹWIGOWEGO I NADBUDOWĄ KLATKI SCHODOWEJ
-
wymiennik glikolowy
Dodatkowo do współpracy z centralą 3N1 zaprojektowano nawilŜacz parowy typ
-
typ HY45 "Hygromatic"
-
wydajność 45kg/h
-
pobór mocy elektrycznej 33,8kW
-
pobór prądu 48,8A
-
bezpiecznik sieci zasilającej 3x63A
-
sterownik comfort plus
-
przewód parowy 2 x DN40 z lancą 2xDN40 (długość lancy l = 600mm)
-
przewód kondensatu 2 x DN12
-
wymiary :
-
wysokość h=785mm
-
szerokość s=650mm
-
grubość g=390mm
Do nawiewu i wywiewu dla Sali operacyjnej nr 2
3N2/3W2 dobrano centralę nawiewno-wywiewną
sekcyjną o następujących parametrach:
-
powietrze nawiewane
- 2660m3/h
-
powietrze wywiewane
- 2220m3/h
-
spręŜ dyspozycyjny
- 800/400Pa (nawiew /wyciąg)
-
moc wymiennika glikolowego
- 14,3kW (zima)
-
moc nagrzewnicy glikolowej - 29,7kW (tN = 26°C)
-
moc chłodnicy wodnej
-
moc nagrzewnicy elektrycznej
-
moc silnika nawiewnego
- 2,2kW
-
moc silnika wywiewnego
- 0,75kW
- 28,9kW (tN = 12°C)
- 9kW (tNl = 22°C)
Zastosowano centralę nawiewno-wywiewną dachową np. firmy Clima Produkt typ HYGIENOS-1 (70) w
wykonaniu higienicznym składającą się z następujących sekcji:
Nawiew:
-
filtr kieszeniowy EU5
-
wymiennik glikolowy
-
nagrzewnica glikolowa
-
chłodnica glikolowa
-
nagrzewnica elektryczna
-
wentylator nawiewny promieniowo-osiowy
-
filtr wtórny EU9
Wywiew:
-
filtr kieszeniowy EU5
-
wentylator wywiewny promieniowo-osiowy
-
wymiennik glikolowy
Dodatkowo do współpracy z centralą 3N2 zaprojektowano nawilŜacz parowy typ
-
typ HY30 "Hygromatic"
-
wydajność 30kg/h
-
pobór mocy elektrycznej 22,5kW
-
pobór prądu 32,5A
-
bezpiecznik sieci zasilającej 3x35A
-
sterownik comfort plus
-
przewód parowy 1 x DN40 z lancą 1xDN40 (długość lancy l= 600mm)
-
przewód kondensatu 1 x DN12
-
wymiary :
-
wysokość h=707mm
-
szerokość s=560mm
-
grubość g=327mm
Do nawiewu i wywiewu dla Sali operacyjnej nr 3
3N3/3W3 dobrano centralę nawiewno-wywiewną
sekcyjną o następujących parametrach:
2
-
powietrze nawiewane
- 3280m3/h
-
powietrze wywiewane
- 2760m3/h
-
spręŜ dyspozycyjny
- 800/400Pa (nawiew /wyciąg)
-
moc wymiennika glikolowego
- 21,3kW (zima)
-
moc nagrzewnicy glikolowej - 35,4kW (tN = 26°C)
-
moc chłodnicy wodnej
-
moc nagrzewnicy elektrycznej
- 35,7kW (tN = 12°C)
- 12kW (tNl = 22°C)
ROZBUDOWA I PRZEBUDOWA POMIESZCZEŃ SPZOZ W KOŚCIANIE NA ODDZIAŁ
CHIRURGII I ORTOPEDII, BLOK OPERACYJNY, STERYLIZATORNIĘ ORAZ POMIESZCZEŃ
POMOCNICZYCH WRAZ Z DOBUDOWĄ SZYBU DŹWIGOWEGO I NADBUDOWĄ KLATKI SCHODOWEJ
-
moc silnika nawiewnego
- 2,2kW
-
moc silnika wywiewnego
- 0,75kW
Zastosowano centralę nawiewno-wywiewną dachową np. firmy Clima Produkt typ HYGIENOS-2 (70) w
wykonaniu higienicznym składającą się z następujących sekcji:
Nawiew:
-
filtr kieszeniowy EU5
-
wymiennik glikolowy
-
nagrzewnica glikolowa
-
chłodnica glikolowa
-
nagrzewnica elektryczna
-
wentylator nawiewny promieniowo-osiowy
-
filtr wtórny EU9
Wywiew:
-
filtr kieszeniowy EU5
-
wentylator wywiewny promieniowo-osiowy
-
wymiennik glikolowy
Dodatkowo do współpracy z centralą 3N3 zaprojektowano nawilŜacz parowy typ
-
typ HY30 "Hygromatic"
-
wydajność 30kg/h
-
pobór mocy elektrycznej 22,5kW
-
pobór prądu 32,5A
-
bezpiecznik sieci zasilającej 3x35A
-
sterownik comfort plus
-
przewód parowy 1 x DN40 z lancą 1xDN40 (długość lancy l = 600mm)
-
przewód kondensatu 1 x DN12
-
wymiary :
-
wysokość h=707mm
-
szerokość s=560mm
-
grubość g=327mm
Do nawiewu i wywiewu dla Sali wybudzeń
i komunikacji B02 3N4/3W4 dobrano centralę nawiewno-
wywiewną sekcyjną o następujących parametrach:
-
powietrze nawiewane
- 2780m3/h
-
powietrze wywiewane
- 3200m3/h
-
spręŜ dyspozycyjny
- 800/400Pa (nawiew /wyciąg)
-
moc wymiennika glikolowego
- 16,5kW (zima)
-
moc nagrzewnicy glikolowej - 29,6kW (tN = 26°C)
-
moc chłodnicy wodnej
-
moc nagrzewnicy elektrycznej
-
moc silnika nawiewnego
- 2,2kW
-
moc silnika wywiewnego
- 1,5kW
- 30,2kW (tN = 12°C)
- 9kW (tNl = 21,6°C)
Zastosowano centralę nawiewno-wywiewną dachową np. firmy Clima Produkt typ HYGIENOS-1 (70) w
wykonaniu higienicznym składającą się z następujących sekcji:
Nawiew:
-
filtr kieszeniowy EU5
-
wymiennik glikolowy
-
nagrzewnica glikolowa
-
chłodnica glikolowa
-
nagrzewnica elektryczna
-
wentylator nawiewny promieniowo-osiowy
-
filtr wtórny EU9
Wywiew:
-
filtr kieszeniowy EU5
-
wentylator wywiewny promieniowo-osiowy
-
wymiennik glikolowy
Dodatkowo do współpracy z centralą 3N4 zaprojektowano nawilŜacz parowy typ
2
-
typ HY30 "Hygromatic"
-
wydajność 30kg/h
-
pobór mocy elektrycznej 22,5kW
-
pobór prądu 32,5A
-
bezpiecznik sieci zasilającej 3x35A
-
sterownik comfort plus
-
przewód parowy 1 x DN40 z lancą 1xDN40 (długość lancy l = 600mm)
-
przewód kondensatu 1 x DN12
-
wymiary :
ROZBUDOWA I PRZEBUDOWA POMIESZCZEŃ SPZOZ W KOŚCIANIE NA ODDZIAŁ
