opz tonery - bip.tluszcz.pl

Transkrypt

opz tonery - bip.tluszcz.pl
OPIS PRZEDMIOTU ZAMÓWIENIA TONERY
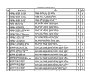
1
LP.
1.
2.
3.
4.
5.
6.
7.
8.
9.
10.
11.
12.
13.
14.
15.
16.
17.
18.
19.
20.
21.
22.
23.
24.
25.
26.
27.
28.
29.
30.
31.
32.
33.
34.
35.
36.
37.
38.
39.
40.
41.
42.
2
Nazwa artykułu
Brother MFC-J6510DW LC-1240BK
Brother MFC-J6510DW LC-1240BK
Brother MFC-J6510DW LC-1240C
Brother MFC-J6510DW LC-1240C
Brother MFC-J6510DW LC-1240M
Brother MFC-J6510DW LC-1240M
Brother MFC-J6510DW LC-1240Y
Brother MFC-J6510DW LC-1240Y
Brother HL 2250DN TN-2220
Brother HL 2250DN TN-2220
Brother MFC-7860DW TN-2220
Brother MFC-7860DW TN-2220
Brother MFC-8520DN TN-3380 5440 5450
Brother MFC-8520DN TN-3380 KBL3380S
Brother HL-L2360DN TN-2320
Brother HL-L2360DN TN-2320
Brother MFC-9120CN TN-230BK KBL230B
Brother MFC-9120CN TN-230BK KBL230B
Brother MFC-9120CN TN-230C
Brother MFC-9120CN TN-230C
Brother MFC-9120CN TN-230M
Brother MFC-9120CN TN-230M
Brother MFC-9120CN TN-230Y KBL230Y
Brother MFC-9120CN TN-230Y KBL230Y
HP LaserJet P1005 (35A) 1005 1006
HP LaserJet P1005 (35A) 1005 1006
HP LaserJet 1020 Q2612A (12A) 2580s
HP LaserJet 1020 Q2612A (12A) 2580s
HP LaserJet 1022n Q2612A (12A)
HP LaserJet 1022n Q2612A (12A)
HP LaserJet 1505n CB436A (36A)
HP LaserJet 1505n CB436A (36A)
HP LaserJet P1606dn CE278A (78A)
HP 78A CE278A LaserJet P156 CE278A (78A)
HP Color LaserJet 1600 Q6000A
HP Color LaserJet 1600 Q6000A
HP Color LaserJet 1600 Q6001A
HP Color LaserJet 1600 Q6001A
HP Color LaserJet 1600 Q6002A
HP Color LaserJet 1600 Q6002A
HP Color LaserJet 1600 Q6003A
HP Color LaserJet 1600 Q6003A
3
Opis
tusz, kolor czarny, 6910DW 600s, oryginał
tusz, kolor czarny, 6910DW 600s, zamiennik
tusz, kolor błekitny, J6910Dw 600s, oryginał
tusz, kolor błekitny, J6910Dw 600s, zamiennik
tusz, kolor purpurowy, J6910DW 600s, oryginał
tusz, kolor purpurowy, J6910DW 600s, zamiennik
tusz, kolor żółty, J6910DW 600s, oryginał
tusz, kolor żółty, J6910DW 600s, zamiennik
toner, kolor czarny, wydajność 3000 stron, oryginał
zamiennik, toner, kolor czarny, wydajność 3000 stron
toner, kolor czarny, wydajność 3000 stron, oryginał
zamiennik, toner, kolor czarny, wydajność 3000 stron
toner, kolor czarny, wydajność 8000 stron, oryginał
zamiennik, toner, kolor czarny, wydajność 8000 stron
toner, kolor czarny, wydajność 2600 stron, oryginał
zamiennik, toner, kolor czarny, wydajność 2600 stron
toner, kolor czarny, wydajność 2200 stron, oryginał
zamiennik, toner, kolor czarny, wydajność 2200 stron
toner, kolor błękitny, wydajność 1400 stron, oryginał
zamiennik, toner, kolor błękitny, wydajność 1400 stron
toner, kolor purpurowy, wydajność 1400 stron, oryginał
zamiennik, toner, kolor purpurowy, wydajność 1400 stron
toner, kolor żółty, wydajność 1400 stron, oryginał
zamiennik, toner, kolor żółty, wydajność 1400 stron
toner do drukarki laserowej, kolor czarny, wydajność 2000 stron,oryginał
zamiennik, toner do drukarki laserowej, kolor czarny, wydajność 2000 stron
toner do drukarki laserowej, kolor czarny, wydajność 3000 stron, oryginał
zamiennik, toner do drukarki laserowej, kolor czarny, wydajność 3000 stron
toner do drukarki laserowej, kolor czarny, wydajność 2580 stron, oryginał
zamiennik, toner do drukarki laserowej, kolor czarny, wydajność 2580 stron
toner do drukarki laserowej, kolor czarny, wydajność 2000 stron, oryginał
zamiennik, toner do drukarki laserowej, kolor czarny, wydajność 2000 stron
toner do drukarki laserowej, kolor czarny, wydajność 2000 stron, oryginał
zamiennik, toner do drukarki laserowej, kolor czarny, wydajność 2100 stron
toner do drukarki laserowej, kolor czarny, wydajność 2000 stron, oryginał
zamiennik, toner do drukarki laserowej, kolor czarny, wydajność 2000 stron
toner do drukarki laserowej, kolor błekitny wydajność 2000 stron, oryginał
zamiennik, toner do drukarki laserowej, kolor błekitny wydajność 2000 stron
toner do drukarki laserowej, kolor żółty wydajność 2000 stron, oryginał
zamiennik, toner do drukarki laserowej, kolor żółty wydajność 2000 stron
toner do drukarki laserowej, kolor purpurowy wyd., 2000 stron, oryginał
zamiennik, toner do drukarki laserowej, kolor purpurowy wyd., 2000 stron
4
j/m
szt.