CHIRURGII I ORTOPEDII, BLOK OPERACYJNY, STERYLIZATORNIĘ ORAZ POMIESZCZEŃ
POMOCNICZYCH WRAZ Z DOBUDOWĄ SZYBU DŹWIGOWEGO I NADBUDOWĄ KLATKI SCHODOWEJ
-
wysokość h=707mm
-
szerokość s=560mm
-
grubość g=327mm
Do nawiewu i wywiewu dla Szatni czystej
i komunikacji BO1 3N5/3W5 dobrano centralę nawiewno-
wywiewną sekcyjną o następujących parametrach:
-
powietrze nawiewane
- 1680m3/h
-
powietrze wywiewane
- 1370m3/h
-
spręŜ dyspozycyjny
- 800/400Pa (nawiew /wyciąg)
-
moc wymiennika glikolowego
- 11,7kW (zima)
-
moc nagrzewnicy glikolowej - 15kW (tN = 24°C)
-
moc chłodnicy wodnej
- 10,6kW (tN = 18°C)
-
moc silnika nawiewnego
- 1,1kW
-
moc silnika wywiewnego
- 0,37kW
Zastosowano centralę nawiewno-wywiewną dachową np. firmy Clima Produkt typ HYGIENOS-1 (70) w
wykonaniu higienicznym składającą się z następujących sekcji:
Nawiew:
-
filtr kieszeniowy EU5
-
wymiennik glikolowy
-
nagrzewnica glikolowa
-
chłodnica glikolowa
-
wentylator nawiewny promieniowo-osiowy
-
filtr wtórny EU9
Wywiew:
-
filtr kieszeniowy EU5
-
wentylator wywiewny promieniowo-osiowy
-
wymiennik glikolowy
Do nawiewu i wywiewu dla Komunikacji wew. BO3 3N6/3W6 dobrano centralę nawiewno-wywiewną
sekcyjną o następujących parametrach:
-
powietrze nawiewane
- 2290m3/h
-
powietrze wywiewane
- 2250m3/h
-
spręŜ dyspozycyjny
- 800/400Pa (nawiew /wyciąg)
-
moc wymiennika glikolowego
- 14,3kW (zima)
-
moc nagrzewnicy glikolowej - 23,7kW (tN = 24°C)
-
moc chłodnicy wodnej
- 14,5kW (tN = 18°C)
-
moc silnika nawiewnego
- 2,2kW
-
moc silnika wywiewnego
- 0,75kW
Zastosowano centralę nawiewno-wywiewną dachową np. firmy Clima Produkt typ HYGIENOS-1 (70) w
wykonaniu higienicznym składającą się z następujących sekcji:
Nawiew:
-
filtr kieszeniowy EU5
-
wymiennik glikolowy
-
nagrzewnica glikolowa
-
chłodnica glikolowa
-
wentylator nawiewny promieniowo-osiowy
-
filtr wtórny EU9
Wywiew:
-
filtr kieszeniowy EU5
-
wentylator wywiewny promieniowo-osiowy
-
wymiennik glikolowy
IV piętro
Do nawiewu i wywiewu dla sterylizacji czystej 4N1/4W1 dobrano centralę nawiewno-wywiewną sekcyjną o
następujących parametrach:
-
powietrze nawiewane
- 5040m3/h
-
powietrze wywiewane
- 4210m3/h
-
spręŜ dyspozycyjny
- 500/500Pa (nawiew /wyciąg)
-
moc wymiennika glikolowego
- 28,8kW (zima)
-
moc nagrzewnicy glikolowej - 47,7kW (tN = 20°C)
-
moc chłodnicy wodnej
-
moc nagrzewnicy elektrycznej
-
moc silnika nawiewnego
- 4,0kW
-
moc silnika wywiewnego
- 2,2kW
- 46,1kW (tN = 14°C)
- 15kW (tNl = 22°C)
Zastosowano centralę nawiewno-wywiewną dachową np. firmy Clima Produkt typ HYGIENOS-2 (70) w
wykonaniu higienicznym składającą się z następujących sekcji:
2
ROZBUDOWA I PRZEBUDOWA POMIESZCZEŃ SPZOZ W KOŚCIANIE NA ODDZIAŁ
CHIRURGII I ORTOPEDII, BLOK OPERACYJNY, STERYLIZATORNIĘ ORAZ POMIESZCZEŃ
POMOCNICZYCH WRAZ Z DOBUDOWĄ SZYBU DŹWIGOWEGO I NADBUDOWĄ KLATKI SCHODOWEJ
Nawiew:
-
filtr kieszeniowy EU5
-
wymiennik glikolowy
-
nagrzewnica glikolowa
-
chłodnica glikolowa
-
nagrzewnica elektryczna
-
wentylator nawiewny promieniowo-osiowy
-
filtr wtórny EU9
Wywiew:
-
filtr kieszeniowy EU5
-
wentylator wywiewny promieniowo-osiowy
-
wymiennik glikolowy
Do nawiewu i wywiewu dla sterylizacji brudnej 4N2/4W2 dobrano centralę nawiewno-wywiewną sekcyjną
o następujących parametrach:
-
powietrze nawiewane
- 1210m3/h
-
powietrze wywiewane
- 1450m3/h
-
spręŜ dyspozycyjny
- 500/400Pa (nawiew /wyciąg)
-
moc wymiennika glikolowego
- 8,4kW (zima)
-
moc nagrzewnicy glikolowej - 9,2kW (tN = 20°C)
-
moc chłodnicy wodnej
- 7,7kW (tN = 14°C)
-
moc silnika nawiewnego
- 0,55kW
-
moc silnika wywiewnego
- 0,37kW
Zastosowano centralę nawiewno-wywiewną dachową np. firmy Clima Produkt typ HYGIENOS-1 (70) w
wykonaniu higienicznym składającą się z następujących sekcji:
Nawiew:
-
filtr kieszeniowy EU5
-
wymiennik glikolowy
-
nagrzewnica glikolowa
-
chłodnica glikolowa
-
wentylator nawiewny promieniowo-osiowy
-
filtr wtórny EU9
Wywiew:
-
filtr kieszeniowy EU5
-
wentylator wywiewny promieniowo-osiowy
-
wymiennik glikolowy
Do nawiewu
dla komunikacji sterylizacji
4N3 dobrano centralę nawiewną sekcyjną o następujących
parametrach:
-
powietrze nawiewane
- 570m3/h
-
spręŜ dyspozycyjny
- 400Pa
-
moc nagrzewnicy glikolowej - 7,3kW (tN = 20°C)
-
moc chłodnicy wodnej
- 3,6kW (tN = 18°C)
-
moc silnika nawiewnego
- 0,18kW
Zastosowano centralę nawiewną dachową np. firmy Clima Produkt typ GOLEM-G-1 (70) składającą się z
następujących sekcji:
Nawiew:
-
filtr kieszeniowy EU5
-
nagrzewnica glikolowa
-
chłodnica glikolowa
-
wentylator nawiewny promieniowo-osiowy
-
filtr wtórny EU9
Szczegółowe parametry central wentylacyjnych przedstawiono w kartach doboru- patrz załącznik nr 7.3
Dobór wentylatorów wywiewnych – patrz załącznik nr 7.2.
Agregat wody lodowej – AW1.
Do współpracy z chłodnicami central wentylacyjnych dobrano agregat wody lodowej wraz z firmową
automatyką sterującą 1szt. np. marki Daikin typ EWAQ210DAYNNB w wersji wyciszonej OPLN ze zbiornikiem
buforowym (stabilizacyjnym) OPBT i pojedynczym modułem pompowym OPSP o następujących parametrach:
2
-
moc chłodnicza 210kW
-
moc elektryczna 69+4=73kW/400V
-
parametry czynnika 7/12ºC
-
Ergolid Eko (propylenowy) (-25ºC, stęŜenie 42%)
-
Przepływ 11,4 l/s
-
Strata ciśnienia 10,6 mH2O
-
Wymiary: wysokość 2311/szerokość 2000mm/długość 3081mm
-
Masa eksploatacyjna 2100kg
ROZBUDOWA I PRZEBUDOWA POMIESZCZEŃ SPZOZ W KOŚCIANIE NA ODDZIAŁ
CHIRURGII I ORTOPEDII, BLOK OPERACYJNY, STERYLIZATORNIĘ ORAZ POMIESZCZEŃ
POMOCNICZYCH WRAZ Z DOBUDOWĄ SZYBU DŹWIGOWEGO I NADBUDOWĄ KLATKI SCHODOWEJ
Instalacja napowietrzania klatek schodowych:
Do napowietrzania 2 klatek schodowych w osiach 1a-2a oraz I-K/11-12 dobrano 4 szt. wentylatorów np.
marki „Flakt Bovent” o następujących parametrach:
-
Typ SMPA 100
-
Moc elektryczna silnika wentylatora 9kW
-
NatęŜenie prądu 17A
-
Wymiary: wysokość 1200/ szerokość 1200/głębokość 744mm
System napowietrzania oprócz wentylatorów zawiera niŜej wymienione elementy wyposaŜenia elektrycznego
oraz automatyki:
-
Moduł sterowania SMPZ-2
-
Panel sterowania SMPZ-3
-
Przekaźnik róŜnicy ciśnienia IZ-4
-
Wyłącznik bezpieczeństwa
-
Skrzynka przyłączeniowa
-
Przemiennik częstotliwości
-
Automatyczny system sterowania
Upust dymu następować będzie grawitacyjnie poprzez uchylne okna z siłownikami wg projektu architektury.
4. WYMAGANIA I ZALECENIA.
4.1. Wymagania przeciwpoŜarowe.
Projektowane instalacje wentylacyjne i klimatyzacyjne wykonane będą z materiałów niepalnych i nie
stwarzają zagroŜenia poŜarowego.
Przy przechodzeniu przewodów przez przegrody poŜarowe (strop między sterylizatornią a 3 piętrem)
przewidziano klapy ppoŜ. topikowe odcinającą o odporności ogniowej EIS120min. Przepusty ogniowe, przy
przejściu kanałów wentylacyjnych, będą wykonane z masy uszczelniającej HILTI typ CP601S zapewniającą
klasę odporności ogniowej równą elementowi oddzielenia, w którym są wykonane.
4.2. Wymagania bezpieczeństwa i higieny pracy.
Zaprojektowane instalacje wentylacji i klimatyzacyjne spełnia warunki obowiązujących przepisów w
zakresie bezpieczeństwa i higieny pracy.
Centrale przeznaczone na sale operacyjne, salę wybudzeń, korytarz czysty i sterylizację t.j. 3N1/3W1;
3N2/3W2; 3N3/3W3; 3N4/3W4; 3N5/3W5; 3N6/3W6; 4N1/4W1; 4N2/4W2
powinny być wykonane w tzw. standarcie higienicznym obejmującym m.in.:
dostępność (podzespoły centrali powinny być dostępne przez drzwi rewizyjne z obu ich stron do
czyszczenia lub powinny być bezpiecznie i łatwo demontowalne)
gładkość powierzchni (Nie powinno się dopuszczać półzamkniętych profili lub połączeń, które mogą
gromadzić zanieczyszczenia oraz brud i są trudne do oczyszczenia, szczególnie w podłodze
obudowy. Wszystkie materiały włókniste lub porowate, z wyjątkiem podzespołów wymiennych,
takich jak wkłady filtrujące, powinny być pokryte odpowiednim, gładkim tworzywem,
wytrzymującym wielokrotne czyszczenie. Śruby i inne podobne elementy nie powinny wystawać z
wewnętrznych ścian).
sprawdzalność poprawności pracy - okna inspekcyjne i oświetlenie (wszystkie zespoły powinny być
wyposaŜone w okna inspekcyjne oraz oświetlenie wewnętrzne, umoŜliwiające kontrolę co
najmniej wentylatorów, filtrów, nawilŜaczy i chłodnic i nagrzewnic).
szczelność (napływ nie filtrowanego powietrza przez nieszczelności obudowy moŜe spowodować
problemy higieniczne. W związku z tym, szczelność obudowy powinna odpowiadać wymaganiom,
wymienionym w tablicy 2 normy EN 1886:1998)
usuwalność skroplin oraz środków dezynfekujących uŜywanych podczas czyszczenia centrali
-
skośne podłogi lub wanny na całej jej długości, co ułatwia dezynfekcję centrali.
rynienki ściekowe ze stali nierdzewnej umoŜliwiające odpływ zanieczyszczeń po
umyciu,
-
skośnie osadzone wymienniki – swobodny spływ skroplin i środków dezynfekujących
przedłuŜoną „Ŝywotność central”
-
wymienniki w centralach zabezpieczone przed korozją spowodowaną środkami
dezynfekującymi (epoksydowane)
-
wentylatory
central
powinny
posiadają
spusty
umoŜliwiające
natychmiastowe
odprowadzenie środków myjących z ich wnętrza
-
całość wewnętrznych osłon wykonana blachy kwasoodpornej
-
wszystkie kulisy tłumików szumów są łatwo „demontowalne” umoŜliwia to ich
indywidualne oczyszczenie
Centrale higieniczne powinny mieć dopuszczenie P.Z.H. z przeznaczeniem do „do klimatyzacji
pomieszczeń w budynkach uŜyteczności publicznej o podwyŜszonych wymaganiach higienicznych w tym
szpitalach łącznie z blokami operacyjnymi”
Pozostałe centrale mogą być w wykonaniu standardowym.
Przewody wentylacyjne wyposaŜone będą w otwory rewizyjne umoŜliwiające oczyszczenie wnętrza
tych przewodów (lokalizacja i wykonanie rewizji po wyborze firmy wykonującej pierwsze czyszczenie kanałów
wentylacyjnych – nie objęte opracowaniem).
Powietrze świeŜe do zładów wentylacyjnych jest zasysane za pomocą wspólnej czerpni umieszczonej
na dachu. Wyrzut powietrza wyciągowego z poszczególnych zładów odbywa się za pomocą
dachowych z wyrzutami pionowymi ponad dach budynku.
2
wyrzutni
ROZBUDOWA I PRZEBUDOWA POMIESZCZEŃ SPZOZ W KOŚCIANIE NA ODDZIAŁ
CHIRURGII I ORTOPEDII, BLOK OPERACYJNY, STERYLIZATORNIĘ ORAZ POMIESZCZEŃ
POMOCNICZYCH WRAZ Z DOBUDOWĄ SZYBU DŹWIGOWEGO I NADBUDOWĄ KLATKI SCHODOWEJ
4 .3. Wymagania ochrony akustycznej i przeciwdrganiowe.
4.3.1. Dla stłumienia hałasu na kanałach nawiewnych w części tłocznej oraz wyciągowych w części ssawnej
przewidziano tłumiki szumów.
4.3.2. Dla stłumienia hałasów przenoszonych przez kanały wentylacyjne przewidziano łączenie przewodów
z urządzeniami przy pomocy króćców elastycznych.
4.3.4. Centrale oraz agregaty naleŜy ustawić na podkładkach antywibracyjnych np.”Cibatur” 1000 gr.30mm
układanych w pasmach o szerokości 60mm pod ramą centrali i agregatu (dostawca Jordan&Pfeifer Krępice
k/Wrocławia).
4.3.5. Na rurociągach wody lodowej wchodzących i wychodzących z agregatu zastosować połączenia
przeciwdrganiowe.