szt.
szt.
szt.
szt.
szt.
szt.
szt.
szt.
szt.
szt.
szt.
szt.
szt.
szt.
szt.
szt.
szt.
szt.
szt.
szt.
szt.
szt.
szt.
szt.
szt.
szt.
szt.
szt.
szt.
szt.
szt.
szt.
szt.
szt.
szt.
szt.
szt.
szt.
szt.
szt.
szt.
5
Ilość
11
4
4
2
3
2
3
2
14
22
1
3
7
11
2
3
3
9
1
1
1
3
1
4
1
5
13
9
2
1
3
1
2
4
1
1
1
1
1
1
1
1
HP Color LaserJet CP1215 125A (CB540A)
HP Color LaserJet CP1215 125A (CB540A)
HP Color LaserJet CP1215 125A (CB541A)
HP Color LaserJet CP1215 125A (CB541A)
HP Color LaserJet CP1215 125A (CB542A)
HP Color LaserJet CP1215 125A (CB542A)
HP Color LaserJet CP1215 125A (CB543A)
HP Color LaserJet CP1215 125A (CB543A)
HP Color LaserJet CP1515n 125A (CB540A)
HP Color LaserJet CP1515n 125A (CB541A)
HP Color LaserJet CP1515n 125A (CB541A)
HP Color LaserJet CP1515n 125A (CB542A)
HP Color LaserJet CP1515n 125A (CB542A)
HP Color LaserJet CP1515n 125A (CB543A)
toner do drukarki laserowej, kolor czarny, wydajność 1400 stron, oryginał
zamiennik, toner do drukarki laserowej, kolor czarny, wydajność 1400 stron
toner do drukarki laserowej, kolor niebieski, wydajność 1600 stron, oryginał
zamiennik, toner do drukarki laserowej, kolor niebieski, wydajność 1600 stron
toner do drukarki laserowej, kolor żółty, wydajność 1600 stron, oryginał
zamiennik, toner do drukarki laserowej, kolor żółty, wydajność 1600 stron
toner do drukarki laserowej, kolor czerwony, wydajność 1600 stron, oryginał
zamiennik, toner do drukarki laserowej, kolor czerwony, wydajność 1600 stron
toner do drukarki laserowej, kolor czarny, wydajność 2400 stron, oryginał
toner do drukarki laserowej, kolor żółty, wydajność 1400 stron, oryginał
toner do drukarki laserowej, kolor żółty, wydajność 1400 stron, zamiennik
toner do drukarki laserowej, kolor żółty, wydajność 1400 stron, oryginał
toner do drukarki laserowej, kolor żółty, wydajność 1400 stron, zamiennik
toner do drukarki laserowej, kolor purpurowy, wydajność 1400 stron, oryginał
58.
59.
60.
61.
62.
63.
64.
HP Color LaserJet CP1515n 125A (CB543A)
HP Color LaserJet CP1525n 128A (CE320A)
HP Color LaserJet CP1525n 128A (CE320A)
HP Color LaserJet CP1525n 128A (CE321A)
HP Color LaserJet CP1525n 128A (CE321A)
HP Color LaserJet CP1525n 128A (CE322A)
HP Color LaserJet CP1525n 128A (CE322A)
HP Color LaserJet CP1525n 128A (CE323A)
toner do drukarki laserowej, kolor purpurowy, wydajność 1400 stron, zamiennik
toner do drukarki laserowej, kolor czarny, wydajność 2000 stron, oryginał
zamiennik, toner do drukarki laserowej, kolor czarny, wydajność 2000 stron
toner do drukarki laserowej, kolor błękitny, wydajność 1300 stron, oryginał
zamiennik, toner do drukarki laserowej, kolor błękitny, wydajność 1300 stron
toner do drukarki laserowej, kolor żółty, wydajność 1300 stron, oryginał
zamiennik, toner do drukarki laserowej, kolor żółty, wydajność 1300 stron
toner do drukarki laserowej, kolor purpurowy, wydajność 1300 stron, oryginal
65.