4.4. Wymagania ochrony przez korozją.
Wszystkie elementy instalacji wentylacyjnych wykonać z blachy stalowej ocynkowanej. Przewody i
kształtki
z
blachy stalowej ocynkowanej nie wymagają malowania. Natomiast elementy wsporników i
podparć wykonane ze stali nieocynkowanej naleŜy zabezpieczyć farbą podkładową chlorokauczukową oraz
emalią
chlorokauczukową nawierzchniową w kolorze niebieskim uprzednio oczyszczając do 2 stopnia
czystości.
4.5. Wymagania izolacyjne.
Przewody instalacji wentylacyjnych na odcinkach:
W obrębie pomieszczeń:
- nawiewne w części tłocznej izolować matami samoprzylepnymi z wełny mineralnej gr. 40mm. pod płaszcz z
folii AL.
- wyciągowe w części ssawnej w zładach z odzyskiem ciepła izolować matami samoprzylepnymi z wełny
mineralnej gr. 40mm. pod płaszcz z folii AL.
Na dachu:
- nawiewne w części tłocznej izolować matami z wełny mineralnej w oplocie z siatki drucianej gr. 2x50mm.
pod płaszcz z blachy ocynkowanej,
- wyciągowe w części ssawnej w zładach z odzyskiem ciepła izolować matami z wełny mineralnej gr.
2x50mm. w oplocie z siatki drucianej pod płaszcz z blachy ocynkowanej.
4.6. Wymagania ochrony środowiska.
Powietrze usuwane na zewnątrz przez instalacje wentylacyjne nie zawiera czynników szkodliwych.
4.7. Wymagania w zakresie montaŜu, rozruchu i odbioru instalacji.
4.7.1. Wszystkie projektowane elementy instalacji wentylacyjnych:
kanały wykonać z:
blachy stalowej ocynkowanej w/g KB1-37.5 - 37.8 lub norm branŜowych BN-70/8865-04, BN-
-
70/8865-05 lub norm zakładowych
4.7.2. Przewody odprowadzające skropliny wykonać z rur PCV.
4.7.3. Zestaw zasilająco-odcinający nagrzewnice i chłodnic central wentylacyjnych naleŜy montować tak, aby
istniała moŜliwość demontaŜu nagrzewnicy i jej wymiany bez demontaŜu całego przyłącza.
4.7.4. Elementy podejść do urządzeń wentylacyjnych, przekuć przez stropy i ściany, wykonywać i pasować
na montaŜu
4.7.5. Przewody naleŜy podpierać w odległościach przewidzianych normą. Podpory mocować do konstrukcji
4.7.6. Na odcinkach przejść przez ścianę kanały wentylacyjne obkładać wełną mineralną grubości 20mm w
celu umoŜliwienia swobodnego ich rozszerzania się.
4.7.7. NaleŜy zwrócić szczególną uwagę na izolację termiczna i przeciwroszeniową instalacji chłodniczej.
4.7.8. W przypadku kolizji z przewodami c.o., wod-kan lub elektrycznymi wykonać obejścia tymi instalacjami.
4.7.9.Stosować wyłącznie urządzenia i armaturę posiadające niezbędne atesty, aprobaty i dopuszczenia
4.7.10.
Przy
montaŜu
instalacji
przestrzegać: "Warunki techniczne wykonania i odbioru instalacji
wentylacyjnych” zeszyt nr 5.
4.7.11..Przy montaŜu instalacji dbać o czyste wykonawstwo oraz zapewnić szczelność połączeń.
4.7.12.Po zakończeniu montaŜu instalacji dokonać pomiarów sprawnościowych instalacji wentylacyjnej i
przeprowadzić regulację
4.7.13. Odbiory naleŜy przeprowadzić zgodnie z
normami i warunkami technicznymi. Szczególną uwagę
naleŜy zwrócić na odbiory końcowe robót zanikających.
4.7.14. Całość robót tj. montaŜ i uruchomienie instalacji klimatyzacji, chłodniczej powierzyć specjalistycznej
firmie mającej doświadczenie w powyŜszych instalacjach
4.9. Wymagania w zakresie uŜytkowania.
Warunkiem prawidłowej pracy instalacji i spełnienia wymagań
stawianych
jej
w
projekcie
jest
właściwa eksploatacja. Wszystkie urządzenia powinny znajdować się pod bezpośrednim nadzorem słuŜb
eksploatacyjnych.
5. ZAŁOśENIA DLA BRANś.
5.1. BranŜa architektoniczno-budowlana.
W
zakres prac budowlanych związanych z instalacjami
wentylacyjnymi i klimatyzacyjnymi wchodzi
wykonanie:
2
-
przekuć pod kanały wentylacyjne w ścianach i stropach wraz z koniecznymi wzmocnieniami,
-
obudowy kanałów wentylacyjnych w pomieszczeniach gdzie nie występują sufity podwieszane,
-
pozostawienie rewizji do otworów inspekcyjnych w kanałach, elementów regulacyjnych i innych
ROZBUDOWA I PRZEBUDOWA POMIESZCZEŃ SPZOZ W KOŚCIANIE NA ODDZIAŁ
CHIRURGII I ORTOPEDII, BLOK OPERACYJNY, STERYLIZATORNIĘ ORAZ POMIESZCZEŃ
POMOCNICZYCH WRAZ Z DOBUDOWĄ SZYBU DŹWIGOWEGO I NADBUDOWĄ KLATKI SCHODOWEJ
elementów niezbędnych do funkcjonowania instalacji,
-
konstrukcji wsporczej pod centrale wentylacyjne, agregat chłodniczy i wentylatory napowietrzające:
-
Centrala 2N1/2W1 masa 1568 kg
-
Centrala 3N1/3W1 masa 1437 kg
-
Centrala 3N2/3W2 masa 1133 kg
-
Centrala 3N3/3W3 masa 1405 kg
-
Centrala 3N4/3W4 masa 1136 kg
-
Centrala 3N5/3W5 masa 1062 kg
-
Centrala 3N6/3W6 masa 1063 kg
-
Centrala 4N1/4W1 masa 1421 kg
-
Centrala 4N2/4W2 masa 1056 kg
-
Centrala 4N3 masa 443 kg
-
Agregat chłodniczy masa 2100kg
-
Wentylator napowietrzający 4szt. masa 150 kg
5.2.Instalacja elektryczna.
- zasilić szafyi zasilająco-sterujące central wentylacyjnych i agregatu chłodniczego
szafy RZS zaprojektowane zostały w centralach wentylacyjnych i agregacie na dachu
- Instalacja 2N1/2W1- 3+2,2 kW/400V
- Instalacja 3N1/3W1- 4+1,5+18 kW/400V
- Instalacja 3N2/3W2 – 2,2+0,75+9 kW/400V
- Instalacja 3N3/3W3 – 2,2+0,75+12 kW/400V
- Instalacja 3N4/3W4 – 2,2+1,5+9 kW/400V
- Instalacja 3N5/3W5+3SW2 – 1,1+0,37+0,06 kW/400V
- Instalacja 3N6/3W6 – 2,2+0,75 kW/400V
- Instalacja 4N1/4W1+4W4 – 4+2,2+15+0,06 kW/400V
- Instalacja 4N2/4W2 – 0,55+0,37 kW/400V
- Instalacja 4N3/4W3 – 0,18+0,19 kW
- Instalacja hybrydowa 57szt. x 5 W
dodatkowo zasilić:
- NawilŜacz parowy dla centrali 3N1 - 33,8kW
- NawilŜacz parowy dla centrali 3N2 -22,5 kW
- NawilŜacz parowy dla centrali 3N3 -22,5 kW
- NawilŜacz parowy dla centrali 3N4 -22,5 kW
- AW1- agregat EWAQ210DAYNNB - 73kW/400V
- Wentylatory napowietrzające – 9kW – kablem o odpowiedniej odporności ogniowej -4szt..
- indywidualne wentylatory od 2W2 do 2W7, 3W7, 3W8, 4W4, 4W5, 4W6
- indywidualne wentylatory wywiewne z sanitariatów od 1SW1 do 1SW40, od 3SW1 do 3SW6,
4SW1,4SW2
5.3. Instalacja c.o.
Zasilić w czynnik grzewczy 80/60ºC nagrzewnice central oraz dobrać pompy krótkiego obiegu i zawory
3.drogowe wg poniŜszego zestawienia:
Lp.
Instalacja
Zapotrzebowanie
Przepływ
Opory
ciepła [kW]
3
przepływu
[m /h]
czynnika
[kPa]
1
2N1
48,6
2,28
26
2
3N1
52,7
2,47
35,3
3
3N2
29,7
1,39
25,4
4
3N3
35,4
1,66
51,2
5
3N4
29,6
1,39
30
6
3N5
15
0,7
9,9
7
3N6
23,7
1,11
18
8
4N1
47,7
2,24
86,9
9
4N2
9,2
0,43
14,5
10
4N3
7,3
0,34
10
Dobory pomp i zaworów 3.drogowych wg branŜy co i ct.. Dobory naleŜy skorygować na etapie zamówienia
po otrzymaniu kart doboru zamówionych urządzeń.
Dla wszystkich nagrzewnic przewidziano zawory regulacyjne z siłownikami oraz pompy obiegowe (dostawa
wg branŜy c.o. i c.t.). Pozostałe parametry urządzeń podano w załącznikach nr 7.2 i 7.3.
Połączyć sekcje odzysku glikolowego rurociągami oraz dobrać elektroniczne pompy obiegowe w centralach z
odzyskiem ciepła.
Dobory pomp wg branŜy co i ct.. Dobory naleŜy skorygować na etapie zamówienia po otrzymaniu kart
2
ROZBUDOWA I PRZEBUDOWA POMIESZCZEŃ SPZOZ W KOŚCIANIE NA ODDZIAŁ
CHIRURGII I ORTOPEDII, BLOK OPERACYJNY, STERYLIZATORNIĘ ORAZ POMIESZCZEŃ
POMOCNICZYCH WRAZ Z DOBUDOWĄ SZYBU DŹWIGOWEGO I NADBUDOWĄ KLATKI SCHODOWEJ
doboru zamówionych urządzeń.
5.4. Instalacja wod-kan.
Zasilić w wodę nawilŜacze parowe i odprowadzić wody popłuczne z nawilŜaczy.
Odprowadzić skropliny w wymienników ciepła central wentylacyjnych.
5.5. Automatyczna regulacja
Układy nawiewno-wywiewne i wywiewne
Sale operacyjne i sala wybudzeń
3N1/3W1, 3N2/3W2,3N3/3W3,3N4/3W4
Zestaw automatyki powinien obejmować standardowe wyposaŜenie central wentylacyjnych nawiewnowywiewnych tj. m. in.:
−
szafa zasilająco sterująca (z zabezpieczeniami, stycznikami, regulatorem etc.)
−
presostaty filtrów powietrza w centralach
−
presostaty wentylatorów w centralach
−
presostaty filtrów w nawiewnikach z filtrami H13
o
instalacja 3N1/3W1
o
instalacja 3N3/3W3
o
instalacja 3N4/3W4
−
zespół przeciwzamroŜeniowy dla nagrzewnic glikolowych
−
siłownik przepustnicy ze spręŜyną dla przepustnicy na powietrzu świeŜym (nagrzewnica wodna)
−
zespoły regulacyjne wyposaŜone w zawory trójdrogowe z siłownikami oraz pompy krótkiego obiegu
nagrzewnic
−
zespoły regulacyjne wyposaŜone w zawory trójdrogowe z siłownikami oraz pompy krótkiego obiegu
chłodnic
−
regulator mocy nagrzewnic elektrycznych w pełnym zakresie mocy z zabezpieczeniami nagrzewnicy
elektrycznej oraz przewietrzaniem po wyłączeniu centrali
−
zespoły odzysku glikolowego wyposaŜone w elektronicznie sterowane pompy z sygnałem (0-10V)
−
start do nawilŜacza parowego
−
panel sterujący w sali operacyjnej i sali wybudzeń w wykonaniu higienicznym włącz/wyłącz z
moŜliwością zadawania temperatury i wilgotności
−
port komunikacyjny w sterowniku umoŜliwiający podpięcie do systemu BMS
−
zegar tygodniowy sterujący zmniejszeniem wydajności central w momencie przerw w pracy
−
sterowanie regulatorami prędkości obrotowej silników central (falowniki nasilnikowe)
−
regulator ciśnienia dynamicznego zakres pomiarowy 0-100Pa
z sygnałem sterującym (0-10V) za
centralą wentylacyjną podłączony do krzyŜa pomiarowego, sygnał do falownika z regulatora ciśnienia
−
styk do odbioru sygnału z SAP.
Praca układu wg temperatury pomieszczenia dla lata i dla zimy (ogrzewanie powietrzne sal operacyjnych)
Oddział sterylizacji czystej
4N1/4W1
Zestaw automatyki powinien obejmować standardowe wyposaŜenie central wentylacyjnych nawiewnowywiewnych tj m. in.:
−
szafa zasilająco sterująca (z zabezpieczeniami, stycznikami, regulatorem etc.)
−
presostaty filtrów powietrza w centralach
−
presostaty wentylatorów w centralach
−
presostaty filtrów w nawiewnikach z filtrami H13
−
zespół przeciwzamroŜeniowy dla nagrzewnic glikolowych
−
siłownik przepustnicy ze spręŜyną dla przepustnicy na powietrzu świeŜym (nagrzewnica wodna)
−
zespoły regulacyjne wyposaŜone w zawory trójdrogowe z siłownikami oraz pompy krótkiego obiegu
nagrzewnic
−
zespoły regulacyjne wyposaŜone w zawory trójdrogowe z siłownikami oraz pompy krótkiego obiegu
chłodnic
−
regulator mocy nagrzewnic elektrycznych w pełnym zakresie mocy z zabezpieczeniami nagrzewnicy
elektrycznej oraz przewietrzaniem po wyłączeniu centrali
−
zespoły odzysku glikolowego wyposaŜone w elektronicznie sterowane pompy z sygnałem (0-10V)
−
panel sterujący w wykonaniu higienicznym włącz/wyłącz z moŜliwością zadawania temperatury
−
port komunikacyjny w sterowniku umoŜliwiający podpięcie do systemu BMS
−
zegar tygodniowy sterujący zmniejszeniem wydajności central w momencie przerw w pracy
−
sterowanie regulatorami prędkości obrotowej silników central (falowniki nasilnikowe)
−
Blokada pracy wentylatora wywiewnego 4W4 z instalacją 4N1/4W1
−
styk do odbioru sygnału z SAP.
Pozostałe układy
3N5/3W5, 3N6/3W6, 4N2/4W2, 4N3/4W3
Zestaw automatyki powinien obejmować standardowe wyposaŜenie central wentylacyjnych nawiewnowywiewnych tj m. in.:
2
−
szafa zasilająco sterująca (z zabezpieczeniami, stycznikami, regulatorem etc.)