HP Color LaserJet CP1525n 128A (CE323A)
66.
67.
68.
69.
70.
71.
72.
73.
74.
Kaseta Oki ML182 321
Kaseta Oki ML182 321
Kyocera Ecosys M2035 dn TK1140
Kyocera Ecosys M2035 dn TK1140
Samsung ML-2850 ML-D2850B
Samsung ML-2850 ML-D2850B
Xerox 3010 106R02182
Xerox 3010 106R02182
Xerox WorkCentre 5020/DN 106R01277
43.
44.
45.
46.
47.
48.
49.
50.
51.
52.
53.
54.
55.
56.
57.
75.
76.
77.
78.
79.
80.
81.
Xerox WorkCentre 5020/DN 106R01277
KonikaMinolta bizhub 185 TN-116
KonikaMinolta bizhub 185 TN-116
Canon IR2018 CEXV5/14
Canon IR2018 CEXV5/14
Sharp AR-M451U AR-455T
Sharp AR-M451U AR-455T
szt.
szt.
szt.
szt.
szt.
szt.
szt.
szt.
szt.
szt.
szt.
szt.
szt.
szt.
2
6
1
3
1
3
1
1
2
2
1
2
2
2
szt.
1
szt.
szt.
szt.
szt.
szt.
szt.
szt.
1
1
1
1
1
1
1
szt.
1
toner do drukarki , kolor czarny, wydajność 7200 stron, oryginał
zamiennik, toner do drukarki , kolor czarny, wydajność 7200 stron
toner do drukarki , kolor czarny, wydajność 5000 stron, oryginał
zamiennik, toner do drukarki , kolor czarny, wydajność 5000 stron
toner do drukarki, kolor czarny, wydajność 2300 stron, oryginał
zamiennik, toner do drukarki, kolor czarny, wydajność 2300 stron
toner do drukarki, kolor czarny, wydajność 6300 stron, 2 szt. w op., oryginał
szt.
szt.
szt.
szt.
szt.
szt.
szt.
szt.
op.
6
6
2
6
1
3
2
1
2
zamiennik, toner do drukarki, kolor czarny, wydajność 6300 stron, 2 szt. w opakowaniu
szt.
2
toner do kserokopiarki, kolor czarny, wydajność 11000 stron, 2 szt. w op., oryginał
op.
1
zamiennik, toner do drukarki laserowej, kolor purpurowy, wydajność 1300 stron
taśma barwiąca czarna do drukarki igłowej 3321, oryginał
taśma barwiąca czarna do drukarki igłowej 3321, zamiennik
zamiennik, toner do kserokopiarki, kolor czarny, wydajność 11000 stron, 2 szt. w
opakowaniu
toner do drukarki, kolor czarny, wydajność 8500 stron, 2 szt. w op., oryginał
op.
2
op.
1
zamiennik, toner do drukarki, kolor czarny, wydajność 8500 stron, 2 szt. w opakowaniu
op.
2
toner do kserokopiarki, kolor czarny, wydajnosć 35000 stron, oryginał
zamiennik, toner do kserokopiarki, kolor czarny, wydajnosć 35000 stron
szt.
szt.
1
1
82.
83.
84.
85.
86.
87.
88.
89.
90.
91.
92.
93.
94.
95.
96.
97.
98.
Brother HL 2250DN DR-2200
Brother HL 2250DN DR-2200
Brother MFC-7860 DW DR-2200
Brother MFC-7860 DW DR-2200
Brother MFC-8520DN DR-3300 5450 6180
Brother MFC-8520DN DR-3300
Brother HL-L2360DN DR-2300
Brother HL-L2360DN DR-2300
Brother MFC-9120CN DR-230CL
Brother MFC-9120CN DR-230CL
Brother DCP-L2540DN
Brother DCP-L2540DN
Xerox WorkCentre 5020/DN 101R00432
KonikaMinolta bizhub 185 DR-114
KonikaMinolta bizhub 185 DR-114
Canon IR2018 C-EXV14
Canon IR2018 C-EXV14
Razem
oryginał, bęben do drukarki
zamiennik, bęben do drukarki
oryginał, bęben do drukarki
zamiennik, bęben do drukarki
oryginał, bęben do drukarki
zamiennik, bęben do drukarki
oryginał, bęben do drukarki
zamiennik, bęben do drukarki
oryginał, bęben do drukarki
zamiennik, bęben do drukarki
oryginał, toner do urządzenia wielofunkcyjnego, 2600s
zamiennik, toner do urządzenia wielofunkcyjnego, 2600s
oryginał, bęben do drukarki
oryginał, bęben do drukarki
zamiennik, bęben do drukarki
oryginał, bęben do drukarki
zamiennik, bęben do drukarki
szt.
szt.
szt.
szt.
szt.
szt.
szt.
szt.
szt.
szt.
szt.
szt.
szt.
szt.
szt.
szt.
szt.
2
2
2
2
3
2
1
2
1
1
1
2
1
1
1
1
1