−
presostaty filtrów powietrza w centralach
−
presostaty wentylatorów w centralach
−
zespół przeciwzamroŜeniowy dla nagrzewnic glikolowych
−
siłownik przepustnicy ze spręŜyną dla przepustnicy na powietrzu świeŜym (nagrzewnica wodna)
ROZBUDOWA I PRZEBUDOWA POMIESZCZEŃ SPZOZ W KOŚCIANIE NA ODDZIAŁ
CHIRURGII I ORTOPEDII, BLOK OPERACYJNY, STERYLIZATORNIĘ ORAZ POMIESZCZEŃ
POMOCNICZYCH WRAZ Z DOBUDOWĄ SZYBU DŹWIGOWEGO I NADBUDOWĄ KLATKI SCHODOWEJ
−
zespoły regulacyjne wyposaŜone w zawory trójdrogowe z siłownikami oraz pompy krótkiego obiegu
nagrzewnic
−
zespoły regulacyjne wyposaŜone w zawory trójdrogowe z siłownikami oraz pompy krótkiego obiegu
chłodnic
−
zespoły odzysku glikolowego wyposaŜone w elektronicznie sterowane pompy z sygnałem (0-10V)
−
panel sterujący w wykonaniu higienicznym włącz/wyłącz z moŜliwością zadawania temperatury
−
port komunikacyjny w sterowniku umoŜliwiający podpięcie do systemu BMS
−
zegar tygodniowy sterujący zmniejszeniem wydajności central w momencie przerw w pracy
−
sterowanie regulatorami prędkości obrotowej silników central (falowniki nasilnikowe)
−
Blokada pracy wentylatora wywiewnego 3SW2 z instalacją 3N5/3W5
−
styk do odbioru sygnału z SAP.
Agregat chłodniczy wyposaŜony we własną automatykę sterującą obsługującą równieŜ moduł hydrauliczny.
Uruchomienie agregatu chłodniczego po stronie autoryzowanego serwisu producenta.
System napowietrzania klatek schodowych naleŜy zainstalować z integralną automatyka sterującą.
Uruchomienie systemu napowietrzania po stronie autoryzowanego serwisu producenta.
6. INFORMACJA DOTYCZĄCA PLANU BEZPIECZEŃSTWA I OCHRONY ZDROWIA
Instalacja wentylacji mechanicznej i klimatyzacji
6.1. Zakres robót dla całego zadania inwestycyjnego oraz kolejność realizacji poszczególnych
obiektów.
Zadanie inwestycyjne polega na:
a) MontaŜu wentylacji mechanicznej.
b) MontaŜu central wentylacyjnych i agregatu chłodniczego.
Kolejność realizacji inwestycji wynika z uzgodnionego harmonogramu inwestycji, będącego załącznikiem do
umowy przedstawia się następująco:
-
MontaŜ urządzeń.
-
Rozruch, odbiory i przeszkolenie obsługi.
6.2. Przewidywane zagroŜenia występujące podczas realizacji robót budowlanych określające
skalę i rodzaj zagroŜeń oraz miejsce i czas ich występowania.
Elementy działki, które mogą stwarzać zagroŜenie bezpieczeństwa i zdrowia ludzi.
a) Zagospodarowanie miejsca budowy, głównie podłączenie energii elektrycznej i wody oraz miejsca
prowadzenia robót budowlanych.
b) Zagospodarowanie placu budowy musi być wykonane przed rozpoczęciem robót budowlanych.
Sprawdzenie zagospodarowania placu budowy powinno obejmować w szczególności:
- doprowadzenie energii elektrycznej i wody,
- urządzenia higieniczno-sanitarne,
- urządzenia socjalno-bytowe.
Ponadto:
6.2.1. Prace na wysokości.
nie wyposaŜenie pracowników, stosownie do rodzaju prac wykonywanych na wysokości, w sprzęt chroniący
przed upadkiem,
nie uŜywanie lub nieprawidłowe uŜywanie przez pracowników sprzętu ochronnego,
niewłaściwy stan techniczny urządzeń zabezpieczających,
niedostateczne informowanie pracowników o zagroŜeniach, m.in. niedostarczenie im instrukcji i nie
prowadzenie szkoleń,
niska świadomość zagroŜenia,
niewłaściwa organizacja pracy,
brak systemu zarządzania bezpieczeństwem pracy w firmie.
6.2.2. Rusztowania budowlane i drabiny.
-
upadek z wysokości,
-
złamanie kończyn,
-
poślizgnięcie z powodu oblodzenia pomostów roboczych,
-
poraŜenia piorunem,
-
uderzenie w części ciała przedmiotem spadającym z wyŜszych kondygnacji rusztowania.
6.2.3. Roboty spawalnicze.
-
stosowanie niesprawnego sprzętu,
-
samowolna reperacja palników lub manometrów gazowych,
-
nieprzestrzeganie zasad obchodzenia się z butlami gazowymi,
-
nieprzestrzeganie zasad kolejności wykonywania czynności przy gaszeniu palników,
-
lekcewaŜenie drobnych nieszczelności instalacji gazowych,
-
nie uŜywanie środków ochrony osobistej przed poraŜeniem wzroku lub oparzeniami rąk,
-
lekcewaŜenie uszkodzeń kabli elektrycznych,
-
wystąpienie moŜliwości poparzeń roztopionym metalem.
6.2.4. Roboty wykonywane przy pomocy elektronarzędzi.
a)
poraŜenie prądem,
b)
oparzenia łukiem elektrycznym,
c)
powstanie poŜaru.
2
ROZBUDOWA I PRZEBUDOWA POMIESZCZEŃ SPZOZ W KOŚCIANIE NA ODDZIAŁ
CHIRURGII I ORTOPEDII, BLOK OPERACYJNY, STERYLIZATORNIĘ ORAZ POMIESZCZEŃ
POMOCNICZYCH WRAZ Z DOBUDOWĄ SZYBU DŹWIGOWEGO I NADBUDOWĄ KLATKI SCHODOWEJ
6.3. Sposób prowadzenie instruktaŜu pracowników przed przystąpieniem do realizacji robót
szczególnie niebezpiecznych.
Wykonawca przed przystąpieniem do wykonywania robót budowlanych jest obowiązany opracować
instrukcje bezpiecznego ich wykonywania i zaznajomić z nią pracowników w zakresie wykonywanych przez
nich robót.
1. Bezpośredni nadzór nad bezpieczeństwem i higieną pracy na stanowiskach pracy sprawują odpowiednio
kierownik robót oraz mistrz budowlany, stosownie do zakresu obowiązków.
2. KaŜdy pracodawca ma obowiązek ustalić wykaz prac szczególnie niebezpiecznych występujących na
budowie oraz sposoby postępowania przy wykonywaniu tych prac.
3. Pracownicy zatrudnieni na placu budowy powinni być wyposaŜeni w odpowiedni dla danej pracy sprzęt
ochrony osobistej lub zbiorowej oraz powinni być wyposaŜeni w odzieŜ roboczą i ochronną wg
obowiązujących tabel i norm zakładowych; zobowiązuje się pracowników do stosowania ich zgodnie z
przeznaczeniem.
4. Dla pracowników powinny być organizowane szkolenia BHP. Rodzaje obowiązujących szkoleń wg
Rozporządzenia Ministra Pracy i Polityki Socjalnej z dnia 28 maja 1996 r. w sprawie szczegółowych zasad
szkolenia w dziedzinie bezpieczeństwa i higieny pracy (Dz.U.1996/62/285) są następujące:
-
szkolenie wstępne ogólne,
-
szkolenie wstępne stanowiskowe,
-
szkolenie wstępne podstawowe,
-
szkolenie okresowe.
5. Podczas szkolenia na kaŜdym etapie naleŜy zapoznawać pracowników z ryzykiem zawodowym
związanym z wykonywaną pracą na poszczególnych stanowiskach pracy, oraz sposobem stosowania
podczas pracy środków ochrony osobistej, zabezpieczających przed skutkami zagroŜeń, np. kaski, szelki,
okulary ochronne, odzieŜy ochronnej itp.
6. W dokumentacji budowy powinny znajdować się wszystkie dokumenty potwierdzające przeprowadzenie
szkoleń w zakresie bhp, protokoły z dokonanych kontroli, wykaz wydanych zaleceń w zakresie bhp.
7. Ponadto na terenie budowy powinien być do wglądu pracowników plan bioz, dokonana ocena ryzyka
zawodowego. Informacja gdzie są przechowywane wyŜej wymienione dokumenty powinna znajdować się
na tablicy ogłoszeń.
6.4. Środki techniczne i organizacyjne zapobiegające niebezpieczeństwom wynikających z
wykonywania robót budowlanych w strefach szczególnego zagroŜenia zdrowia lub w ich sąsiedztwie w tym
zapewniających bezpieczną i sprawna komunikację, umoŜliwiającą szybką ewakuację na wypadek poŜaru,
awarii i innych zagroŜeń.
6.4.1. Warunki bezpiecznego prowadzenia robót na wysokości.
Przy pracach prowadzonych na róŜnych wysokościach naleŜy zachować warunki dotyczące stref
bezpieczeństwa, 1/10 wysokości, lecz nie mniej niŜ 6,0 m liczone w poziomie od miejsca wykonywanych
prac. Jednoczesne wykonywanie robót na dwóch lub więcej kondygnacjach w tym samym rejonie bez
stropów lub innych zabezpieczeń ochronnych (siatki, pomosty, daszki) jest wzbronione.
a)
Przy konieczności chwilowego wykonywania prac stwarzających zagroŜenie dla osób pracujących
poniŜej zobowiązuje się pracowników wykonujących te czynności do wydzielania strefy zagroŜenia i
bezwzględnego usunięcia wszystkich pracowników ze strefy zagroŜenia, a w miarę konieczności
postawienia pracownika informującego innych o tym zagroŜeniu.
b)
Przy pracach na rusztowaniach i innych podwyŜszeniach naleŜy zapewnić:
-
stabilność rusztowania i pomostów o odpowiedniej wytrzymałości z zabezpieczeniem ich przed
nieprzewidywalną zmianą połoŜenia,
-
powierzchnia pomostu powinna być wystarczająca dla pracowników, narzędzi i niezbędnego
materiału,
-
podłoga powinna być trwale przymocowana do elementów konstrukcyjnych pomostu,
-
zapewnić bezpieczeństwo przy komunikacji pionowej i dojściach do stanowiska pracy,
-
przed rozpoczęciem uŜytkowania rusztowania naleŜy dokonać odbioru technicznego.
c)
Przy pracach na wysokości stosować bariery ochronne umieszczone na wysokości co najmniej 1,1 m i
krawęŜników o wysokości co najmniej 0,15 m. Pomiędzy poręczą i krawęŜnikiem powinna być
umieszczona w połowie wysokości poprzeczka.
d)
W przypadku, gdy nie jest moŜliwe zastosowanie poręczy ochronnych, zabezpieczyć pracownika w
indywidualny sprzęt ochrony osobistej takiej jak:
-
szelki
bezpieczeństwa
z
linami
asekuracyjnymi
przymocowanymi
do
stałych
punktów
konstrukcyjnych,
-
szelki bezpieczeństwa z aparatami bezpieczeństwa,
-
hełmy ochronne przeznaczone do prac na wysokości.
6.4.2. Warunki bezpiecznej pracy na rusztowaniach.
MontaŜ rusztowań naleŜy wykonać w oparciu o obowiązujące w tym zakresie przepisy (PN-M47900/1, 2, 34) i
dokumentację techniczno – ruchową danego typu rusztowania.
MontaŜu rusztowań moŜe dokonać osoba (zespół) przeszkolona w tym zakresie montaŜu
-
rusztowań i posiadająca odpowiednie uprawnienia (ksiąŜeczkę operatora).
Po
-
montaŜu
rusztowania
osoba
(zespół)
sporządza
protokół
odbioru
rusztowania
dopuszczający do uŜytkowania, potwierdzony wpisem do Dziennika Budowy.
Rusztowania nietypowe, nie odpowiadające ww. PN naleŜy montować na podstawie wcześniej
-
opracowanego projektu.
Stosowanie drabin przenośnych powinny spełniać wymagania PN.
Zabrania się:
-
2
stosowania drabin uszkodzonych,
ROZBUDOWA I PRZEBUDOWA POMIESZCZEŃ SPZOZ W KOŚCIANIE NA ODDZIAŁ
CHIRURGII I ORTOPEDII, BLOK OPERACYJNY, STERYLIZATORNIĘ ORAZ POMIESZCZEŃ
POMOCNICZYCH WRAZ Z DOBUDOWĄ SZYBU DŹWIGOWEGO I NADBUDOWĄ KLATKI SCHODOWEJ
stosowania drabin jako drogi stałego transportu, a takŜe do przenoszenia cięŜarów o masie
-
powyŜej 10 kg,
-
uŜywania drabiny rozstawnej jako przystawnej,
-
ustawiania drabiny na niestabilnym podłoŜu,
-
opierania drabiny o śliskie płaszczyzny, obiekty lekkie, o stosy materiałów nie zapewniających
stabilności drabiny,
ustawiania drabiny w bezpośrednim sąsiedztwie maszyn i innych urządzeń, wchodzenia i
-
schodzenia z drabiny plecami do niej.
Drabina przystawna powinna wystawać nad poziom powierzchni co najmniej 75 cm, a kąt jej nachylenia
powinien wynosić od 650 do 750.
6.4.3. Warunki bezpiecznego prowadzenia robót spawalniczych.
Spawanie wykonywane w ramach robót montaŜowych lub remontowych powinno być
-
prowadzone na podstawie polecenia wydanego przez bezpośredniego przełoŜonego.
Polecenie jednoznacznie powinno określać rodzaj spoin, stosowane materiały, kolejność
-
spawania, przewidywane próby i odbiory. Przy pracach spawalniczych o złoŜonym przebiegu realizacji
prace powinny być wykonywane w oparciu o projekty technologii spawania.
-
Spawanie i cięcie metali moŜe być wykonywane tylko przez osoby uprawnione.
-
JeŜeli spawanie i cięcie metali odbywa się na otwartej przestrzeni, stanowisko powinno być w
miarę technicznej moŜliwości zabezpieczone przed odpadami atmosferycznymi.
Zabrania się przeprowadzenia kabli elektrycznych do spawania razem z przewodami
-
gumowymi lub metalowymi przeznaczonymi do przesyłu gazów słuŜących do spawania lub cięcia.
Spawarki elektryczne powinny być sprawne i zainstalowane na stanowisku roboczym przez
-
uprawnionego elektryka. Zabrania się reperacji we własnym zakresie sprzętu spawalniczego zarówno
spawarek jak i palników do spawania lub cięcia gazowego.
Napięcie na zaciskach spawarki nie powinno być większe niŜ 70 V w momencie zajarzenia się
-
łuku przy prądzie przemiennym.
Do zasilania uchwytu elektrody i do masy naleŜy stosować przewody oponowe spawalnicze
(OS).
-
Zabrania się wykonywania prac spawalniczych w odległości mniejszej niŜ 5 m od materiałów
łatwo palnych lub niebezpiecznych przy zetknięciu z ogniem.
-
Przy spawaniu elektrycznym na stanowisku roboczym powinno być zorganizowane miejsce na
odkładanie uchwytu spawalniczego.
-
Szlifierki stosowane do czyszczenia spawów powinny być sprawne, posiadać odpowiednie
osłony, a tarcze szlifierskie nie mogą być uszkodzone.
-
Butle z gazami uŜywane do spawania powinny być ustawione w pozycji pionowej i
zabezpieczone przed upadkiem przy pomocy obręczy metalowych lub łańcuchów. Stosowanie drutu do
przymocowania butli w czasie pracy w pozycji pionowej, dopuszczalne jest ustawienie jej w pozycji
pochylonej o kącie nachylenia do 450.
-
Odległość butli od płomienia palnika nie powinna być mniejsza niŜ 1 m.
-
Zawory redukcyjne oraz ich manometry powinny być stale utrzymywane w stanie sprawnym
technicznie.
Przed przyłączeniem zaworu redukcyjnego naleŜy przedmuchać lekko butlę, podczas
-
wykonywania tych czynności pracownik winien stać z boku.
-
WęŜe do tlenu acetylenu powinny róŜnić się barwą.
-
WęŜe gumowe do tlenu powinny być tego rodzaju, aby mogły wytrzymywać bez uszkodzeń
ciśnienie:
-
6 atm. przy spawaniu,
-
25 atm. przy cięciu.
-
WęŜe doprowadzające gazy do palnika nie mogą być uszkodzone i posiadać odpowiednią
długość. Mocowanie węŜy do palnika i reduktorów powinno być wykonane przy pomocy płaskich opasek
zaciskowych.
-
Na węŜach bezpośrednio za palnikiem powinny być instalowane zabezpieczenia przeciwko
powrotowi ciśnienia.
-
Przy jakichkolwiek wątpliwościach dotyczących jakości węŜy naleŜy je bezwzględnie złomować
i zastosować nowe.
-
Podczas wykonywania prac spawalniczych na konstrukcji, butle z gazami technicznymi winny
znajdować się poza strefą niebezpieczną.
6.4.4. Warunki bezpiecznego uŜywania elektronarzędzi.
-
Do pracy moŜna dopuścić tylko elektronarzędzia i sprzęt z zasilaniem elektrycznym
posiadającym aktualne gwarancje producenta lub badania potwierdzające prawność techniczną i
odpowiednią ochronę przeciwporaŜeniową i posiadać znak bezpieczeństwa B zgodnie z Normą PN85/B08 400/02.
-
Sprzęt i elektronarzędzia powinny posiadać jednoznacznie określony numer (np. fabryczny) i
oznaczenie daty ostatniego badania kontrolnego. Dokumentacja przebiegu eksploatacji, napraw, oceny
stanu technicznego i badań kontrolnych powinna znajdować się w aktach przedsiębiorstwa i być
udostępniana w miarę potrzeby uŜytkownikom sprzętu.
-
KaŜdorazowo przed rozpoczęciem pracy naleŜy sprawdzić wzrokowo stan wtyczki i przewodu
zasilającego, szczególnie przy wprowadzeniu przewodu do wtyczki i elektronarzędzia.
-
Eksploatacja elektronarzędzia z uszkodzonymi wtyczkami lub przewodami zasilającymi grozi
poraŜeniem prądem elektrycznym, oparzeniem łukiem elektrycznym i powstaniem poŜaru.
-
Przewody zasilające elektronarzędzia naleŜy zabezpieczyć tak, aby w czasie pracy nie została
uszkodzona izolacja i nie występowały napręŜenia mechaniczne.
2
ROZBUDOWA I PRZEBUDOWA POMIESZCZEŃ SPZOZ W KOŚCIANIE NA ODDZIAŁ
CHIRURGII I ORTOPEDII, BLOK OPERACYJNY, STERYLIZATORNIĘ ORAZ POMIESZCZEŃ
POMOCNICZYCH WRAZ Z DOBUDOWĄ SZYBU DŹWIGOWEGO I NADBUDOWĄ KLATKI SCHODOWEJ
-
Elektronarzędzia moŜna podłączyć do obwodów elektrycznych wykonanych zgodnie z
przepisami i normami oraz z odpowiednimi zabezpieczeniami, gwarantującymi dostatecznie szybkie
samoczynne wyłączenie w przypadku zwarcia. Szybkie zadziałanie zabezpieczenia decyduje o
bezpieczeństwie obsługi i o bezpieczeństwie poŜarowym. Przy włączeniu elektronarzędzia naleŜy
sprawdzić połoŜenie wyłącznika.
-
Osadzenie
wtyczki
w
gnieździe
wtykowym
dozwolone
jest
tylko
przy wyłączonym
elektronarzędziu.
-
Przy odłączeniu zasilania w pierwszej kolejności naleŜy wyłączyć elektronarzędzie, a w drugiej
odłączyć przewód zasilający z gniazda wtykowego. Nieprzestrzeganie powyŜszych zasad grozi
poparzeniem
łukiem
elektrycznym
i
ewentualnym
poraŜeniem
prądem
elektrycznym.
Gdy
elektronarzędzie znajduje się pod napięciem, nie wolno dotykać jego części pracujących, np. piły
tarczowej, tarczy szlifierskiej, wiertła, itp.
-
W razie zaniku napięcia naleŜy wyjąć wtyczkę z gniazda.
-
Zabrania się uŜytkowania elektronarzędzi, które uległy uszkodzeniu, zalaniu wodą, mają
negatywne wyniki badań, u których w czasie pracy występuje nadmierne iskrzenie na komutatorze,
drgania lub inny rodzaj nieprawidłowej pracy.
-
Zabrania się uŜytkowania elektronarzędzi:
na otwartym terenie podczas opadów atmosferycznych, w przypadku, gdy elektronarzędzie nie jest
przystosowane do takich warunków pracy,
-
w czynnych magazynach materiałów łatwopalnych i pomieszczeniach, w których istnieje zagroŜenie
wybuchem (moŜliwość powstania poŜaru względnie wybuchu od iskrzących elementów napadu),
-
przeciąŜania elektronarzędzi przez nadmierny docisk, względnie nie uwzględniania przerw w pracy
przy elektronarzędziach dostosowanych do pracy przerywanej.
l) Elektronarzędzia naleŜy kontrolować co najmniej raz na 10 dni, jeŜeli w instrukcji producenta nie
przewidziano innych terminów. Elektronarzędzia ręczne powinny być wykonane w II klasie ochronności,
narzędzia w I klasie ochronności naleŜy zasilać poprzez transformatory separacyjne wykonane w II
klasie ochronności.
Wszelkie uŜywane urządzenia elektryczne powinny być zabezpieczone przed moŜliwością poraŜenia prądem.
Urządzenia zmechanizowane powinny być sprawne, okresowo kontrolowane; w czasie ich uŜywania naleŜy
przestrzegać instrukcji obsługi.
7.ZAŁĄCZNIKI
7.1.Zestawienie ilości powietrza dla poszczególnych pomieszczeń.
7.2.Zestawienie instalacji wentylacyjnych i klimatyzacyjnych.
7.3.Parametry techniczne urządzeń i elementów instalacji – karty katalogowe.
7.4. Obliczenia do systemu napowietrzania klatek schodowych.
7.5. Schematy zasadnicze działania automatyki.
7.6. Specyfikacja instalacji wentylacji.
UWAGA:
Wymienione w opracowaniunazwy firm urządzeń i elementów mają na celu wskazanie parametrów
technicznych oraz standardów eksploatacyjnych i jakościowych.
Dopuszcza się za zgodą projektanta i inwestora zmianę elementów na innego producenta przy zachowaniu
parametrów technicznych, jakościowych i eksploatacyjnych.
UWAGA:
Roboty budowlane prowadzone będą w działającym (czynnym) obiekcie, w związku z tym naleŜy uwzględnić
konieczność dostosowania prowadzonych prac do wymagań zamawiającego w zakresie organizacji i specyfiki
działalności budynku. Obręb robót naleŜy zabezpieczyć zgodnie z przepisami bhp w budownictwie.
UWAGA: PROWADZENIE ROBÓT NIE MOśE KOLIDOWAĆ Z BIEśĄCĄ DZIAŁALNOŚCIĄ SZPITALA
W TRYBIE CIĄGŁYM.
2